Suppr超能文献

青少年游泳运动员上下肢无氧相对肌肉力量是否存在差异:一项盲法研究。

Are there differences in anaerobic relative muscle power between upper and lower limbs in adolescent swimmers: A blinded study.

作者信息

Almeida-Neto Paulo Francisco de, Baxter-Jones Adam, de Medeiros Jason Azevedo, Dantas Paulo Moreira Silva, Cabral Breno Guilherme de Araújo Tinôco

机构信息

Health Sciences Center, Federal University of Rio Grande do Norte, UFRN, Natal, RN, Brazil.

Department of Physical Education, Federal University of Rio Grande do Norte, UFRN, Natal, RN, Brazil.

出版信息

Sports Med Health Sci. 2023 Sep 11;5(4):290-298. doi: 10.1016/j.smhs.2023.09.005. eCollection 2023 Dec.

Abstract

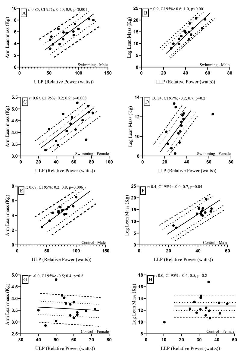
Success in speed swimming depends on the efficiency of the anaerobic system for the production of cellular energy, especially during muscle power production. In the adolescent athletes much is unknown with regards to the relationships between relative power of upper and lower limbs with speed swimming performance. The aim the present study was to identify differences in relative muscle power of upper and lower limbs in adolescent swimmers and relate these to speed swimming performances. Sixty adolescents, of both sexes (50% female, 50% male, 30 swimmers and 30 controls), were recruited. The relative upper limb power (ULP) was assessed by a medicine ball test and the relative lower limbs power (LLP) by a jump test on a jumping platform. Lean mass of the upper and lower limbs was assessed by dual-energy X-ray absorptiometry (DXA) (g). Sport performance was assessed during national level competition (50-m swimming time [in seconds]). Biological maturation (BM) was indexed by years from attainment of peak height velocity. ULP was higher than LLP in both groups ( ​< ​0.05). Upper and lower limb lean mass (g) correlated significantly with ULP and LLP in both groups ( ​< ​0.05). ULP and LLP correlated with 50-m swimming performance (s), in both sexes ( ​< ​0.05). Advanced BM was associated with ULP and LLP in both groups ( ​< ​0.05), and with 50-m swimming performance (s) in both sexes ( ​< ​0.05). We concluded that ULP is higher than LLP in adolescent swimmers. Upper and lower limb lean mass and BM were both positively associated with increased ULP and LLP .

摘要

速度游泳的成功取决于无氧系统产生细胞能量的效率,尤其是在肌肉力量产生过程中。对于青少年运动员而言,上肢和下肢的相对力量与速度游泳成绩之间的关系仍有许多未知之处。本研究的目的是确定青少年游泳运动员上肢和下肢相对肌肉力量的差异,并将这些差异与速度游泳成绩联系起来。招募了60名青少年,男女各半(女性50%,男性50%,30名游泳运动员和30名对照组)。通过药球测试评估上肢相对力量(ULP),通过在跳跃平台上的跳跃测试评估下肢相对力量(LLP)。通过双能X线吸收法(DXA)评估上肢和下肢的去脂体重(克)。在国家级比赛期间评估运动成绩(50米游泳时间[秒])。生物成熟度(BM)以达到身高增长峰值速度后的年数为指标。两组的ULP均高于LLP(<0.05)。两组中上肢和下肢去脂体重(克)与ULP和LLP均显著相关(<0.05)。ULP和LLP与50米游泳成绩(秒)相关,男女均如此(<0.05)。两组中较高的BM与ULP和LLP相关(<0.05),男女两性中较高的BM与50米游泳成绩(秒)相关(<0.05)。我们得出结论,青少年游泳运动员的ULP高于LLP。上肢和下肢去脂体重以及BM均与ULP和LLP的增加呈正相关。

https://cdn.ncbi.nlm.nih.gov/pmc/blobs/5ae5/10831378/b48f2e2ec4bb/ga1.jpg

文献检索

告别复杂PubMed语法,用中文像聊天一样搜索,搜遍4000万医学文献。AI智能推荐,让科研检索更轻松。

立即免费搜索

文件翻译

保留排版,准确专业,支持PDF/Word/PPT等文件格式,支持 12+语言互译。

免费翻译文档

深度研究

AI帮你快速写综述,25分钟生成高质量综述,智能提取关键信息,辅助科研写作。

立即免费体验