• 文献检索
  • 文档翻译
  • 深度研究
  • 学术资讯
  • Suppr Zotero 插件Zotero 插件
  • 邀请有礼
  • 套餐&价格
  • 历史记录
应用&插件
Suppr Zotero 插件Zotero 插件浏览器插件Mac 客户端Windows 客户端微信小程序
定价
高级版会员购买积分包购买API积分包
服务
文献检索文档翻译深度研究API 文档MCP 服务
关于我们
关于 Suppr公司介绍联系我们用户协议隐私条款
关注我们

Suppr 超能文献

核心技术专利:CN118964589B侵权必究
粤ICP备2023148730 号-1Suppr @ 2026

文献检索

告别复杂PubMed语法,用中文像聊天一样搜索,搜遍4000万医学文献。AI智能推荐,让科研检索更轻松。

立即免费搜索

文件翻译

保留排版,准确专业,支持PDF/Word/PPT等文件格式,支持 12+语言互译。

免费翻译文档

深度研究

AI帮你快速写综述,25分钟生成高质量综述,智能提取关键信息,辅助科研写作。

立即免费体验

未破裂脑动静脉畸形的血管致密性预测立体定向放射外科治疗后出血风险。

Vascular compactness of unruptured brain arteriovenous malformation predicts risk of hemorrhage after stereotactic radiosurgery.

机构信息

Department of Radiation Oncology, Shuang Ho Hospital, Taipei Medical University, New Taipei City, Taiwan.

Program in Artificial Intelligence in Medicine, College of Medicine, Taipei Medical University, Taipei, Taiwan.

出版信息

Sci Rep. 2024 Feb 18;14(1):4011. doi: 10.1038/s41598-024-54369-2.

DOI:10.1038/s41598-024-54369-2
PMID:38369533
原文链接:https://pmc.ncbi.nlm.nih.gov/articles/PMC10874940/
Abstract

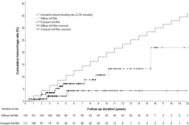
The aim of the study was to investigate whether morphology (i.e. compact/diffuse) of brain arteriovenous malformations (bAVMs) correlates with the incidence of hemorrhagic events in patients receiving Stereotactic Radiosurgery (SRS) for unruptured bAVMs. This retrospective study included 262 adult patients with unruptured bAVMs who underwent upfront SRS. Hemorrhagic events were defined as evidence of blood on CT or MRI. The morphology of bAVMs was evaluated using automated segmentation which calculated the proportion of vessel, brain tissue, and cerebrospinal fluid in bAVMs on T2-weighted MRI. Compactness index, defined as the ratio of vessel to brain tissue, categorized bAVMs into compact and diffuse types based on the optimal cutoff. Cox proportional hazard model was used to identify the independent factors for post-SRS hemorrhage. The median clinical follow-ups was 62.1 months. Post-SRS hemorrhage occurred in 13 (5.0%) patients and one of them had two bleeds, resulting in an annual bleeding rate of 0.8%. Multivariable analysis revealed bAVM morphology (compact versus diffuse), bAVM volume, and prescribed margin dose were significant predictors. The post-SRS hemorrhage rate increased with larger bAVM volume only among the diffuse nidi (1.7 versus 14.9 versus 30.6 hemorrhage per 1000 person-years in bAVM volume < 20 cm versus 20-40 cm versus > 40 cm; p = 0.022). The significantly higher post-SRS hemorrhage rate of Spetzler-Martin grade IV-V compared with grade I-III bAVMs (20.0 versus 3.3 hemorrhages per 1000 person-years; p = 0.001) mainly originated from the diffuse bAVMs rather than the compact subgroup (30.9 versus 4.8 hemorrhages per 1000 person-years; p = 0.035). Compact and smaller bAVMs, with higher prescribed margin dose harbor lower risks of post-SRS hemorrhage. The post-SRS hemorrhage rate exceeded 2.2% annually within the diffuse and large (> 40 cm) bAVMs and the diffuse Spetzler-Martin IV-V bAVMs. These findings may help guide patient selection of SRS for the unruptured bAVMs.

摘要

本研究旨在探讨接受立体定向放射外科 (SRS) 治疗的未破裂脑动静脉畸形 (bAVM) 患者,其 bAVM 的形态(致密型/弥漫型)是否与出血事件的发生相关。本回顾性研究纳入了 262 例接受初始 SRS 治疗的未破裂 bAVM 成年患者。出血事件定义为 CT 或 MRI 上有出血证据。bAVM 的形态使用自动分割进行评估,该方法计算 T2 加权 MRI 上 bAVM 中血管、脑组织和脑脊液的比例。致密指数定义为血管与脑组织的比值,根据最佳截断值将 bAVM 分为致密型和弥漫型。Cox 比例风险模型用于确定 SRS 后出血的独立因素。中位临床随访时间为 62.1 个月。SRS 后有 13 例(5.0%)患者发生出血,其中 1 例发生 2 次出血,年出血率为 0.8%。多变量分析显示,bAVM 形态(致密型与弥漫型)、bAVM 体积和预设边缘剂量是显著的预测因素。仅在弥漫性 nidi 中,随着 bAVM 体积的增大,SRS 后出血率增加(bAVM 体积 < 20 cm、20-40 cm 和 > 40 cm 时的每年出血率分别为 1.7、14.9 和 30.6 出血/1000 人年;p=0.022)。与 Spetzler-Martin 分级 I-III 相比,Spetzler-Martin 分级 IV-V 的 bAVM 的 SRS 后出血率显著更高(20.0 与 3.3 出血/1000 人年;p=0.001),主要来源于弥漫性 bAVM,而非致密型亚组(30.9 与 4.8 出血/1000 人年;p=0.035)。致密型和较小的 bAVM,以及较高的预设边缘剂量,其 SRS 后出血风险较低。弥漫性和较大 (> 40 cm) bAVM 以及弥漫性 Spetzler-Martin IV-V bAVM 的 SRS 后出血率每年超过 2.2%。这些发现可能有助于指导未破裂 bAVM 的 SRS 患者选择。

https://cdn.ncbi.nlm.nih.gov/pmc/blobs/1efb/10874940/60a11b1c1530/41598_2024_54369_Fig2_HTML.jpg
https://cdn.ncbi.nlm.nih.gov/pmc/blobs/1efb/10874940/71d029497a98/41598_2024_54369_Fig1_HTML.jpg
https://cdn.ncbi.nlm.nih.gov/pmc/blobs/1efb/10874940/60a11b1c1530/41598_2024_54369_Fig2_HTML.jpg
https://cdn.ncbi.nlm.nih.gov/pmc/blobs/1efb/10874940/71d029497a98/41598_2024_54369_Fig1_HTML.jpg
https://cdn.ncbi.nlm.nih.gov/pmc/blobs/1efb/10874940/60a11b1c1530/41598_2024_54369_Fig2_HTML.jpg

相似文献

1
Vascular compactness of unruptured brain arteriovenous malformation predicts risk of hemorrhage after stereotactic radiosurgery.未破裂脑动静脉畸形的血管致密性预测立体定向放射外科治疗后出血风险。
Sci Rep. 2024 Feb 18;14(1):4011. doi: 10.1038/s41598-024-54369-2.
2
Compactness index: a radiosurgery outcome predictor for patients with unruptured brain arteriovenous malformations.紧凑度指数:未破裂脑动静脉畸形患者的放射外科治疗结果预测指标
J Neurosurg. 2022 May 20;138(1):241-250. doi: 10.3171/2022.4.JNS212369. Print 2023 Jan 1.
3
Stereotactic radiosurgery for Spetzler-Martin Grade III arteriovenous malformations: an international multicenter study.Stereotactic radiosurgery 用于 Spetzler-Martin 分级 III 级动静脉畸形:一项国际多中心研究。
J Neurosurg. 2017 Mar;126(3):859-871. doi: 10.3171/2016.1.JNS152564. Epub 2016 Apr 15.
4
International multicenter cohort study of pediatric brain arteriovenous malformations. Part 2: Outcomes after stereotactic radiosurgery.小儿脑动静脉畸形的国际多中心队列研究。第2部分:立体定向放射外科治疗后的结果。
J Neurosurg Pediatr. 2017 Feb;19(2):136-148. doi: 10.3171/2016.9.PEDS16284. Epub 2016 Dec 2.
5
Stereotactic radiosurgery for Spetzler-Martin Grade IV and V arteriovenous malformations: an international multicenter study.立体定向放射外科治疗 Spetzler-Martin 分级 IV 和 V 级动静脉畸形:一项国际多中心研究。
J Neurosurg. 2018 Aug;129(2):498-507. doi: 10.3171/2017.3.JNS162635. Epub 2017 Sep 8.
6
Stereotactic Radiosurgery for ARUBA (A Randomized Trial of Unruptured Brain Arteriovenous Malformations)-Eligible Spetzler-Martin Grade I and II Arteriovenous Malformations: A Multicenter Study.针对符合ARUBA(未破裂脑动静脉畸形随机试验)标准的斯佩茨勒-马丁I级和II级动静脉畸形的立体定向放射外科治疗:一项多中心研究。
World Neurosurg. 2017 Jun;102:507-517. doi: 10.1016/j.wneu.2017.03.061. Epub 2017 Mar 23.
7
Management outcomes of peripontine arteriovenous malformation patients presenting with trigeminal neuralgia.桥脑旁动静脉畸形伴三叉神经痛患者的治疗结果。
J Neurosurg. 2023 Jul 14;140(2):515-521. doi: 10.3171/2023.5.JNS23771. Print 2024 Feb 1.
8
A treatment paradigm for high-grade brain arteriovenous malformations: volume-staged radiosurgical downgrading followed by microsurgical resection.一种针对高级别脑动静脉畸形的治疗模式:容积分期放射外科降级治疗后行显微手术切除。
J Neurosurg. 2015 Feb;122(2):419-32. doi: 10.3171/2014.10.JNS1424. Epub 2014 Nov 28.
9
Onyx embolization prior to stereotactic radiosurgery for brain arteriovenous malformations: a single-center treatment algorithm.Onyx 栓塞治疗在脑动静脉畸形立体定向放射外科治疗之前:一种单中心治疗方案。
J Neurointerv Surg. 2018 Mar;10(3):258-267. doi: 10.1136/neurintsurg-2017-013084. Epub 2017 Jul 14.
10
Critical review of brain AVM surgery, surgical results and natural history in 2017.2017年脑动静脉畸形手术、手术结果及自然史的批判性综述。
Acta Neurochir (Wien). 2017 Aug;159(8):1457-1478. doi: 10.1007/s00701-017-3217-x. Epub 2017 May 29.

引用本文的文献

1
Long-Term Outcomes of Stereotactic Radiosurgery Focused Treatment of Brain Arteriovenous Malformations Based on Rupture Status: A Systematic Review and Meta-Analysis.基于破裂状态的立体定向放射外科聚焦治疗脑动静脉畸形的长期结果:一项系统评价和荟萃分析。
Transl Stroke Res. 2025 Mar 20. doi: 10.1007/s12975-025-01339-z.
2
Comprehensive Management of a Giant Left Frontal AVM Coexisting with a Bilobed PComA Aneurysm: A Case Report Highlighting Multidisciplinary Strategies and Advanced Neurosurgical Techniques.巨大左额叶动静脉畸形合并双叶型后交通动脉瘤的综合管理:一例突出多学科策略和先进神经外科技术的病例报告
J Clin Med. 2025 Feb 13;14(4):1232. doi: 10.3390/jcm14041232.

本文引用的文献

1
Compactness index: a radiosurgery outcome predictor for patients with unruptured brain arteriovenous malformations.紧凑度指数:未破裂脑动静脉畸形患者的放射外科治疗结果预测指标
J Neurosurg. 2022 May 20;138(1):241-250. doi: 10.3171/2022.4.JNS212369. Print 2023 Jan 1.
2
Brain arteriovenous malformations: A review of natural history, pathobiology, and interventions.脑动静脉畸形:自然史、病理生物学和干预措施的综述。
Neurology. 2020 Nov 17;95(20):917-927. doi: 10.1212/WNL.0000000000010968. Epub 2020 Oct 1.
3
Medical management with interventional therapy versus medical management alone for unruptured brain arteriovenous malformations (ARUBA): final follow-up of a multicentre, non-blinded, randomised controlled trial.
介入治疗联合药物治疗与单纯药物治疗用于未破裂脑动静脉畸形(ARUBA):一项多中心、非盲、随机对照试验的最终随访
Lancet Neurol. 2020 Jul;19(7):573-581. doi: 10.1016/S1474-4422(20)30181-2.
4
Risk of Brain Arteriovenous Malformation Hemorrhage Before and After Stereotactic Radiosurgery.立体定向放射外科治疗前后脑动静脉畸形出血的风险。
Stroke. 2019 Jun;50(6):1384-1391. doi: 10.1161/STROKEAHA.118.024230. Epub 2019 May 2.
5
Stasis index from hemodynamic analysis using quantitative DSA correlates with hemorrhage of supratentorial arteriovenous malformation: a cross-sectional study.使用定量数字减影血管造影术进行血流动力学分析得出的停滞指数与幕上动静脉畸形出血相关:一项横断面研究。
J Neurosurg. 2019 Apr 26;132(5):1574-1582. doi: 10.3171/2019.1.JNS183386. Print 2020 May 1.
6
Intervening Nidal Brain Parenchyma and Risk of Radiation-Induced Changes After Radiosurgery for Brain Arteriovenous Malformation: A Study Using an Unsupervised Machine Learning Algorithm.脑动静脉畸形放射外科治疗后干预巢状脑实质与放射性改变风险:一项使用无监督机器学习算法的研究
World Neurosurg. 2019 May;125:e132-e138. doi: 10.1016/j.wneu.2018.12.220. Epub 2019 Jan 22.
7
Fully automated tissue segmentation of the prescription isodose region delineated through the Gamma knife plan for cerebral arteriovenous malformation (AVM) using fuzzy C-means (FCM) clustering.利用模糊 C 均值(FCM)聚类对伽玛刀治疗脑动静脉畸形(AVM)的计划等剂量区进行全自动组织分割。
Neuroimage Clin. 2019;21:101608. doi: 10.1016/j.nicl.2018.11.018. Epub 2018 Nov 19.
8
The NASSAU (New ASSessment of cerebral Arteriovenous Malformations yet Unruptured) Analysis: Are the Results From The ARUBA Trial Also Applicable to Unruptured Arteriovenous Malformations Deemed Suitable for Gamma Knife Surgery?NASSAU(新评估大脑动静脉畸形尚未破裂)分析:ARUBA 试验的结果是否也适用于适合伽玛刀手术的未破裂动静脉畸形?
Neurosurgery. 2019 Jul 1;85(1):E118-E124. doi: 10.1093/neuros/nyy391.
9
Variable selection - A review and recommendations for the practicing statistician.变量选择——给执业统计学家的一篇综述与建议
Biom J. 2018 May;60(3):431-449. doi: 10.1002/bimj.201700067. Epub 2018 Jan 2.
10
Stereotactic radiosurgery for Spetzler-Martin Grade IV and V arteriovenous malformations: an international multicenter study.立体定向放射外科治疗 Spetzler-Martin 分级 IV 和 V 级动静脉畸形:一项国际多中心研究。
J Neurosurg. 2018 Aug;129(2):498-507. doi: 10.3171/2017.3.JNS162635. Epub 2017 Sep 8.