Suppr超能文献

可见光促进的醇到酯的氧化交叉偶联反应

Visible Light-Promoted Oxidative Cross-Coupling of Alcohols to Esters.

作者信息

Dellisanti Andrea, Chessa Elisa, Porcheddu Andrea, Carraro Massimo, Pisano Luisa, De Luca Lidia, Gaspa Silvia

机构信息

Dipartimento di Scienze Chimiche, Fisiche, Matematiche e Naturali, Università degli Sudi di Sassari, Via Vienna 2, 07100 Sassari, Italy.

Dipartimento di Scienze Chimiche e Geologiche, Università degli Sudi di Cagliari, 09042 Monserrato, Italy.

出版信息

Molecules. 2024 Jan 23;29(3):570. doi: 10.3390/molecules29030570.

Abstract

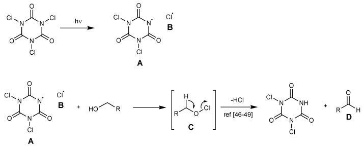
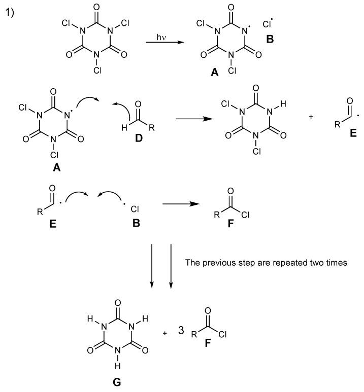
Ester is one of the most significant functional groups in organic chemistry and is enclosed in several valued molecules. Usually, esters are prepared through the acid-catalyzed esterification reaction of carboxylic acids with alcohols, transesterification of esters with alcohols, or via activation of carboxylic acids followed by the addition of alcohols. However, these procedures typically imply the excess use of reactants and harsh reaction conditions. Visible light-mediated photoreactions have been disclosed to display a safe, sustainable, and accessible alternative to traditional methods, and to lead new reactivity modes in organic procedures. In this context, we propose a transition metal-based and organic-based photocatalyst-free synthesis of esters from alcohols induced by visible light. The methodology can be carried out using sunlight or artificial visible light as a solar simulator or a blue LED source.

摘要

酯是有机化学中最重要的官能团之一,存在于多种有价值的分子中。通常,酯是通过羧酸与醇的酸催化酯化反应、酯与醇的酯交换反应,或通过羧酸的活化然后加入醇来制备的。然而,这些方法通常意味着反应物的过量使用和苛刻的反应条件。可见光介导的光反应已被证明是一种安全、可持续且易于实现的传统方法替代方案,并在有机合成过程中带来了新的反应模式。在此背景下,我们提出了一种由可见光诱导的、基于过渡金属和有机的无光催化剂的醇制酯合成方法。该方法可以使用阳光或人工可见光作为太阳模拟器或蓝色LED光源来进行。

https://cdn.ncbi.nlm.nih.gov/pmc/blobs/98b6/10856673/692faee3e4eb/molecules-29-00570-sch001.jpg

文献AI研究员

20分钟写一篇综述,助力文献阅读效率提升50倍。

立即体验

用中文搜PubMed

大模型驱动的PubMed中文搜索引擎

马上搜索

文档翻译

学术文献翻译模型,支持多种主流文档格式。

立即体验