Suppr超能文献

大长度尺度下均匀电子气的路径积分蒙特卡罗模拟

Path Integral Monte Carlo Simulations of the Uniform Electron Gas on Large Length Scales.

作者信息

Dornheim Tobias, Schwalbe Sebastian, Moldabekov Zhandos A, Vorberger Jan, Tolias Panagiotis

机构信息

Center for Advanced Systems Understanding (CASUS), Helmholtz-Zentrum Dresden-Rossendorf (HZDR), D-02826 Görlitz, Germany.

Institute of Radiation Physics, Helmholtz-Zentrum Dresden-Rossendorf (HZDR), D-01328 Dresden, Germany.

出版信息

J Phys Chem Lett. 2024 Feb 8;15(5):1305-1313. doi: 10.1021/acs.jpclett.3c03193. Epub 2024 Jan 29.

Abstract

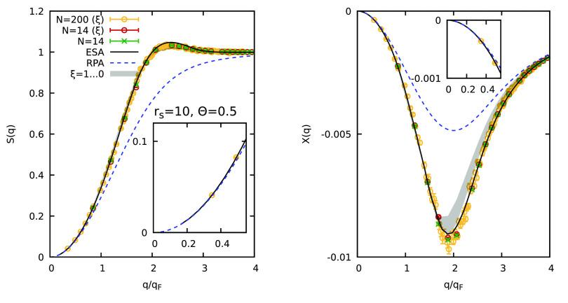
The accurate description of non-ideal quantum many-body systems is of prime importance for a host of applications within physics, quantum chemistry, materials science, and related disciplines. At finite temperatures, the gold standard is given by path integral Monte Carlo (PIMC) simulations, which do not require any empirical input but exhibit an exponential increase in the required computation time for Fermionic systems with an increase in system size . Very recently, computing Fermionic properties without this bottleneck based on PIMC simulations of fictitious identical particles has been suggested. In our work, we use this technique to perform very large ( ≤ 1000) PIMC simulations of the warm dense electron gas and demonstrate that it is capable of providing a highly accurate description of the investigated properties, i.e., the static structure factor, the static density response function, and the local field correction, over the entire range of length scales.

摘要

准确描述非理想量子多体系统对于物理学、量子化学、材料科学及相关学科中的许多应用至关重要。在有限温度下,路径积分蒙特卡罗(PIMC)模拟是黄金标准,它不需要任何经验输入,但随着费米子系统尺寸的增加,所需计算时间呈指数增长。最近,有人提出基于虚拟全同粒子的PIMC模拟来计算费米子性质而不受此瓶颈限制。在我们的工作中,我们使用这种技术对温暖稠密电子气进行了非常大规模(≤1000)的PIMC模拟,并证明它能够在整个长度尺度范围内对所研究的性质,即静态结构因子、静态密度响应函数和局域场修正,提供高度准确的描述。

https://cdn.ncbi.nlm.nih.gov/pmc/blobs/31e3/10860150/f75ca0cfc2f7/jz3c03193_0001.jpg

文献AI研究员

20分钟写一篇综述,助力文献阅读效率提升50倍。

立即体验

用中文搜PubMed

大模型驱动的PubMed中文搜索引擎

马上搜索

文档翻译

学术文献翻译模型,支持多种主流文档格式。

立即体验