Wang Wei, Liu Yaping, Di Jianbing, Wang Yu, Deng Bing, Yang Jiali, Li Zezhen, Zhang Lixin
College of Food Science and Engineering, Shanxi Agricultural University, Jinzhong 030800, China.
Foods. 2024 Feb 4;13(3):499. doi: 10.3390/foods13030499.
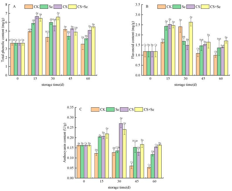
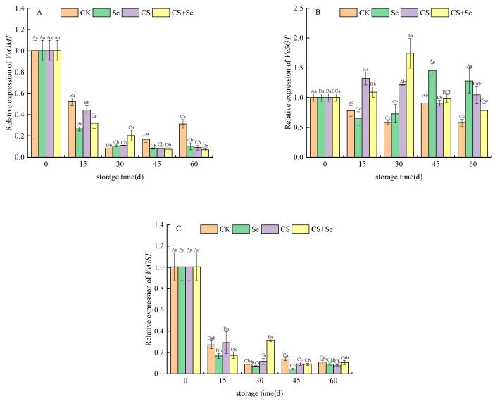
Maintaining the vibrant color of fruit is a longstanding challenge in fruit and vegetable preservation. Chitosan and selenium, known for their protective and antioxidant properties, have been applied to preserve these produce. This study aimed to investigate the influence of selenium-chitosan treatment (comprising 25 mg L selenium and 1.0% chitosan) on the color of "Red Globe" grapes and to analyze the relative expression of genes associated with anthocyanin synthesis enzymes (, , , , , , , , , , and ) using RT-qPCR. Our goal was to uncover the regulatory mechanisms governing grape color. Comparing various treatments, we observed that selenium-chitosan treatment had a significant effect in reducing decay, maintaining the soluble solids content of grape flesh, and preserving the vivid color of grape. This research indicated that selenium-chitosan treatment slowed down browning and prevented the reduction in total phenolic, flavonoids, and anthocyanin in the grape. Moreover, gene expression analysis revealed that selenium-chitosan treatment increased the expression of , , , , and , while also stabilized the expression of , , and in grape skins. These findings shed light on the potential mechanism by which selenium-chitosan impacts grape color. This study established a theoretical foundation for investigating the molecular mechanisms behind selenium-chitosan's ability to slow down grape browning and provides a novel approach to enhancing fruit and vegetable preservation techniques.
保持水果的鲜艳色泽是果蔬保鲜领域长期面临的一项挑战。壳聚糖和硒因其具有保护和抗氧化特性而被应用于这些农产品的保鲜。本研究旨在探究硒 - 壳聚糖处理(包含25毫克/升硒和1.0%壳聚糖)对“红地球”葡萄色泽的影响,并使用逆转录定量聚合酶链反应(RT - qPCR)分析与花青素合成酶( 、 、 、 、 、 、 、 、 、 和 )相关基因的相对表达。我们的目标是揭示控制葡萄色泽的调控机制。通过比较各种处理方式,我们观察到硒 - 壳聚糖处理在减少腐烂、维持葡萄果肉可溶性固形物含量以及保持葡萄鲜艳色泽方面具有显著效果。这项研究表明,硒 - 壳聚糖处理减缓了褐变,并防止了葡萄中总酚、黄酮类化合物和花青素的减少。此外,基因表达分析显示,硒 - 壳聚糖处理增加了 、 、 、 和 的表达,同时还稳定了葡萄果皮中 、 和 的表达。这些发现揭示了硒 - 壳聚糖影响葡萄色泽的潜在机制。本研究为探究硒 - 壳聚糖减缓葡萄褐变能力背后的分子机制奠定了理论基础,并为改进果蔬保鲜技术提供了一种新方法。