Suppr超能文献

观察者间分割变异性和强度离散化对基于 MRI 的脂肪瘤和非典型脂肪瘤性肿瘤放射组学特征可重复性的影响。

Effects of Interobserver Segmentation Variability and Intensity Discretization on MRI-Based Radiomic Feature Reproducibility of Lipoma and Atypical Lipomatous Tumor.

机构信息

IRCCS Istituto Ortopedico Galeazzi, Via Cristina Belgioioso 173, 20157, Milan, Italy.

Dipartimento Di Scienze Biomediche Per La Salute, Università Degli Studi Di Milano, Milan, Italy.

出版信息

J Imaging Inform Med. 2024 Jun;37(3):1187-1200. doi: 10.1007/s10278-024-00999-x. Epub 2024 Feb 8.

Abstract

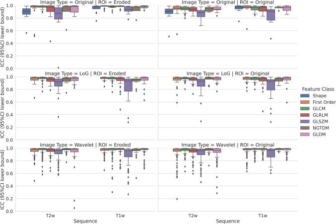
Segmentation and image intensity discretization impact on radiomics workflow. The aim of this study is to investigate the influence of interobserver segmentation variability and intensity discretization methods on the reproducibility of MRI-based radiomic features in lipoma and atypical lipomatous tumor (ALT). Thirty patients with lipoma or ALT were retrospectively included. Three readers independently performed manual contour-focused segmentation on T1-weighted and T2-weighted sequences, including the whole tumor volume. Additionally, a marginal erosion was applied to segmentations to evaluate its influence on feature reproducibility. After image pre-processing, with included intensity discretization employing both fixed bin number and width approaches, 1106 radiomic features were extracted from each sequence. Intraclass correlation coefficient (ICC) 95% confidence interval lower bound ≥ 0.75 defined feature stability. In contour-focused vs. margin shrinkage segmentation, the rates of stable features extracted from T1-weighted and T2-weighted images ranged from 92.68 to 95.21% vs. 90.69 to 95.66% after fixed bin number discretization and from 95.75 to 97.65% vs. 95.39 to 96.47% after fixed bin width discretization, respectively, with no difference between the two segmentation approaches (p ≥ 0.175). Higher stable feature rates and higher feature ICC values were found when implementing discretization with fixed bin width compared to fixed bin number, regardless of the segmentation approach (p < 0.001). In conclusion, MRI radiomic features of lipoma and ALT are reproducible regardless of the segmentation approach and intensity discretization method, although a certain degree of interobserver variability highlights the need for a preliminary reliability analysis in future studies.

摘要

分割和图像强度离散化对影像组学工作流程的影响。本研究旨在探讨观察者间分割变异性和强度离散化方法对脂肪瘤和非典型性脂肪肉瘤(ALT)基于 MRI 的影像组学特征可重复性的影响。回顾性纳入 30 例脂肪瘤或 ALT 患者。三位读者分别对 T1 加权和 T2 加权序列进行手动轮廓聚焦分割,包括整个肿瘤体积。此外,还应用边缘侵蚀来评估其对特征可重复性的影响。图像预处理后,采用固定 bin 数量和宽度两种方法进行强度离散化,从每个序列中提取 1106 个影像组学特征。95%置信区间下限的组内相关系数(ICC)≥0.75 定义为特征稳定性。在轮廓聚焦与边缘收缩分割中,采用固定 bin 数量离散化时,T1 加权和 T2 加权图像中提取的稳定特征率分别为 92.68%至 95.21%与 90.69%至 95.66%,采用固定 bin 宽度离散化时,稳定特征率分别为 95.75%至 97.65%与 95.39%至 96.47%,两种分割方法之间无差异(p≥0.175)。无论分割方法如何,采用固定 bin 宽度离散化时,稳定特征的比例和特征 ICC 值均较高(p<0.001)。综上所述,无论采用何种分割方法和强度离散化方法,脂肪瘤和 ALT 的 MRI 影像组学特征均具有可重复性,但观察者间的一定程度的变异性突出表明在未来研究中需要进行初步的可靠性分析。

https://cdn.ncbi.nlm.nih.gov/pmc/blobs/ca9c/11169199/f1e3f96c0353/10278_2024_999_Fig1_HTML.jpg

文献AI研究员

20分钟写一篇综述,助力文献阅读效率提升50倍。

立即体验

用中文搜PubMed

大模型驱动的PubMed中文搜索引擎

马上搜索

文档翻译

学术文献翻译模型,支持多种主流文档格式。

立即体验