Suppr超能文献

将功能注释与双层连续收缩相结合进行多基因风险预测。

Incorporating functional annotation with bilevel continuous shrinkage for polygenic risk prediction.

机构信息

University of Michigan, Ann Arbor, USA.

Seoul National University, Seoul, Republic of Korea.

出版信息

BMC Bioinformatics. 2024 Feb 9;25(1):65. doi: 10.1186/s12859-024-05664-2.

Abstract

BACKGROUND

Genetic variants can contribute differently to trait heritability by their functional categories, and recent studies have shown that incorporating functional annotation can improve the predictive performance of polygenic risk scores (PRSs). In addition, when only a small proportion of variants are causal variants, PRS methods that employ a Bayesian framework with shrinkage can account for such sparsity. It is possible that the annotation group level effect is also sparse. However, the number of PRS methods that incorporate both annotation information and shrinkage on effect sizes is limited. We propose a PRS method, PRSbils, which utilizes the functional annotation information with a bilevel continuous shrinkage prior to accommodate the varying genetic architectures both on the variant-specific level and on the functional annotation level.

RESULTS

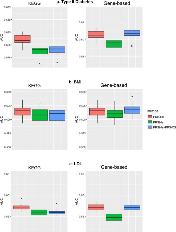
We conducted simulation studies and investigated the predictive performance in settings with different genetic architectures. Results indicated that when there was a relatively large variability of group-wise heritability contribution, the gain in prediction performance from the proposed method was on average 8.0% higher AUC compared to the benchmark method PRS-CS. The proposed method also yielded higher predictive performance compared to PRS-CS in settings with different overlapping patterns of annotation groups and obtained on average 6.4% higher AUC. We applied PRSbils to binary and quantitative traits in three real world data sources (the UK Biobank, the Michigan Genomics Initiative (MGI), and the Korean Genome and Epidemiology Study (KoGES)), and two sources of annotations: ANNOVAR, and pathway information from the Kyoto Encyclopedia of Genes and Genomes (KEGG), and demonstrated that the proposed method holds the potential for improving predictive performance by incorporating functional annotations.

CONCLUSIONS

By utilizing a bilevel shrinkage framework, PRSbils enables the incorporation of both overlapping and non-overlapping annotations into PRS construction to improve the performance of genetic risk prediction. The software is available at https://github.com/styvon/PRSbils .

摘要

背景

遗传变异可以通过其功能类别对性状遗传力产生不同的贡献,最近的研究表明,纳入功能注释可以提高多基因风险评分(PRS)的预测性能。此外,当只有一小部分变异是因果变异时,采用收缩贝叶斯框架的 PRS 方法可以解释这种稀疏性。注释组水平效应也可能是稀疏的。然而,纳入注释信息和效应大小收缩的 PRS 方法数量有限。我们提出了一种 PRS 方法 PRSbils,它利用功能注释信息和双层连续收缩先验来适应变体特异性水平和功能注释水平上不同的遗传结构。

结果

我们进行了模拟研究,并在具有不同遗传结构的环境中研究了预测性能。结果表明,当组间遗传力贡献的可变性较大时,与基准方法 PRS-CS 相比,该方法的预测性能增益平均高出 8.0%的 AUC。与 PRS-CS 相比,该方法在具有不同注释组重叠模式的环境中也具有更高的预测性能,平均 AUC 高出 6.4%。我们将 PRSbils 应用于三个真实世界数据源(英国生物库、密歇根基因组倡议(MGI)和韩国基因组和流行病学研究(KoGES))中的二分类和定量性状,以及两种注释来源:ANNOVAR 和京都基因与基因组百科全书(KEGG)的途径信息,并证明该方法通过纳入功能注释有潜力提高预测性能。

结论

通过利用双层收缩框架,PRSbils 能够将重叠和非重叠注释纳入 PRS 构建中,以提高遗传风险预测的性能。该软件可在 https://github.com/styvon/PRSbils 上获得。

https://cdn.ncbi.nlm.nih.gov/pmc/blobs/cd08/11323637/8d6d508e7728/12859_2024_5664_Fig1_HTML.jpg

文献AI研究员

20分钟写一篇综述,助力文献阅读效率提升50倍。

立即体验

用中文搜PubMed

大模型驱动的PubMed中文搜索引擎

马上搜索

文档翻译

学术文献翻译模型,支持多种主流文档格式。

立即体验