Big Data Institute, Nuffield Department of Medicine, University of Oxford, Oxford, UK.
Department of Biology, University of Oxford, Oxford, UK.
Nature. 2024 Feb;626(8001):1094-1101. doi: 10.1038/s41586-024-07029-4. Epub 2024 Feb 21.
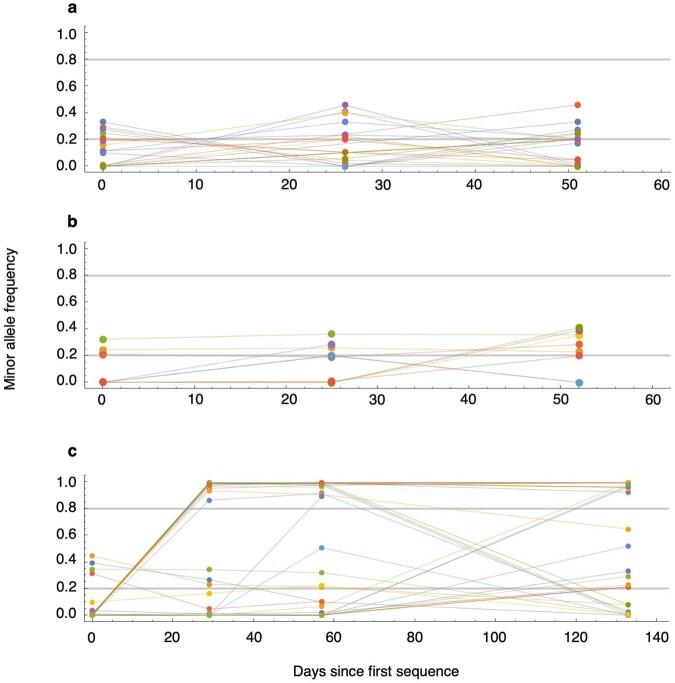
Persistent SARS-CoV-2 infections may act as viral reservoirs that could seed future outbreaks, give rise to highly divergent lineages and contribute to cases with post-acute COVID-19 sequelae (long COVID). However, the population prevalence of persistent infections, their viral load kinetics and evolutionary dynamics over the course of infections remain largely unknown. Here, using viral sequence data collected as part of a national infection survey, we identified 381 individuals with SARS-CoV-2 RNA at high titre persisting for at least 30 days, of which 54 had viral RNA persisting at least 60 days. We refer to these as 'persistent infections' as available evidence suggests that they represent ongoing viral replication, although the persistence of non-replicating RNA cannot be ruled out in all. Individuals with persistent infection had more than 50% higher odds of self-reporting long COVID than individuals with non-persistent infection. We estimate that 0.1-0.5% of infections may become persistent with typically rebounding high viral loads and last for at least 60 days. In some individuals, we identified many viral amino acid substitutions, indicating periods of strong positive selection, whereas others had no consensus change in the sequences for prolonged periods, consistent with weak selection. Substitutions included mutations that are lineage defining for SARS-CoV-2 variants, at target sites for monoclonal antibodies and/or are commonly found in immunocompromised people. This work has profound implications for understanding and characterizing SARS-CoV-2 infection, epidemiology and evolution.
持续的 SARS-CoV-2 感染可能充当病毒库,引发未来的疫情爆发,产生高度分化的谱系,并导致 COVID-19 后后遗症(长新冠)病例。然而,持续感染的人群流行率、其病毒载量动力学以及感染过程中的进化动态在很大程度上仍然未知。在这里,我们使用作为国家感染调查的一部分收集的病毒序列数据,鉴定了 381 名高病毒载量的 SARS-CoV-2 RNA 持续至少 30 天的个体,其中 54 名个体的病毒 RNA 持续至少 60 天。我们将这些称为“持续性感染”,因为现有证据表明它们代表持续的病毒复制,尽管不能排除所有情况下非复制 RNA 的持续存在。与非持续性感染个体相比,持续性感染个体自述长新冠的可能性高出 50%。我们估计,0.1-0.5%的感染可能会持续存在,通常会反弹高病毒载量,并持续至少 60 天。在一些个体中,我们鉴定出许多病毒氨基酸取代,表明存在强烈的正选择期,而其他个体的序列则在很长一段时间内没有共识性变化,这与弱选择一致。取代包括在单克隆抗体靶位点的 SARS-CoV-2 变体定义突变以及在免疫功能低下人群中常见的突变。这项工作对理解和描述 SARS-CoV-2 感染、流行病学和进化具有深远的意义。