Suppr超能文献

真实世界中评估恩福妥滨在日本转移性尿路上皮癌患者中的疗效和安全性:研究发现、相关考量和未来方向。

Real-World Insights into Efficacy and Safety of Enfortumab Vedotin in Japanese Patients with Metastatic Urothelial Carcinoma: Findings, Considerations, and Future Directions.

机构信息

Nippon Medical School, 1-1-5 Sendagi, Bunkyo-ku, Tokyo 113-8603, Japan.

出版信息

Curr Oncol. 2024 Jan 29;31(2):759-768. doi: 10.3390/curroncol31020056.

Abstract

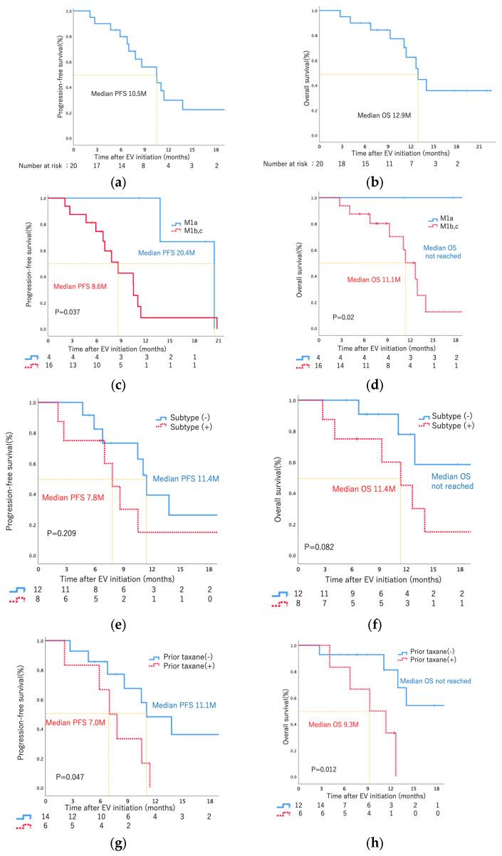
This study presents the enfortumab vedotin (EV) treatment analysis at our institution. We retrospectively analyzed patients with metastatic urothelial cancer (mUC) treated with EV between January 2021 and October 2023. EV was administered at 1.25 mg/kg on days 1, 8, and 15 in a 28-day cycle. Whole-body computed tomography scans were performed to assess the treatment response. Patient characteristics, treatment histories, response rates, progression-free survival, and adverse events were evaluated. Response rates were determined, and adverse events were recorded. Among the 20 patients, 70% were male and 65% had bladder tumors. Most patients had lung (65%) or lymph node (65%) metastases. The median follow-up was 11.2 months, with 45% of the patients succumbing to the disease. The overall response rate was 55%. The median progression-free and median overall survivals were 10.5 and 12.9 months, respectively. Severe adverse events occurred in 35% of patients. In this real-world study, EV demonstrated promising efficacy and manageable safety profiles in Japanese patients with mUC. The study's results were consistent with previous clinical trials, although a longer follow-up was required. Our findings support EV use as a treatment option for patients with mUC who exhibit disease progression after platinum-based chemotherapy and immune-checkpoint inhibitor therapy.

摘要

本研究介绍了我们机构的恩福妥昔单抗(EV)治疗分析。我们回顾性分析了 2021 年 1 月至 2023 年 10 月期间接受 EV 治疗的转移性尿路上皮癌(mUC)患者。EV 以 1.25mg/kg 的剂量在第 1、8 和 15 天给药,28 天为一个周期。全身计算机断层扫描(CT)用于评估治疗反应。评估了患者特征、治疗史、反应率、无进展生存期(PFS)和不良事件。确定了反应率并记录了不良事件。在 20 名患者中,70%为男性,65%为膀胱癌患者。大多数患者有肺部(65%)或淋巴结(65%)转移。中位随访时间为 11.2 个月,45%的患者因疾病死亡。总反应率为 55%。中位 PFS 和中位总生存期(OS)分别为 10.5 个月和 12.9 个月。35%的患者发生严重不良事件。在这项真实世界研究中,EV 在日本 mUC 患者中显示出有希望的疗效和可管理的安全性。研究结果与之前的临床试验一致,尽管需要更长的随访。我们的研究结果支持 EV 作为铂类化疗和免疫检查点抑制剂治疗后疾病进展的 mUC 患者的治疗选择。

https://cdn.ncbi.nlm.nih.gov/pmc/blobs/33d1/10887831/28042590dfa6/curroncol-31-00056-g001.jpg

文献AI研究员

20分钟写一篇综述,助力文献阅读效率提升50倍。

立即体验

用中文搜PubMed

大模型驱动的PubMed中文搜索引擎

马上搜索

文档翻译

学术文献翻译模型,支持多种主流文档格式。

立即体验