• 文献检索
  • 文档翻译
  • 深度研究
  • 学术资讯
  • Suppr Zotero 插件Zotero 插件
  • 邀请有礼
  • 套餐&价格
  • 历史记录
应用&插件
Suppr Zotero 插件Zotero 插件浏览器插件Mac 客户端Windows 客户端微信小程序
定价
高级版会员购买积分包购买API积分包
服务
文献检索文档翻译深度研究API 文档MCP 服务
关于我们
关于 Suppr公司介绍联系我们用户协议隐私条款
关注我们

Suppr 超能文献

核心技术专利:CN118964589B侵权必究
粤ICP备2023148730 号-1Suppr @ 2026

文献检索

告别复杂PubMed语法,用中文像聊天一样搜索,搜遍4000万医学文献。AI智能推荐,让科研检索更轻松。

立即免费搜索

文件翻译

保留排版,准确专业,支持PDF/Word/PPT等文件格式,支持 12+语言互译。

免费翻译文档

深度研究

AI帮你快速写综述,25分钟生成高质量综述,智能提取关键信息,辅助科研写作。

立即免费体验

增强心脏代谢健康:揭示高强度间歇训练与补充螺旋藻对肥胖男性特定脂肪因子、胰岛素抵抗和人体测量指标的协同作用。

Enhancing cardiometabolic health: unveiling the synergistic effects of high-intensity interval training with spirulina supplementation on selected adipokines, insulin resistance, and anthropometric indices in obese males.

作者信息

Delfan Maryam, Saeidi Ayoub, Supriya Rashmi, Escobar Kurt A, Laher Ismail, Heinrich Katie M, Weiss Katja, Knechtle Beat, Zouhal Hassane

机构信息

Department of Exercise Physiology, Faculty of Sport Sciences, Alzahra University, Tehran, Iran.

Department of Physical Education and Sport Sciences, Faculty of Humanities and Social Sciences, University of Kurdistan, Sanandaj, Kurdistan, Iran.

出版信息

Nutr Metab (Lond). 2024 Mar 7;21(1):11. doi: 10.1186/s12986-024-00785-0.

DOI:10.1186/s12986-024-00785-0
PMID:38454429
原文链接:https://pmc.ncbi.nlm.nih.gov/articles/PMC10921712/
Abstract

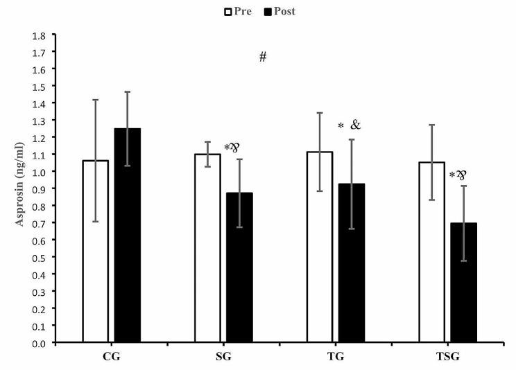
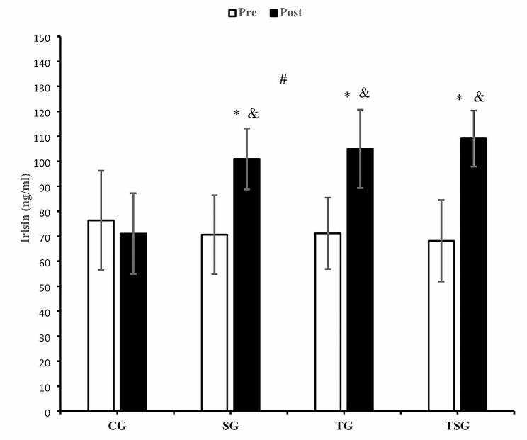
This study investigated the combined effects of 12 weeks of high-intensity interval training (HIIT) and spirulina supplementation on adipokine levels, insulin resistance, anthropometric indices, and cardiorespiratory fitness in 44 obese males (aged 25-40 years). The participants were randomly assigned to one of four groups: control (CG), supplement (SG), training (TG), or training plus supplement (TSG). The intervention involved daily administration of either spirulina or a placebo and HIIT three times a week for the training groups. Anthropometric indices, HOMA-IR, VO, and circulating adipokines (asprosin and lipocalin2, omentin-1, irisin, and spexin) were measured before and after the 12-week intervention. Post-intervention analysis indicated differences between the CG and the three interventional groups for body weight, fat-free mass (FFM), percent body fat (%BF), HOMA-IR, and adipokine levels (p < 0.05). TG and SG participants had increased VO (p < 0.05). Spirulina supplementation with HIIT increased VO, omentin-1, irisin, and spexin, while causing decreases in lipocalin-2 and asprosin levels and improvements in body composition (weight, %fat), BMI, and HOMA-IR. Notably, the combination of spirulina and HIIT produced more significant changes in circulating adipokines and cardiometabolic health in obese males compared to either supplementation or HIIT alone (p < 0.05). These findings highlight the synergistic benefits of combining spirulina supplementation with HIIT, showcasing their potential in improving various health parameters and addressing obesity-related concerns in a comprehensive manner.

摘要

本研究调查了12周高强度间歇训练(HIIT)和补充螺旋藻对44名肥胖男性(年龄在25至40岁之间)的脂肪因子水平、胰岛素抵抗、人体测量指标和心肺适能的综合影响。参与者被随机分为四组之一:对照组(CG)、补充组(SG)、训练组(TG)或训练加补充组(TSG)。干预措施包括训练组每天服用螺旋藻或安慰剂,并每周进行三次HIIT。在为期12周的干预前后,测量了人体测量指标、稳态模型评估胰岛素抵抗(HOMA-IR)、最大摄氧量(VO₂)以及循环脂肪因子(阿扑脂蛋白、lipocalin2、网膜素-1、鸢尾素和信号肽)。干预后分析表明CG与三个干预组在体重、去脂体重(FFM)、体脂百分比(%BF)、HOMA-IR和脂肪因子水平方面存在差异(p<0.05)。TG和SG参与者的VO₂增加(p<0.05)。补充螺旋藻并结合HIIT可提高VO₂、网膜素-1、鸢尾素和信号肽水平,同时降低lipocalin-2和阿扑脂蛋白水平,并改善身体成分(体重、%脂肪)、体重指数(BMI)和HOMA-IR。值得注意的是,与单独补充螺旋藻或进行HIIT相比,螺旋藻与HIIT的组合在肥胖男性的循环脂肪因子和心脏代谢健康方面产生了更显著的变化(p<0.05)。这些发现突出了螺旋藻补充剂与HIIT相结合的协同益处,展示了它们在全面改善各种健康参数和解决肥胖相关问题方面的潜力。

https://cdn.ncbi.nlm.nih.gov/pmc/blobs/1fa0/10921712/63a4021e5123/12986_2024_785_Fig5_HTML.jpg
https://cdn.ncbi.nlm.nih.gov/pmc/blobs/1fa0/10921712/50f338198d99/12986_2024_785_Fig1_HTML.jpg
https://cdn.ncbi.nlm.nih.gov/pmc/blobs/1fa0/10921712/2f7749db738b/12986_2024_785_Fig2_HTML.jpg
https://cdn.ncbi.nlm.nih.gov/pmc/blobs/1fa0/10921712/a2cf45c0ae0d/12986_2024_785_Fig3_HTML.jpg
https://cdn.ncbi.nlm.nih.gov/pmc/blobs/1fa0/10921712/a100a1624e2f/12986_2024_785_Fig4_HTML.jpg
https://cdn.ncbi.nlm.nih.gov/pmc/blobs/1fa0/10921712/63a4021e5123/12986_2024_785_Fig5_HTML.jpg
https://cdn.ncbi.nlm.nih.gov/pmc/blobs/1fa0/10921712/50f338198d99/12986_2024_785_Fig1_HTML.jpg
https://cdn.ncbi.nlm.nih.gov/pmc/blobs/1fa0/10921712/2f7749db738b/12986_2024_785_Fig2_HTML.jpg
https://cdn.ncbi.nlm.nih.gov/pmc/blobs/1fa0/10921712/a2cf45c0ae0d/12986_2024_785_Fig3_HTML.jpg
https://cdn.ncbi.nlm.nih.gov/pmc/blobs/1fa0/10921712/a100a1624e2f/12986_2024_785_Fig4_HTML.jpg
https://cdn.ncbi.nlm.nih.gov/pmc/blobs/1fa0/10921712/63a4021e5123/12986_2024_785_Fig5_HTML.jpg

相似文献

1
Enhancing cardiometabolic health: unveiling the synergistic effects of high-intensity interval training with spirulina supplementation on selected adipokines, insulin resistance, and anthropometric indices in obese males.增强心脏代谢健康:揭示高强度间歇训练与补充螺旋藻对肥胖男性特定脂肪因子、胰岛素抵抗和人体测量指标的协同作用。
Nutr Metab (Lond). 2024 Mar 7;21(1):11. doi: 10.1186/s12986-024-00785-0.
2
Spirulina Supplementation with High-Intensity Interval Training Decreases Adipokines Levels and Cardiovascular Risk Factors in Men with Obesity.螺旋藻补充剂联合高强度间歇训练降低肥胖男性的脂肪因子水平和心血管危险因素。
Nutrients. 2023 Nov 23;15(23):4891. doi: 10.3390/nu15234891.
3
Supplementation with spinach-derived thylakoid augments the benefits of high intensity training on adipokines, insulin resistance and lipid profiles in males with obesity.补充菠菜来源的类囊体可以增强高强度训练对肥胖男性的脂联素、胰岛素抵抗和血脂谱的益处。
Front Endocrinol (Lausanne). 2023 Jul 28;14:1141796. doi: 10.3389/fendo.2023.1141796. eCollection 2023.
4
Effects of 8 Weeks of High-Intensity Interval Training and Spirulina Supplementation on Immunoglobin Levels, Cardio-Respiratory Fitness, and Body Composition of Overweight and Obese Women.8周高强度间歇训练和补充螺旋藻对超重和肥胖女性免疫球蛋白水平、心肺适能及身体成分的影响
Biology (Basel). 2022 Jan 26;11(2):196. doi: 10.3390/biology11020196.
5
Exploring the Impact of Astaxanthin Supplementation in Conjunction with a 12-Week CrossFit Training Regimen on Selected Adipo-Myokines Levels in Obese Males.探讨虾青素补充与 12 周交叉健身训练方案相结合对肥胖男性选定脂肪-肌肉因子水平的影响。
Nutrients. 2024 Aug 26;16(17):2857. doi: 10.3390/nu16172857.
6
High-intensity interval training: Modulating interval duration in overweight/obese men.高强度间歇训练:调节超重/肥胖男性的间歇时长
Phys Sportsmed. 2015 May;43(2):107-13. doi: 10.1080/00913847.2015.1037231.
7
Effects of High-Intensity Interval Training on Selected Adipokines and Cardiometabolic Risk Markers in Normal-Weight and Overweight/Obese Young Males-A Pre-Post Test Trial.高强度间歇训练对正常体重及超重/肥胖年轻男性特定脂肪因子和心血管代谢风险标志物的影响——一项前后测试试验
Biology (Basel). 2022 Jun 2;11(6):853. doi: 10.3390/biology11060853.
8
The effects of spirulina under high-intensity interval training on levels of nesfatin-1, omentin-1, and lipid profiles in overweight and obese females: A randomized, controlled, single-blind trial.高强度间歇训练下螺旋藻对超重和肥胖女性中nesfatin-1、网膜素-1水平及血脂谱的影响:一项随机、对照、单盲试验
J Res Med Sci. 2021 Jan 28;26:10. doi: 10.4103/jrms.JRMS_1317_20. eCollection 2021.
9
Astaxanthin Supplemented with High-Intensity Functional Training Decreases Adipokines Levels and Cardiovascular Risk Factors in Men with Obesity.虾青素补充剂联合高强度功能训练降低肥胖男性脂联素水平和心血管危险因素。
Nutrients. 2023 Jan 6;15(2):286. doi: 10.3390/nu15020286.
10
Effects of school-based high-intensity interval training on body composition, cardiorespiratory fitness and cardiometabolic markers in adolescent boys with obesity: a randomized controlled trial.基于学校的高强度间歇训练对肥胖青少年男孩身体成分、心肺功能和心血管代谢标志物的影响:一项随机对照试验。
BMC Pediatr. 2022 Mar 1;22(1):112. doi: 10.1186/s12887-021-03079-z.

引用本文的文献

1
Effects of spirulina supplementation alone or with exercise on cardiometabolic health in overweight and obese adults: a systematic review and meta-analysis.单独补充螺旋藻或联合运动对超重和肥胖成年人心脏代谢健康的影响:一项系统评价和荟萃分析。
Front Nutr. 2025 Jun 27;12:1624982. doi: 10.3389/fnut.2025.1624982. eCollection 2025.
2
Impact of a 12-week High-Intensity Interval Training With Spirulina Supplementation on Insulin Resistance-Mediated by Apo-A, -B, and -J in Men With Obesity HIIT With Spirulina on Apolipoproteins.为期12周的高强度间歇训练联合补充螺旋藻对肥胖男性中由载脂蛋白A、B和J介导的胰岛素抵抗的影响:高强度间歇训练联合螺旋藻对载脂蛋白的作用
Eur J Sport Sci. 2025 Apr;25(4):e12285. doi: 10.1002/ejsc.12285.
3

本文引用的文献

1
Circulating Asprosin Concentrations in Patients with Obesity and Carbohydrate Disturbances.肥胖和碳水化合物代谢紊乱患者的循环阿朴脂蛋白浓度
Horm Metab Res. 2023 Apr;55(4):284-289. doi: 10.1055/a-2033-6109. Epub 2023 Feb 11.
2
Irisin ameliorates age-associated sarcopenia and metabolic dysfunction.鸢尾素改善与年龄相关的肌肉减少症和代谢功能障碍。
J Cachexia Sarcopenia Muscle. 2023 Feb;14(1):391-405. doi: 10.1002/jcsm.13141. Epub 2022 Dec 12.
3
Effects of two workload-matched high intensity interval training protocols on regulatory factors associated with mitochondrial biogenesis in the soleus muscle of diabetic rats.
Effects of a Dietary Microalgae () Supplement on Stress, Well-Being, and Performance in Water Polo Players: A Clinical Case Series.
膳食小球藻对水球运动员应激、健康和表现的影响:一项临床病例系列研究。
Nutrients. 2024 Jul 25;16(15):2421. doi: 10.3390/nu16152421.
两种工作量匹配的高强度间歇训练方案对糖尿病大鼠比目鱼肌线粒体生物合成相关调节因子的影响。
Front Physiol. 2022 Sep 23;13:927969. doi: 10.3389/fphys.2022.927969. eCollection 2022.
4
Irisin, an exercise-induced bioactive peptide beneficial for health promotion during aging process.鸢尾素,一种运动诱导的生物活性肽,有益于衰老过程中的健康促进。
Ageing Res Rev. 2022 Sep;80:101680. doi: 10.1016/j.arr.2022.101680. Epub 2022 Jul 3.
5
Comparative Efficacy of 5 Exercise Types on Cardiometabolic Health in Overweight and Obese Adults: A Systematic Review and Network Meta-Analysis of 81 Randomized Controlled Trials.比较不同运动类型对超重和肥胖成年人心脏代谢健康的疗效:81 项随机对照试验的系统评价和网络荟萃分析。
Circ Cardiovasc Qual Outcomes. 2022 Jun;15(6):e008243. doi: 10.1161/CIRCOUTCOMES.121.008243. Epub 2022 Apr 28.
6
Algae Supplementation for Exercise Performance: Current Perspectives and Future Directions for Spirulina and Chlorella.补充藻类对运动表现的影响:螺旋藻和小球藻的当前观点及未来方向
Front Nutr. 2022 Mar 7;9:865741. doi: 10.3389/fnut.2022.865741. eCollection 2022.
7
FNDC5/Irisin: Physiology and Pathophysiology.FNDC5/Irisin:生理学与病理生理学。
Molecules. 2022 Feb 8;27(3):1118. doi: 10.3390/molecules27031118.
8
Omentin-1: a newly discovered warrior against metabolic related diseases.内脂素-1:一种新兴的代谢相关性疾病的“斗士”。
Expert Opin Ther Targets. 2022 Mar;26(3):275-289. doi: 10.1080/14728222.2022.2037556. Epub 2022 Feb 10.
9
The Emerging Role of Irisin in Cardiovascular Diseases.鸢尾素在心血管疾病中的新兴作用。
J Am Heart Assoc. 2021 Oct 19;10(20):e022453. doi: 10.1161/JAHA.121.022453. Epub 2021 Oct 8.
10
Lipocalin-2: Structure, function, distribution and role in metabolic disorders.脂联素 2:结构、功能、分布及在代谢紊乱中的作用。
Biomed Pharmacother. 2021 Oct;142:112002. doi: 10.1016/j.biopha.2021.112002. Epub 2021 Aug 27.