Suppr超能文献

食管癌中混合亚型腺癌及腺鳞癌的发生与预后

Occurrence and Prognosis of Mixed Subtype Adenocarcinoma and Adeno-Squamous Carcinoma in Esophageal Cancer.

作者信息

Zhang Dengfeng, Lu Tianxing, Guo Pengfei, Li Jing, Zhao Fangchao, Li Zhirong, Li Shujun

机构信息

Department of Thoracic Surgery, The Second Hospital of Hebei Medical University, Shijiazhuang, China.

出版信息

J Cancer. 2024 Jan 20;15(5):1442-1461. doi: 10.7150/jca.92230. eCollection 2024.

Abstract

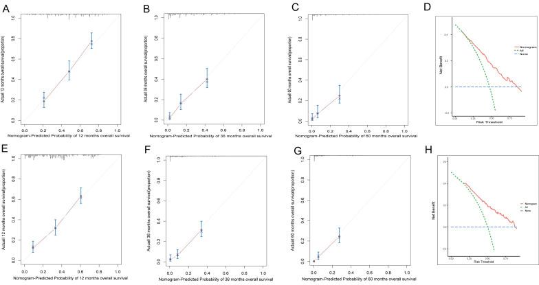
To gain a deeper understanding of the incidence and survival rates of rare esophageal mixed adenoacanthoma (EAM) and esophageal mixed adeno-squamous carcinoma (EASC) to promote a more comprehensive understanding of these two subtypes. EAM and EASC are rare subtypes of esophageal cancer with limited literature available. Extensive research has been conducted on the clinical and pathological characteristics of gastric and colorectal mixed adenoacanthomas, but there is relatively little literature on esophageal mixed adenoacanthomas. Therefore, this study aims to investigate the incidence and survival rates of these two subtypes in depth. Patients diagnosed with EAM and EASC between 2000 and 2019 were selected from the SEER database for the study. Joinpoint software was used to calculate the incidence rates of esophageal AM and ASC patients, and differences in cancer overall survival (OS) and cancer-specific survival (CSS) based on Kaplan-Meier curves were compared. Multivariate Cox regression analysis was employed to identify independent prognostic factors for OS and CSS, and a prognostic model was established and validated for accuracy. The study found that the incidence of EAM increased until 2014, followed by a decline, while the incidence of EASC decreased until 2017, followed by an increase. Both of these subtypes were more common in male patients and those over the age of 65. For EAM patients, preoperative chemoradiotherapy was associated with better survival rates, while for EASC patients, preoperative radiotherapy combined with adjuvant chemotherapy improved survival. Finally, we constructed nomograms for predicting the overall survival of EAM and EASC patients by incorporating identified risk factors, which demonstrated good sensitivity and specificity. EAM and EASC are rare subtypes of esophageal cancer, and an in-depth exploration of their incidence and survival rates provides valuable data and insights for understanding these rare esophageal cancer subtypes. This information can assist clinical decision-making for healthcare professionals.

摘要

为了更深入地了解罕见的食管腺棘皮瘤(EAM)和食管腺鳞癌(EASC)的发病率和生存率,以促进对这两种亚型有更全面的认识。EAM和EASC是食管癌的罕见亚型,相关文献有限。虽然对胃和结直肠混合腺棘皮瘤的临床和病理特征进行了广泛研究,但关于食管混合腺棘皮瘤的文献相对较少。因此,本研究旨在深入调查这两种亚型的发病率和生存率。从监测、流行病学和最终结果(SEER)数据库中选取2000年至2019年间诊断为EAM和EASC的患者进行研究。使用Joinpoint软件计算食管AM和ASC患者的发病率,并基于Kaplan-Meier曲线比较癌症总生存期(OS)和癌症特异性生存期(CSS)的差异。采用多变量Cox回归分析确定OS和CSS的独立预后因素,并建立和验证预后模型的准确性。研究发现,EAM的发病率在2014年之前上升,随后下降,而EASC的发病率在2017年之前下降,随后上升。这两种亚型在男性患者和65岁以上患者中更为常见。对于EAM患者,术前放化疗与更好的生存率相关,而对于EASC患者,术前放疗联合辅助化疗可提高生存率。最后,我们通过纳入已确定的风险因素构建了预测EAM和EASC患者总生存期的列线图,该列线图显示出良好的敏感性和特异性。EAM和EASC是食管癌的罕见亚型,对其发病率和生存率的深入探索为了解这些罕见的食管癌亚型提供了有价值的数据和见解。这些信息可协助医疗保健专业人员进行临床决策。

https://cdn.ncbi.nlm.nih.gov/pmc/blobs/1a9b/10861812/3295aa646f39/jcav15p1442g001.jpg

文献AI研究员

20分钟写一篇综述,助力文献阅读效率提升50倍。

立即体验

用中文搜PubMed

大模型驱动的PubMed中文搜索引擎

马上搜索

文档翻译

学术文献翻译模型,支持多种主流文档格式。

立即体验