Department of Hematology, The First Affiliated Hospital of Soochow University, Suzhou, China.
National Clinical Research Center for Hematologic Diseases, Jiangsu Institute of Hematology, Suzhou, China.
Stem Cell Res Ther. 2024 Jan 29;15(1):24. doi: 10.1186/s13287-024-03640-4.
Elderly patients with acute myeloid leukemia or myelodysplastic syndromes (AML/MDS) have historically had poor prognoses. However, there has been a recent increase in the use of allogenic hematopoietic stem cell transplantation (allo-HSCT) are in this patient population. Nevertheless, the optimal choice of donor type for the patients remains an unmet need. Limited data exist on the use of allo-HSCT in elderly patients with AML/MDS from China. To better understand and optimize the selection of donor type for the elderly patients, particularly for those with refractory or relapsed disease, in comparison with the previous studies in the US and Europe.
Our retrospective study enrolled 259 patients aged over 55 years who underwent their first allo-HSCT between April 2015 and August 2022. These patients were divided into three groups based on donor type: haploidentical related donor group (haploidentical related donor transplantation [HID], n = 184), matched sibling donor group (matched sibling donor transplantation [MSD], n = 39), and matched unrelated donor group (matched unrelated donor transplantation [MUD], n = 36). Statistics were performed with the chi-square test, the log-rank and Fine-Gray tests.
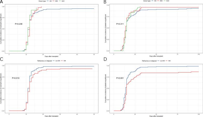
The median age of the cohort was 57 years (range: 55-75) and 26.25% of patients were over 60 years old. Younger patients had a higher incidence of acute graft-versus-host disease (HR = 1.942, P = 0.035), faster neutrophil recovery (HR = 1.387, P = 0.012), and better overall survival (HR = 0.567, P = 0.043) than patients aged ≥ 60 years across the entire cohort. Patients with refractory or relapsed (R/R) diseases had delayed neutrophil engraftment (P = 0.010, HR = 0.752) and platelet engraftment (P < 0.001, HR = 0.596), higher incidence of relapses (HR = 2.300, P = 0.013), and inferior relapse-free survival (RFS) (HR = 1.740, HR = 0.016) regardless of donor type. When it came to graft-versus-host-disease-free, relapse-free survival (GRFS), MUDs turned out to be superior to HIDs (HR = 0.472, P = 0.026) according to the multivariable analysis. In contrast, we found MSDs had an inferior GRFS to HIDs in parallel (HR = 1.621, P = 0.043).
The choice of donor type did not significantly affect the outcomes of allo-HSCT. However, when considering the quality of post-transplant life, MUDs or HIDs from younger donors may be the optimal choice for elderly patients.
老年急性髓系白血病或骨髓增生异常综合征(AML/MDS)患者的预后历来较差。然而,近年来越来越多的患者接受同种异体造血干细胞移植(allo-HSCT)。然而,对于此类患者,最佳供者类型选择仍未得到满足。关于来自中国的老年 AML/MDS 患者接受 allo-HSCT 的数据有限。为了更好地了解和优化老年患者供者类型的选择,特别是对于那些患有难治或复发疾病的患者,与美国和欧洲之前的研究进行比较。
我们的回顾性研究纳入了 2015 年 4 月至 2022 年 8 月期间首次接受 allo-HSCT 的 259 名年龄超过 55 岁的患者。这些患者根据供者类型分为三组:单倍体相关供者组(haploidentical related donor transplantation [HID],n=184)、匹配同胞供者组(matched sibling donor transplantation [MSD],n=39)和匹配无关供者组(matched unrelated donor transplantation [MUD],n=36)。使用卡方检验、对数秩和 Fine-Gray 检验进行统计学分析。
队列的中位年龄为 57 岁(范围:55-75 岁),26.25%的患者年龄大于 60 岁。年轻患者发生急性移植物抗宿主病的发生率较高(HR=1.942,P=0.035),中性粒细胞恢复更快(HR=1.387,P=0.012),总生存率更好(HR=0.567,P=0.043),而整个队列中年龄≥60 岁的患者则较低。患有难治或复发(R/R)疾病的患者中性粒细胞植入延迟(P=0.010,HR=0.752)和血小板植入延迟(P<0.001,HR=0.596),复发率较高(HR=2.300,P=0.013),无复发生存率(RFS)较差(HR=1.740,HR=0.016),无论供者类型如何。在无移植物抗宿主病-无复发生存(GRFS)方面,多变量分析显示 MUD 优于 HID(HR=0.472,P=0.026)。相比之下,我们发现 MSD 在 GRFS 方面劣于 HID(HR=1.621,P=0.043)。
供者类型的选择并不显著影响 allo-HSCT 的结果。然而,考虑到移植后生活质量,来自年轻供者的 MUD 或 HID 可能是老年患者的最佳选择。