Suppr超能文献

水作为从废旧锂离子电池中选择性浸出锂的可持续浸出剂。

Water as a Sustainable Leaching Agent for the Selective Leaching of Lithium from Spent Lithium-Ion Batteries.

作者信息

Greil Rafaela, Chai Joevy, Rudelstorfer Georg, Mitsche Stefan, Lux Susanne

机构信息

Institute of Chemical Engineering and Environmental Technology, Graz University of Technology, NAWI Graz, Inffeldgasse 25C, Graz 8010, Austria.

Chemical Engineering Department, Universiti Teknologi PETRONAS, Seri Iskandar 32610, Malaysia.

出版信息

ACS Omega. 2024 Feb 9;9(7):7806-7816. doi: 10.1021/acsomega.3c07405. eCollection 2024 Feb 20.

Abstract

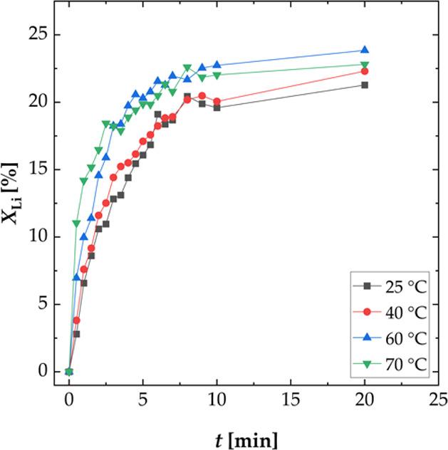
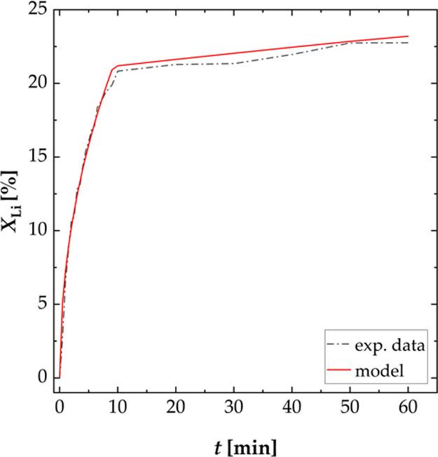
The development of a sustainable recycling process for lithium from spent lithium-ion batteries is an essential step to reduce the environmental impact of batteries. So far, the industrial implementation of a recycling process for lithium has been hindered by low recycling efficiencies and impurities in the recycled material. The aim of this study is thus to develop an easy-to-implement recycling concept for the selective leaching of lithium from spent lithium-ion batteries with water as a sustainable leaching reagent. With this highly selective process, the quantity of chemicals used can be substantially decreased. The influence of the leaching temperature, the solid/liquid-ratio, the mixing rate, and the number of stages in multistage operation were investigated utilizing NCM-material. High leaching efficiencies and a high selectivity were achieved at moderate temperatures of 40 °C and a solid/liquid-ratio of 100 g L. In multistage operation, a selectivity for lithium higher than 98% was achieved with 57% leaching performance of lithium. XRD-measurements showed that lithium carbonate was quantitatively leached, while lithium metal oxides remained in the black mass. Finally, the leaching kinetics were determined, proving that the first leaching period is diffusion controlled and, in the second period, the leaching rate is rate controlling. This work confirms the concept of a green leaching process by which lithium can be recycled with a high degree of purity.

摘要

开发一种用于从废旧锂离子电池中可持续回收锂的工艺是减少电池对环境影响的关键一步。到目前为止,锂回收工艺的工业应用一直受到回收效率低和回收材料中杂质的阻碍。因此,本研究的目的是开发一种易于实施的回收概念,以水作为可持续浸出试剂,从废旧锂离子电池中选择性浸出锂。通过这种高选择性工艺,可大幅减少化学试剂的用量。利用NCM材料研究了浸出温度、固液比、混合速率以及多级操作中的级数的影响。在40℃的适中温度和100 g/L的固液比下实现了高浸出效率和高选择性。在多级操作中,锂的选择性高于98%,锂的浸出性能为57%。XRD测量表明碳酸锂被定量浸出,而锂金属氧化物保留在黑块中。最后,确定了浸出动力学,证明第一个浸出阶段受扩散控制,在第二个阶段,浸出速率起控制作用。这项工作证实了绿色浸出工艺的概念,通过该工艺可以高纯度回收锂。

https://cdn.ncbi.nlm.nih.gov/pmc/blobs/4c6e/10882684/e97ce564a3d6/ao3c07405_0001.jpg

文献AI研究员

20分钟写一篇综述,助力文献阅读效率提升50倍。

立即体验

用中文搜PubMed

大模型驱动的PubMed中文搜索引擎

马上搜索

文档翻译

学术文献翻译模型,支持多种主流文档格式。

立即体验