Suppr超能文献

青少年晚期的体重指数与健康状况以及感染新冠病毒后患心血管疾病、呼吸系统疾病和全因死亡的风险

Body mass index and fitness in late adolescence and risk of cardiovascular disease, respiratory disease, and overall death after COVID-19.

作者信息

Robertson Josefina, Muszta Anders, Lindgren Martin, Af Geijerstam Agnes, Nyberg Jenny, Lissner Lauren, Börjesson Mats, Gisslén Magnus, Rosengren Annika, Adiels Martin, Åberg Maria

机构信息

Department of Infectious Diseases Institute of Biomedicine Sahlgrenska Academy University of Gothenburg Gothenburg Sweden.

School of Public Health and Community Medicine Institute of Medicine Sahlgrenska Academy University of Gothenburg Gothenburg Sweden.

出版信息

Obes Sci Pract. 2023 Sep 6;10(1):e709. doi: 10.1002/osp4.709. eCollection 2024 Feb.

Abstract

OBJECTIVE

Since obesity and poor fitness appear to be unfavorable for both cardiovascular health and coping with viral infections such as COVID-19, they are of specific interest in light of the increased risk of cardiovascular and respiratory events now seen after infection with SARS-CoV-2. Therefore, the aim of the present study was to investigate how body mass index (BMI) and cardiorespiratory fitness (CRF) in late adolescence are associated with the risk of cardiovascular disease (CVD), respiratory disease, and mortality after COVID-19.

METHODS

In this study, 1.5 million 18-year-old Swedish men with BMI and CRF measured during enlistment for military service 1968-2005 were included. Hospitalized and non-hospitalized COVID-19 cases were identified through the Patient Register or positive polymerase chain reaction tests, and age-matched with non-infected controls. CVD, respiratory disease, and mortality after COVID-19 were divided into <60days, 60-180days, >180days post-infection. Cox regression models were used.

RESULTS

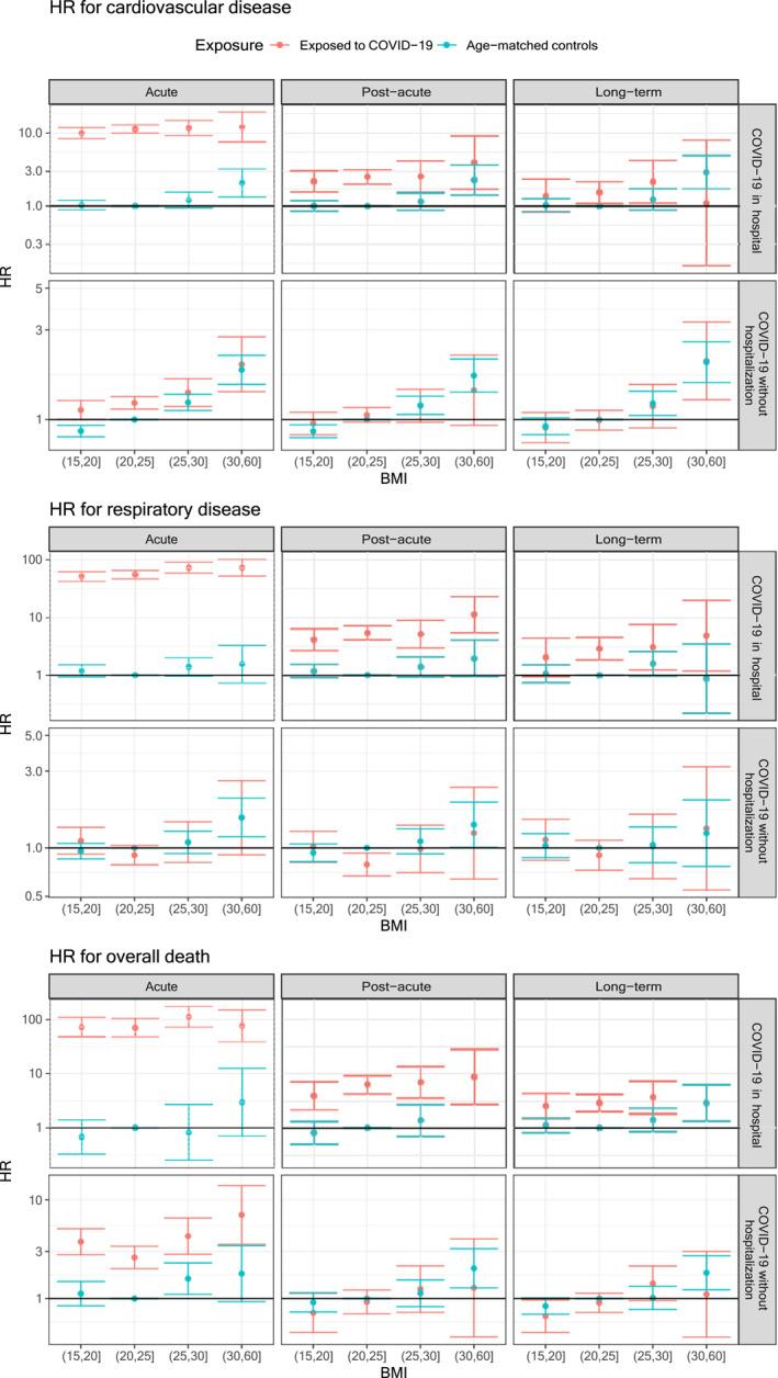
Hospitalized COVID-19 cases (n = 9839), compared to controls, had >10-fold, 50 to 70-fold, and >70-fold hazards of CVD, respiratory disease, and mortality over the initial 60 days post-infection with little variation across BMI or CRF categories. The elevated risks persisted at declining levels >180 days. For non-hospitalized COVID-19 cases (n = 181,822), there was a 4- to 7-fold increased acute mortality risk, and high CRF was associated with lower risk of post-infectious respiratory disease.

CONCLUSIONS

The high hazards of adverse outcomes during the first two months after COVID-19 hospitalization, and across BMI and CRF categories, declined rapidly but were still elevated after six months. Adolescent CRF was associated with respiratory disease after COVID-19 without hospitalization, which gives further support to the health benefits of physical activity.

摘要

目的

鉴于肥胖和身体状况不佳似乎对心血管健康以及应对诸如新冠病毒病(COVID-19)等病毒感染均不利,鉴于感染严重急性呼吸综合征冠状病毒2(SARS-CoV-2)后出现心血管和呼吸系统事件的风险增加,它们具有特殊意义。因此,本研究的目的是调查青春期后期的体重指数(BMI)和心肺适能(CRF)如何与COVID-19后的心血管疾病(CVD)、呼吸系统疾病和死亡率风险相关。

方法

本研究纳入了1968年至2005年入伍时测量了BMI和CRF的150万18岁瑞典男性。通过患者登记册或聚合酶链反应阳性检测确定住院和非住院的COVID-19病例,并与未感染的对照进行年龄匹配。COVID-19后的CVD、呼吸系统疾病和死亡率分为感染后<60天、60 - 180天、>180天。使用Cox回归模型。

结果

与对照组相比,住院的COVID-19病例(n = 9839)在感染后的最初60天内发生CVD、呼吸系统疾病和死亡的风险分别高出10倍以上、50至70倍以及70倍以上,且在BMI或CRF类别之间差异不大。风险升高在>超过180天时持续下降。对于非住院的COVID-19病例(n = 181,822),急性死亡风险增加了4至7倍,高CRF与感染后呼吸系统疾病风险较低相关。

结论

COVID-19住院后的头两个月内,不良结局的高风险以及在BMI和CRF类别中均迅速下降,但六个月后仍有所升高。青春期CRF与未住院的COVID-19后的呼吸系统疾病相关,这进一步支持了体育活动对健康的益处。

https://cdn.ncbi.nlm.nih.gov/pmc/blobs/dbef/10804340/c629384192cd/OSP4-10-e709-g001.jpg

相似文献

3
Cardiorespiratory fitness and lifestyle on severe COVID-19 risk in 279,455 adults: a case control study.
Int J Behav Nutr Phys Act. 2021 Oct 19;18(1):135. doi: 10.1186/s12966-021-01198-5.
5
6
Maintaining or increasing cardiorespiratory fitness is associated with reduced hospital admission rate.
Eur J Prev Cardiol. 2024 Mar 4;31(4):436-444. doi: 10.1093/eurjpc/zwad367.
8
Cardiorespiratory Fitness, Different Measures of Adiposity, and Cardiovascular Disease Mortality Risk in Women.
J Womens Health (Larchmt). 2020 Mar;29(3):319-326. doi: 10.1089/jwh.2019.7793. Epub 2019 Sep 18.
9
Cardiorespiratory fitness, body mass index, cardiovascular disease, and mortality in young men: A cohort study.
Front Public Health. 2023 Feb 15;11:1076065. doi: 10.3389/fpubh.2023.1076065. eCollection 2023.
10
Cardiorespiratory fitness, body mass index, and heart failure mortality in men: Cooper Center Longitudinal Study.
Circ Heart Fail. 2013 Sep 1;6(5):898-905. doi: 10.1161/CIRCHEARTFAILURE.112.000088. Epub 2013 Jul 19.

本文引用的文献

2
Cardiorespiratory fitness as a vital sign of CVD risk in the COVID-19 era.
Prog Cardiovasc Dis. 2023 Jan-Feb;76:44-48. doi: 10.1016/j.pcad.2022.12.001. Epub 2022 Dec 17.
5
Long-term cardiovascular outcomes of COVID-19.
Nat Med. 2022 Mar;28(3):583-590. doi: 10.1038/s41591-022-01689-3. Epub 2022 Feb 7.
6
BMI in early adulthood is associated with severe COVID-19 later in life: A prospective cohort study of 1.5 million Swedish men.
Obesity (Silver Spring). 2022 Mar;30(3):779-787. doi: 10.1002/oby.23378. Epub 2022 Feb 15.
7
A tale of two pandemics revisited: Physical inactivity, sedentary behavior and poor COVID-19 outcomes reside in the same Syndemic City.
Prog Cardiovasc Dis. 2022 Mar-Apr;71:69-71. doi: 10.1016/j.pcad.2021.11.012. Epub 2021 Nov 24.
8
Cardiovascular events after COVID-19 hospitalization: long-term follow-up.
Rev Esp Cardiol (Engl Ed). 2022 Jan;75(1):100-102. doi: 10.1016/j.rec.2021.09.001. Epub 2021 Sep 9.
10

文献AI研究员

20分钟写一篇综述,助力文献阅读效率提升50倍。

立即体验

用中文搜PubMed

大模型驱动的PubMed中文搜索引擎

马上搜索

文档翻译

学术文献翻译模型,支持多种主流文档格式。

立即体验