Suppr超能文献

用于检测机械通气儿科患者气道闭合的气道开口压力操作

Airway opening pressure maneuver to detect airway closure in mechanically ventilated pediatric patients.

作者信息

Rodriguez Guerineau Luciana, Vieira Fernando, Rodrigues Antenor, Reise Katherine, Todd Mark, Guerguerian Anne-Marie, Brochard Laurent

机构信息

Department of Critical Care Medicine, Hospital for Sick Children, Interdepartmental Division of Critical Care Medicine, University of Toronto, Toronto, ON, Canada.

Keenan Centre for Biomedical Research, Li Ka Shing Knowledge Institute, St. Michael's Hospital, Interdepartmental Division of Critical Care Medicine, University of Toronto, Toronto, ON, Canada.

出版信息

Front Pediatr. 2024 Feb 6;12:1310494. doi: 10.3389/fped.2024.1310494. eCollection 2024.

Abstract

BACKGROUND

Airway closure, which refers to the complete collapse of the airway, has been described under mechanical ventilation during anesthesia and more recently in adult patients with acute respiratory distress syndrome (ARDS). A ventilator maneuver can be used to identify airway closure and measure the pressure required for the airway to reopen, known as the airway opening pressure (AOP). Without that maneuver, AOP is unknown to clinicians.

OBJECTIVE

This study aims to demonstrate the technical adaptation of the adult maneuver for children and illustrate its application in two cases of pediatric ARDS (p-ARDS).

METHODS

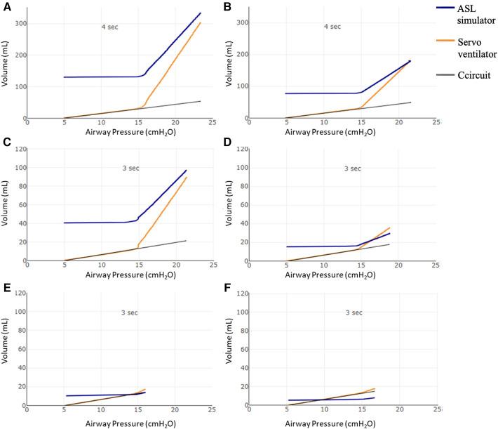
A bench study was performed to adapt the maneuver for 3-50 kg patients. Four maneuvers were performed for each simulated patient, with 1, 2, 3, and 4 s of insufflation time to deliver a tidal volume (Vt) of 6 ml/kg by a continuous flow.

RESULTS

Airway closure was simulated, and AOP was visible at 15 cmHO with a clear inflection point, except for the 3 kg simulated patient. Regarding insufflation time, a 4 s maneuver exhibited a better performance in 30 and 50 kg simulated patients since shorter insufflation times had excessive flowrates (>10 L/min). Below 20 kg, the difference in resistive pressure between a 3 s and a 4 sec maneuver was negligible; therefore, prolonging the maneuver beyond 3 s was not useful. Airway closure was identified in two p-ARDS patients, with the pediatric maneuver being employed in the 28 kg patient.

CONCLUSIONS

We propose a pediatric AOP maneuver delivering 6 ml/kg of Vt at a continuous low-flow inflation for 3 s for patients weighing up to 20 kg and for 4 s for patients weighing beyond 20 kg.

摘要

背景

气道闭合是指气道完全塌陷,在麻醉期间机械通气时以及最近在急性呼吸窘迫综合征(ARDS)成年患者中已有相关描述。一种通气策略可用于识别气道闭合并测量气道重新开放所需的压力,即气道开放压(AOP)。若不采用该策略,临床医生无法得知AOP。

目的

本研究旨在展示适用于儿童的成人策略技术,并说明其在两例小儿ARDS(p-ARDS)病例中的应用。

方法

进行了一项实验台研究,以使该策略适用于体重3至50千克的患者。对每个模拟患者进行四次操作,吹入时间分别为1、2、3和4秒,通过连续气流输送6毫升/千克的潮气量(Vt)。

结果

模拟了气道闭合情况,除3千克的模拟患者外,在15厘米水柱时可见AOP且有明显拐点。关于吹入时间,在30千克和50千克的模拟患者中,4秒的操作表现更佳,因为较短的吹入时间气流速率过高(>10升/分钟)。体重低于20千克时,3秒和4秒操作之间的阻力压力差异可忽略不计;因此,将操作时间延长至3秒以上并无益处。在两例p-ARDS患者中识别出气道闭合,在28千克的患者中采用了小儿策略。

结论

我们提出一种小儿AOP策略,对于体重达20千克的患者,以持续低流量充气3秒输送6毫升/千克的Vt;对于体重超过20千克的患者,则为4秒。

https://cdn.ncbi.nlm.nih.gov/pmc/blobs/a923/10877025/75f35f7c9205/fped-12-1310494-g001.jpg

文献AI研究员

20分钟写一篇综述,助力文献阅读效率提升50倍。

立即体验

用中文搜PubMed

大模型驱动的PubMed中文搜索引擎

马上搜索

文档翻译

学术文献翻译模型,支持多种主流文档格式。

立即体验