Cobongela Sinazo Z Z, Makatini Maya M, May Bambesiwe, Njengele-Tetyana Zikhona, Bambo Mokae F, Sibuyi Nicole R S
Health Platform, Advanced Materials Division, Mintek, Randburg 2194, South Africa.
Molecular Sciences Institute, School of Chemistry, University of the Witwatersrand, Johannesburg 2050, South Africa.
Antibiotics (Basel). 2024 Feb 13;13(2):183. doi: 10.3390/antibiotics13020183.
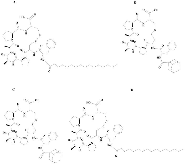
The continuous rise in bacterial infections and antibiotic resistance is the driving force behind the search for new antibacterial agents with novel modes of action. Antimicrobial peptides (AMPs) have recently gained attention as promising antibiotic agents with the potential to treat drug-resistant infections. Several AMPs have shown a lower propensity towards developing resistance compared to conventional antibiotics. However, these peptides, especially acyldepsipeptides (ADEPs) present with unfavorable pharmacokinetic properties, such as high toxicity and low bioavailability. Different ways to improve these peptides to be drug-like molecules have been explored, and these include using biocompatible nano-carriers. ADEP1 analogues (SC005-8) conjugated to gelatin-capped Silver/Indium/Sulfide (AgInS) quantum dots (QDs) improved the antibacterial activity against Gram-negative ( and ), and Gram-positive (, and Methicillin-resistant ) bacteria. The ADEP1 analogues exhibited minimum inhibition concentrations (MIC) between 63 and 500 µM, and minimum bactericidal concentrations (MBC) values between 125 and 750 µM. The AgInS-ADEP1 analogue conjugates showed enhanced antibacterial activity as evident from the MIC and MBC values, i.e., 1.6-25 µM and 6.3-100 µM, respectively. The AgInS-ADEP1 analogue conjugates were non-toxic against HEK-293 cells at concentrations that showed antibacterial activity. The findings reported herein could be helpful in the development of antibacterial treatment strategies.
细菌感染和抗生素耐药性的不断上升是促使人们寻找具有新型作用模式的新型抗菌剂的驱动力。抗菌肽(AMPs)最近作为有潜力治疗耐药性感染的有前景的抗生素受到关注。与传统抗生素相比,几种抗菌肽产生耐药性的倾向较低。然而,这些肽,尤其是酰基环肽(ADEPs)具有不良的药代动力学性质,如高毒性和低生物利用度。人们探索了多种方法将这些肽改进为类药物分子,其中包括使用生物相容性纳米载体。与明胶封端的银/铟/硫化物(AgInS)量子点(QDs)偶联的ADEP1类似物(SC005 - 8)提高了对革兰氏阴性菌(和)以及革兰氏阳性菌(、和耐甲氧西林)的抗菌活性。ADEP1类似物的最低抑菌浓度(MIC)在63至500 µM之间,最低杀菌浓度(MBC)值在125至750 µM之间。从MIC和MBC值(分别为1.6 - 25 µM和6.3 - 100 µM)可以明显看出,AgInS - ADEP1类似物偶联物具有增强的抗菌活性。在显示出抗菌活性的浓度下,AgInS - ADEP1类似物偶联物对HEK - 293细胞无毒。本文报道的研究结果可能有助于抗菌治疗策略的开发。