Suppr超能文献

血浆致动脉粥样硬化指数升高与高尿酸血症相关:一项全国性纵向研究。

Higher Atherogenic Index of Plasma Is Associated with Hyperuricemia: A National Longitudinal Study.

作者信息

Xu Feifei, Ma Chengyong, Wang Shouping, Li Qin, Zhang Zhongwei, He Min

机构信息

Department of Intensive Care Medicine, West China Hospital, Sichuan University, Chengdu, China.

Department of Critical Care Medicine, West China Hospital, Sichuan University, No. 37, Guoxue Alley, Chengdu 610041, China.

出版信息

Int J Endocrinol. 2024 Feb 19;2024:4002839. doi: 10.1155/2024/4002839. eCollection 2024.

Abstract

BACKGROUND

The association between atherogenic index of plasma (AIP) and hyperuricemia remains indistinct. This study was aimed to examine the relationship between AIP and hyperuricemia among the middle-aged and the elderly Chinese population.

METHODS

Datasets were retrieved from the China Health and Retirement Longitudinal Study (CHARLS) survey conducted in 2011 and 2015. 13,021 participants in the CHARLS in 2011 and 7,017 participants involved both in 2011 and 2015 were included, respectively. The measurement of AIP and hyperuricemia was based on the test of fasting blood. Association between AIP and hyperuricemia was assessed by logistic regression, and the nonlinear association was examined by restricted cubic splines (RCS). The cutoff point of AIP was calculated using receiver operator curve (ROC). 1 : 1 propensity score matching (PSM) was adopted to further explore the relationship between AIP and hyperuricemia.

RESULTS

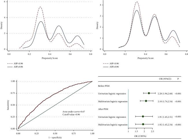
In the section of a cross-sectional study, a positive association between AIP and hyperuricemia was found. The odds ratios (ORs) of hyperuricemia were 1.00 (reference), 1.52 (1.10-2.10), 1.80 (1.31-2.47), and 3.81 (2.84-5.11). Nonlinear association was not detected using RCS analysis. There were 664 hyperuricemia cases during the four years follow-up. The hyperuricemia prevalence was 9.5%. In the fully adjusted longitudinal analysis, the ORs for hyperuricemia across the quartiles of AIP were 1.00 (reference), 1.00 (0.74-1.37), 1.59 (1.20-2.11), and 2.55 (1.94-3.35), respectively. In the longitudinal analysis after PSM, the OR of hyperuricemia were 1.91 (1.45, 2.51) and 1.92 (1.45, 2.54) in the univariate and multivariate model, respectively.

CONCLUSION

AIP can predict the prevalence of hyperuricemia in the Chinese middle-aged and elderly population.

摘要

背景

血浆致动脉粥样硬化指数(AIP)与高尿酸血症之间的关联仍不明确。本研究旨在探讨中国中老年人群中AIP与高尿酸血症之间的关系。

方法

数据来源于2011年和2015年进行的中国健康与养老追踪调查(CHARLS)。分别纳入了2011年CHARLS的13021名参与者以及2011年和2015年都参与的7017名参与者。AIP和高尿酸血症的测量基于空腹血检测。通过逻辑回归评估AIP与高尿酸血症之间的关联,并采用受限立方样条(RCS)检验非线性关联。使用受试者工作特征曲线(ROC)计算AIP的截断点。采用1∶1倾向评分匹配(PSM)进一步探讨AIP与高尿酸血症之间的关系。

结果

在横断面研究部分,发现AIP与高尿酸血症之间存在正相关。高尿酸血症的比值比(OR)分别为1.00(参考值)、1.52(1.10 - 2.10)、1.80(1.31 - 2.47)和3.81(2.84 - 5.11)。使用RCS分析未检测到非线性关联。在四年随访期间有664例高尿酸血症病例。高尿酸血症患病率为9.5%。在完全调整的纵向分析中,AIP四分位数范围内高尿酸血症的OR分别为1.00(参考值)、1.00(0.74 - 1.37)、1.59(1.20 - 2.11)和2.55(1.94 - 3.35)。在PSM后的纵向分析中,单变量模型和多变量模型中高尿酸血症的OR分别为1.91(1.45,2.51)和1.92(1.45,2.54)。

结论

AIP可预测中国中老年人群高尿酸血症的患病率。

https://cdn.ncbi.nlm.nih.gov/pmc/blobs/a686/10896650/40aae43775b3/IJE2024-4002839.001.jpg

文献AI研究员

20分钟写一篇综述,助力文献阅读效率提升50倍。

立即体验

用中文搜PubMed

大模型驱动的PubMed中文搜索引擎

马上搜索

文档翻译

学术文献翻译模型,支持多种主流文档格式。

立即体验