Department of Pathology, University of Texas Medical Branch, Galveston, TX, United States.
Department of Microbiology and Immunology, University of Texas Medical Branch, Galveston, TX, United States.
Front Cell Infect Microbiol. 2024 Jan 9;13:1321291. doi: 10.3389/fcimb.2023.1321291. eCollection 2023.
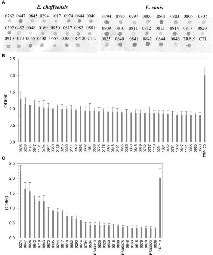
For decades, the defined antibody reactive proteins of and were limited to a small group with linear antibody epitopes. Recently, our laboratory has utilized an immunomics-based approach to rapidly screen and identify undefined and antigenic proteins and antibody epitopes. In this study, we analyzed the remaining portion (~50%) of the and proteomes ( = 444 and 405 proteins, respectively), that were not examined in previous studies, to define the complete immunomes of these important pathogens. Almost half of the proteins screened (196/444) reacted with antibodies in convalescent HME patient sera, while only 43 proteins reacted with CME dog sera. New major immunoreactive proteins were identified in ( = 7) and ( = 1), increasing the total number of (n = 14) and proteins (n = 18) that exhibited antibody reactivity comparable to well-defined major antigenic proteins (TRP120 and TRP19). All of the but only some major immunoreactive proteins contained major conformation-dependent antibody epitopes. The immunoreactive proteins were generally small (< 250 amino acids; ~27kDa) and the proteins were slightly larger (> 320 amino acids; ~35 kDa). The majority of these new major immunoreactive proteins were predicted to be type I secreted effectors, some of which contained transmembrane domains. Characterization of the immunomes of and and understanding the host specific immune responses will facilitate identification of protective antigens and define the biophysical epitope characteristics vital to effective vaccine development for the ehrlichioses.
几十年来, 和 的定义抗体反应蛋白仅限于具有线性抗体表位的一小部分。最近,我们实验室利用免疫组学方法快速筛选和鉴定了未定义的 和 抗原蛋白和抗体表位。在这项研究中,我们分析了之前研究中未检查的 和 蛋白质组的剩余部分(分别为 444 和 405 个蛋白质),以定义这些重要病原体的完整免疫组。筛选的近一半 蛋白(196/444)与恢复期 HME 患者血清中的抗体反应,而只有 43 个 蛋白与 CME 狗血清反应。在 (=7)和 (=1)中鉴定了新的主要免疫反应性蛋白,增加了具有与定义明确的主要抗原蛋白(TRP120 和 TRP19)相当的抗体反应性的 蛋白(n=14)和 蛋白(n=18)的总数。所有的 但只有一些 主要免疫反应性蛋白含有主要构象依赖性抗体表位。 免疫反应性蛋白通常较小(<250 个氨基酸;27kDa),而 蛋白稍大(>320 个氨基酸;35 kDa)。这些新的 主要免疫反应性蛋白中的大多数被预测为 I 型分泌效应物,其中一些含有跨膜结构域。对 和 免疫组的表征以及理解宿主特异性 免疫反应将有助于鉴定保护性抗原,并确定对埃立克体病有效疫苗开发至关重要的生物物理表位特征。