Suppr超能文献

膀胱癌患者行机器人辅助根治性膀胱切除术加 Mainz pouch II 尿流改道术的围手术期结果和控尿情况。

Perioperative outcomes and continence following robotic-assisted radical cystectomy with mainz pouch II urinary diversion in patients with bladder cancer.

机构信息

Institute of Urology, Key Laboratory of Gansu Province for Urological Diseases, Lanzhou University Second Hospital, Gansu Nephro-Urological Clinical Center, 730030, Lanzhou, China.

Department of Urology, The First Hospital of Lanzhou University, 730030, Lanzhou, China.

出版信息

BMC Cancer. 2024 Jan 24;24(1):127. doi: 10.1186/s12885-024-11874-x.

Abstract

PURPOSE

To present the widely unknown perioperative outcomes and continence status of bladder cancer patients following robotic-assisted radical cystectomy (RARC) with Mainz pouch II urinary diversion (UD).

MATERIALS AND METHODS

From November 2020 to December 2023, 37 bladder cancer patients who underwent RARC with Mainz pouch II UD were retrospectively assessed (ChiCTR2300070279). The results, which included patient demographics, perioperative data, continence, and complications (early ≤ 30 days and late ≤ 30 days) were reported using the RC-pentafecta criteria. RC-pentafecta criteria included ≥ 16 lymph nodes removed, negative soft tissue surgical margins, absence of major (Grade III-IV) complication at 90 days, absence of clinical recurrence at ≤ 12 months, and absence of long-term UD-related sequelae. A numeric rating scale assessed patient satisfaction with urinary continence 30 days after surgery. The validated Patient Assessment of Constipation Symptoms (PAC-SYM) questionnaire was used to evaluate bowel function. The Kaplan-Meier curve was used to evaluate overall survival (OS).

RESULTS

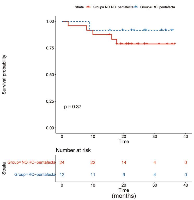
Of the 37 patients evaluated over a median (range) follow-up period of 23.0 (12.0-36.5) months. The median (range) age was 65 (40-81) years. The median (range) time to urinary continence after surgery was 2.3 (1.5-6) months. Of the 37 patients, 31 (83.8%) were continent both during the day and at night, 34 (91.9%) were continent during the day, 32 (86.5%) were continent at night, 35 (94.6%) were satisfied with their urinary continence status, and 21 (56.8%) were very satisfied. The mean (range) voiding frequency was 6 (4-10) during the day and 3 (2-5.5) at night. The mean (range) PAC-SYM total score was 9.50 (4.00-15.00). In 12 (32.4%) of the patients, RC-pentafecta was achieved, and achieving RC-pentafecta was linked to better satisfaction scores (7.3 vs. 5.5, p = 0.034). There was no significant difference between RC-pentafecta and No RC-pentafecta groups in terms of OS (25.6 vs. 21.5 months, p = 0.16). 7 (19.4%) patients experienced late complications.

CONCLUSIONS

Mainz pouch II UD following RARC in bladder cancer patients results in a satisfactory continence rate. Achieving RC-pentafecta was correlated with better satisfaction scores. The intracorporeal approach to Mainz pouch II UD is beneficial for female patients due to its reduced invasiveness.

TRIAL REGISTRATION

ChiCTR2300070279; Registration: 07/04/2023, Last updated version: 01/06/2023. Retrospectively registered.

摘要

目的

介绍膀胱癌患者行机器人辅助根治性膀胱切除术(RARC)后行 Mainz pouch II 尿流改道术(UD)的围手术期结果和控尿状况,该术式并不广为人知。

材料和方法

2020 年 11 月至 2023 年 12 月,回顾性评估了 37 例膀胱癌患者,这些患者均接受了 RARC 联合 Mainz pouch II UD(ChiCTR2300070279)。结果包括患者人口统计学、围手术期数据、控尿和并发症(早期≤30 天和晚期≤30 天),使用 RC-pentafecta 标准进行报告。RC-pentafecta 标准包括切除≥16 个淋巴结、软组织手术切缘阴性、90 天内无主要(III-IV 级)并发症、≤12 个月内无临床复发以及无长期 UD 相关后遗症。术后 30 天使用数字评分量表评估患者对控尿的满意度。采用经过验证的患者便秘症状评估量表(PAC-SYM)问卷评估肠道功能。采用 Kaplan-Meier 曲线评估总生存期(OS)。

结果

在中位(范围)随访 23.0(12.0-36.5)个月的 37 例患者中,中位(范围)年龄为 65(40-81)岁。术后控尿中位(范围)时间为 2.3(1.5-6)个月。37 例患者中,31 例(83.8%)日间和夜间均有控尿能力,34 例(91.9%)日间有控尿能力,32 例(86.5%)夜间有控尿能力,35 例(94.6%)对控尿状况满意,21 例(56.8%)非常满意。日间平均(范围)排尿频率为 6(4-10)次,夜间为 3(2-5.5)次。平均(范围)PAC-SYM 总分 9.50(4.00-15.00)。12 例(32.4%)患者达到 RC-pentafecta,达到 RC-pentafecta与更高的满意度评分相关(7.3 分比 5.5 分,p=0.034)。RC-pentafecta 组和非 RC-pentafecta 组的 OS 无显著差异(25.6 个月比 21.5 个月,p=0.16)。7 例(19.4%)患者出现晚期并发症。

结论

膀胱癌患者行 RARC 后行 Mainz pouch II UD 可获得满意的控尿率。达到 RC-pentafecta 与更高的满意度评分相关。由于其侵入性较小,对于女性患者,采用 Mainz pouch II UD 的腔内方法是有益的。

试验注册

ChiCTR2300070279;注册日期:2023 年 7 月 4 日;最后更新日期:2023 年 1 月 6 日。回顾性注册。

https://cdn.ncbi.nlm.nih.gov/pmc/blobs/7284/10809619/b9ef926b3f19/12885_2024_11874_Fig1_HTML.jpg

文献AI研究员

20分钟写一篇综述,助力文献阅读效率提升50倍。

立即体验

用中文搜PubMed

大模型驱动的PubMed中文搜索引擎

马上搜索

文档翻译

学术文献翻译模型,支持多种主流文档格式。

立即体验