• 文献检索
  • 文档翻译
  • 深度研究
  • 学术资讯
  • Suppr Zotero 插件Zotero 插件
  • 邀请有礼
  • 套餐&价格
  • 历史记录
应用&插件
Suppr Zotero 插件Zotero 插件浏览器插件Mac 客户端Windows 客户端微信小程序
定价
高级版会员购买积分包购买API积分包
服务
文献检索文档翻译深度研究API 文档MCP 服务
关于我们
关于 Suppr公司介绍联系我们用户协议隐私条款
关注我们

Suppr 超能文献

核心技术专利:CN118964589B侵权必究
粤ICP备2023148730 号-1Suppr @ 2026

文献检索

告别复杂PubMed语法,用中文像聊天一样搜索,搜遍4000万医学文献。AI智能推荐,让科研检索更轻松。

立即免费搜索

文件翻译

保留排版,准确专业,支持PDF/Word/PPT等文件格式,支持 12+语言互译。

免费翻译文档

深度研究

AI帮你快速写综述,25分钟生成高质量综述,智能提取关键信息,辅助科研写作。

立即免费体验

运动控制对三分之二次幂定律的遵循在自闭症发展过程中存在差异。

Motor Control Adherence to the Two-thirds Power Law Differs in Autistic Development.

作者信息

Fourie Emily, Lu Szu-Ching, Delafield-Butt Jonathan, Rivera Susan M

机构信息

Department of Psychology, University of California, Davis, Davis, CA, USA.

Center for Mind and Brain, University of California, Davis, Davis, CA, USA.

出版信息

J Autism Dev Disord. 2025 Mar;55(3):873-890. doi: 10.1007/s10803-024-06240-6. Epub 2024 Jan 27.

DOI:10.1007/s10803-024-06240-6
PMID:38280136
原文链接:https://pmc.ncbi.nlm.nih.gov/articles/PMC11828761/
Abstract

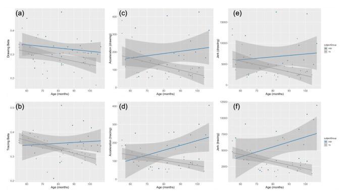
Autistic individuals often exhibit motor atypicalities, which may relate to difficulties in social communication. This study utilized a smart tablet activity to computationally characterize motor control by testing adherence to the two-thirds power law (2/3 PL), which captures a systematic covariation between velocity and curvature in motor execution and governs many forms of human movement. Children aged 4-8 years old participated in this study, including 24 autistic children and 33 typically developing children. Participants drew and traced ellipses on an iPad. We extracted data from finger movements on the screen, and computed adherence to the 2/3 PL and other kinematic metrics. Measures of cognitive and motor functioning were also collected. In comparison to the typically developing group, the autistic group demonstrated greater velocity modulation between curved and straight sections of movement, increased levels of acceleration and jerk, and greater intra- and inter-individual variability across several kinematic variables. Further, significant motor control development was observed in typically developing children, but not in those with autism. This study is the first to examine motor control adherence to the 2/3 PL in autistic children, revealing overall diminished motor control. Less smooth, more varied movement and an indication of developmental stasis in autistic children were observed. This study offers a novel tool for computational characterization of the autism motor signature in children's development, demonstrating how smart tablet technology enables accessible assessment of children's motor performance in an objective, quantifiable and scalable manner.

摘要

自闭症个体常常表现出运动异常,这可能与社交沟通方面的困难有关。本研究利用一款智能平板电脑活动,通过测试对三分之二次幂定律(2/3 PL)的遵循情况,以计算方式表征运动控制,该定律捕捉了运动执行中速度和曲率之间的系统协变关系,并支配着多种形式的人类运动。4至8岁的儿童参与了本研究,其中包括24名自闭症儿童和33名发育正常的儿童。参与者在iPad上绘制和描绘椭圆。我们从屏幕上的手指运动中提取数据,并计算对2/3 PL的遵循情况以及其他运动学指标。还收集了认知和运动功能的测量数据。与发育正常的组相比,自闭症组在运动的弯曲和直线部分之间表现出更大的速度调制、更高的加速度和急动度水平,以及在几个运动学变量上更大的个体内和个体间变异性。此外,在发育正常的儿童中观察到了显著的运动控制发展,但自闭症儿童中未观察到。本研究首次考察了自闭症儿童对2/3 PL的运动控制遵循情况,揭示了整体运动控制能力的下降。观察到自闭症儿童的运动不太流畅、更加多变,且有发育停滞的迹象。本研究为儿童发育中自闭症运动特征的计算表征提供了一种新颖的工具,展示了智能平板电脑技术如何以客观、可量化和可扩展的方式实现对儿童运动表现的便捷评估。

https://cdn.ncbi.nlm.nih.gov/pmc/blobs/8eb9/11828761/022b128110a0/10803_2024_6240_Fig6_HTML.jpg
https://cdn.ncbi.nlm.nih.gov/pmc/blobs/8eb9/11828761/8d62f3eb5ec9/10803_2024_6240_Fig1_HTML.jpg
https://cdn.ncbi.nlm.nih.gov/pmc/blobs/8eb9/11828761/b4c469aa2e2b/10803_2024_6240_Fig2_HTML.jpg
https://cdn.ncbi.nlm.nih.gov/pmc/blobs/8eb9/11828761/4bba3afe48d6/10803_2024_6240_Fig3_HTML.jpg
https://cdn.ncbi.nlm.nih.gov/pmc/blobs/8eb9/11828761/9140d3651ccd/10803_2024_6240_Fig4_HTML.jpg
https://cdn.ncbi.nlm.nih.gov/pmc/blobs/8eb9/11828761/f50b60e4c6cc/10803_2024_6240_Fig5_HTML.jpg
https://cdn.ncbi.nlm.nih.gov/pmc/blobs/8eb9/11828761/022b128110a0/10803_2024_6240_Fig6_HTML.jpg
https://cdn.ncbi.nlm.nih.gov/pmc/blobs/8eb9/11828761/8d62f3eb5ec9/10803_2024_6240_Fig1_HTML.jpg
https://cdn.ncbi.nlm.nih.gov/pmc/blobs/8eb9/11828761/b4c469aa2e2b/10803_2024_6240_Fig2_HTML.jpg
https://cdn.ncbi.nlm.nih.gov/pmc/blobs/8eb9/11828761/4bba3afe48d6/10803_2024_6240_Fig3_HTML.jpg
https://cdn.ncbi.nlm.nih.gov/pmc/blobs/8eb9/11828761/9140d3651ccd/10803_2024_6240_Fig4_HTML.jpg
https://cdn.ncbi.nlm.nih.gov/pmc/blobs/8eb9/11828761/f50b60e4c6cc/10803_2024_6240_Fig5_HTML.jpg
https://cdn.ncbi.nlm.nih.gov/pmc/blobs/8eb9/11828761/022b128110a0/10803_2024_6240_Fig6_HTML.jpg

相似文献

1
Motor Control Adherence to the Two-thirds Power Law Differs in Autistic Development.运动控制对三分之二次幂定律的遵循在自闭症发展过程中存在差异。
J Autism Dev Disord. 2025 Mar;55(3):873-890. doi: 10.1007/s10803-024-06240-6. Epub 2024 Jan 27.
2
Do planning and visual integration difficulties underpin motor dysfunction in autism? A kinematic study of young children with autism.自闭症患者的运动功能障碍是否源于计划和视觉整合困难?对自闭症幼儿的运动学研究。
J Autism Dev Disord. 2012 Aug;42(8):1539-48. doi: 10.1007/s10803-011-1385-8.
3
Toward the Autism Motor Signature: Gesture patterns during smart tablet gameplay identify children with autism.迈向自闭症运动特征:智能平板电脑游戏中的手势模式可识别自闭症儿童。
Sci Rep. 2016 Aug 24;6:31107. doi: 10.1038/srep31107.
4
Developmental differences in the prospective organisation of goal-directed movement between children with autism and typically developing children: A smart tablet serious game study.自闭症儿童与正常发展儿童在目标导向运动的前瞻性组织方面的发展差异:一项智能平板电脑严肃游戏研究。
Dev Sci. 2022 May;25(3):e13195. doi: 10.1111/desc.13195. Epub 2021 Dec 6.
5
Enhanced motor noise in an autism subtype with poor motor skills.运动技能较差的自闭症亚类中增强的运动噪声。
Mol Autism. 2024 Sep 3;15(1):36. doi: 10.1186/s13229-024-00618-0.
6
Speed-accuracy trade-offs in action perception, motor imagery, and execution of hand movements in autistic and non-autistic adults.自闭症和非自闭症成年人在动作感知、运动想象及手部动作执行中的速度-准确性权衡
Sci Rep. 2025 Apr 17;15(1):13255. doi: 10.1038/s41598-025-97036-w.
7
[Change of plasma level of valine and its relationship with developmental quotient in children with autism].[自闭症儿童血浆缬氨酸水平变化及其与发育商的关系]
Beijing Da Xue Xue Bao Yi Xue Ban. 2025 Apr 18;57(2):277-283. doi: 10.19723/j.issn.1671-167X.2025.02.009.
8
Hammering that Nail: Varied Praxis Motor Skills in Younger Autistic Children.敲钉子:年幼自闭症儿童多样化的动作技能实践。
J Autism Dev Disord. 2020 Sep;50(9):3253-3262. doi: 10.1007/s10803-019-04136-4.
9
Decreased connectivity and cerebellar activity in autism during motor task performance.自闭症患者在执行运动任务时,其连接性和小脑活动会降低。
Brain. 2009 Sep;132(Pt 9):2413-25. doi: 10.1093/brain/awp088. Epub 2009 Apr 23.
10
Motor, cognitive, and socio-cognitive mechanisms explaining social skills in autism and typical development.解释自闭症和典型发育中社会技能的运动、认知和社会认知机制。
Autism Res. 2024 Nov;17(11):2319-2332. doi: 10.1002/aur.3215. Epub 2024 Aug 19.

引用本文的文献

1
Functional upper-extremity movements in autism: A narrative literature review.自闭症患者的上肢功能性运动:一篇叙述性文献综述。
Res Autism Spectr Disord. 2024 Oct;118. doi: 10.1016/j.rasd.2024.102489. Epub 2024 Oct 10.
2
Sensory-movement underpinnings of lifelong neurodivergence: getting a grip on autism.终身神经差异的感觉运动基础:深入了解自闭症
Front Integr Neurosci. 2025 Apr 14;19:1489322. doi: 10.3389/fnint.2025.1489322. eCollection 2025.
3
Biological kinematics: a detailed review of the velocity-curvature power law calculation.

本文引用的文献

1
Motor abilities as a possible specifier of autism: A response to Bhat (2021).运动能力作为孤独症的一种可能的特定指标:对巴特(2021年)的回应。
Autism Res. 2022 Oct;15(10):1794-1795. doi: 10.1002/aur.2805. Epub 2022 Aug 29.
2
Insufficient evidence for inclusion of motor deficits in the ASD diagnostic criteria: A response to Bhat (2021).将运动缺陷纳入孤独症谱系障碍诊断标准的证据不足:对巴特(2021年)的回应。
Autism Res. 2022 Aug;15(8):1374-1375. doi: 10.1002/aur.2775. Epub 2022 Jul 2.
3
Strategies to Support Learning of Gross Motor Tasks in Children with Autism Spectrum Disorder: A Scoping Review.
生物运动学:速度-曲率幂律计算的详细综述
Exp Brain Res. 2025 Apr 3;243(5):107. doi: 10.1007/s00221-025-07065-0.
4
A handbook for in autism: supporting social timing in play, learning and therapy.一本关于自闭症的手册:在玩耍、学习和治疗中支持社交时机
Front Psychol. 2024 Sep 18;15:1384068. doi: 10.3389/fpsyg.2024.1384068. eCollection 2024.
5
Decreased wrist rotation imitation abilities in children with autism spectrum disorder.自闭症谱系障碍儿童手腕旋转模仿能力下降。
Front Psychiatry. 2024 Apr 18;15:1349879. doi: 10.3389/fpsyt.2024.1349879. eCollection 2024.
支持自闭症谱系障碍儿童粗大运动任务学习的策略:一项范围综述
Phys Occup Ther Pediatr. 2023;43(1):17-33. doi: 10.1080/01942638.2022.2073800. Epub 2022 May 10.
4
Motor signature of autism spectrum disorder in adults without intellectual impairment.自闭症谱系障碍在无智力障碍成人中的运动特征。
Sci Rep. 2022 May 10;12(1):7670. doi: 10.1038/s41598-022-10760-5.
5
Excessive and less complex body movement in children with autism during face-to-face conversation: An objective approach to behavioral quantification.自闭症儿童在面对面交谈中过度和较少复杂的身体动作:行为量化的客观方法。
Autism Res. 2022 Feb;15(2):305-316. doi: 10.1002/aur.2646. Epub 2021 Nov 27.
6
Early trajectories of motor skills in infant siblings of children with autism spectrum disorder.自闭症谱系障碍儿童的同胞婴儿运动技能的早期发展轨迹。
Autism Res. 2022 Mar;15(3):481-492. doi: 10.1002/aur.2641. Epub 2021 Nov 26.
7
Developmental differences in the prospective organisation of goal-directed movement between children with autism and typically developing children: A smart tablet serious game study.自闭症儿童与正常发展儿童在目标导向运动的前瞻性组织方面的发展差异:一项智能平板电脑严肃游戏研究。
Dev Sci. 2022 May;25(3):e13195. doi: 10.1111/desc.13195. Epub 2021 Dec 6.
8
The course and prognostic capability of motor difficulties in infants showing early signs of autism.具有自闭症早期迹象的婴儿运动困难的病程和预后能力。
Autism Res. 2021 Aug;14(8):1759-1768. doi: 10.1002/aur.2545. Epub 2021 May 22.
9
Motor and sensory features successfully decode autism spectrum disorder and combine with the original RDoC framework to boost diagnostic classification.运动和感觉特征成功解码自闭症谱系障碍,并与原始的 RDoC 框架相结合,提高了诊断分类的效果。
Sci Rep. 2021 Apr 9;11(1):7839. doi: 10.1038/s41598-021-87455-w.
10
Towards Motor-Based Early Detection of Autism Red Flags: Enabling Technology and Exploratory Study Protocol.基于运动的自闭症早期预警信号的检测:实现技术与探索性研究方案
Sensors (Basel). 2021 Mar 11;21(6):1971. doi: 10.3390/s21061971.