• 文献检索
  • 文档翻译
  • 深度研究
  • 学术资讯
  • Suppr Zotero 插件Zotero 插件
  • 邀请有礼
  • 套餐&价格
  • 历史记录
应用&插件
Suppr Zotero 插件Zotero 插件浏览器插件Mac 客户端Windows 客户端微信小程序
定价
高级版会员购买积分包购买API积分包
服务
文献检索文档翻译深度研究API 文档MCP 服务
关于我们
关于 Suppr公司介绍联系我们用户协议隐私条款
关注我们

Suppr 超能文献

核心技术专利:CN118964589B侵权必究
粤ICP备2023148730 号-1Suppr @ 2026

文献检索

告别复杂PubMed语法,用中文像聊天一样搜索,搜遍4000万医学文献。AI智能推荐,让科研检索更轻松。

立即免费搜索

文件翻译

保留排版,准确专业,支持PDF/Word/PPT等文件格式,支持 12+语言互译。

免费翻译文档

深度研究

AI帮你快速写综述,25分钟生成高质量综述,智能提取关键信息,辅助科研写作。

立即免费体验

胃癌肺转移的风险分层:使用总生存列线图并与既往分期进行比较。

Risk stratification in gastric cancer lung metastasis: Utilizing an overall survival nomogram and comparing it with previous staging.

作者信息

Chen Zhi-Ren, Yang Mei-Fang, Xie Zhi-Yuan, Wang Pei-An, Zhang Liang, Huang Ze-Hua, Luo Yao

机构信息

Department of Science and Education, Xuzhou Medical University, Xuzhou Clinical College, Xuzhou 221000, Jiangsu Province, China.

Department of Neurology, Xuzhou Medical University, Xuzhou 221000, Jiangsu Province, China.

出版信息

World J Gastrointest Surg. 2024 Feb 27;16(2):357-381. doi: 10.4240/wjgs.v16.i2.357.

DOI:10.4240/wjgs.v16.i2.357
PMID:38463363
原文链接:https://pmc.ncbi.nlm.nih.gov/articles/PMC10921188/
Abstract

BACKGROUND

Gastric cancer (GC) is prevalent and aggressive, especially when patients have distant lung metastases, which often places patients into advanced stages. By identifying prognostic variables for lung metastasis in GC patients, it may be possible to construct a good prediction model for both overall survival (OS) and the cumulative incidence prediction (CIP) plot of the tumour.

AIM

To investigate the predictors of GC with lung metastasis (GCLM) to produce nomograms for OS and generate CIP by using cancer-specific survival (CSS) data.

METHODS

Data from January 2000 to December 2020 involving 1652 patients with GCLM were obtained from the Surveillance, epidemiology, and end results program database. The major observational endpoint was OS; hence, patients were separated into training and validation groups. Correlation analysis determined various connections. Univariate and multivariate Cox analyses validated the independent predictive factors. Nomogram distinction and calibration were performed with the time-dependent area under the curve (AUC) and calibration curves. To evaluate the accuracy and clinical usefulness of the nomograms, decision curve analysis (DCA) was performed. The clinical utility of the novel prognostic model was compared to that of the 7 edition of the American Joint Committee on Cancer (AJCC) staging system by utilizing Net Reclassification Improvement (NRI) and Integrated Discrimination Improvement (IDI). Finally, the OS prognostic model and Cox-AJCC risk stratification model modified for the AJCC system were compared.

RESULTS

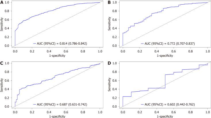
For the purpose of creating the OS nomogram, a CIP plot based on CSS was generated. Cox multivariate regression analysis identified eleven significant prognostic factors ( < 0.05) related to liver metastasis, bone metastasis, primary site, surgery, regional surgery, treatment sequence, chemotherapy, radiotherapy, positive lymph node count, N staging, and time from diagnosis to treatment. It was clear from the DCA (net benefit > 0), time-dependent ROC curve (training/validation set AUC > 0.7), and calibration curve (reliability slope closer to 45 degrees) results that the OS nomogram demonstrated a high level of predictive efficiency. The OS prediction model (New Model AUC = 0.83) also performed much better than the old Cox-AJCC model (AUC difference between the new model and the old model greater than 0) in terms of risk stratification ( < 0.0001) and verification using the IDI and NRI.

CONCLUSION

The OS nomogram for GCLM successfully predicts 1- and 3-year OS. Moreover, this approach can help to appropriately classify patients into high-risk and low-risk groups, thereby guiding treatment.

摘要

背景

胃癌(GC)普遍存在且具有侵袭性,尤其是当患者出现远处肺转移时,这通常会使患者进入晚期阶段。通过识别GC患者肺转移的预后变量,有可能构建一个良好的总生存期(OS)预测模型和肿瘤累积发病率预测(CIP)图。

目的

研究GC伴肺转移(GCLM)的预测因素,以制作OS列线图,并使用癌症特异性生存(CSS)数据生成CIP。

方法

从监测、流行病学和最终结果计划数据库中获取2000年1月至2020年12月期间涉及1652例GCLM患者的数据。主要观察终点为OS;因此,将患者分为训练组和验证组。相关性分析确定了各种关联。单因素和多因素Cox分析验证了独立预测因素。使用曲线下时间依赖性面积(AUC)和校准曲线进行列线图区分和校准。为了评估列线图的准确性和临床实用性,进行了决策曲线分析(DCA)。通过利用净重新分类改善(NRI)和综合判别改善(IDI),将新的预后模型的临床实用性与美国癌症联合委员会(AJCC)第7版分期系统的临床实用性进行了比较。最后,比较了OS预后模型和针对AJCC系统修改的Cox-AJCC风险分层模型。

结果

为了创建OS列线图,生成了基于CSS的CIP图。Cox多因素回归分析确定了11个与肝转移、骨转移、原发部位、手术、区域手术、治疗顺序、化疗、放疗、阳性淋巴结计数、N分期以及从诊断到治疗的时间相关的显著预后因素(<0.05)。从DCA(净效益>0)、时间依赖性ROC曲线(训练/验证集AUC>0.7)和校准曲线(可靠性斜率更接近45度)结果可以明显看出,OS列线图显示出高水平的预测效率。在风险分层(<0.0001)以及使用IDI和NRI进行验证方面,OS预测模型(新模型AUC = 0.83)也比旧的Cox-AJCC模型(新模型与旧模型之间的AUC差异大于0)表现得好得多。

结论

GCLM的OS列线图成功预测了1年和3年的OS。此外,这种方法有助于将患者适当地分为高风险和低风险组,从而指导治疗。

https://cdn.ncbi.nlm.nih.gov/pmc/blobs/775e/10921188/c1fd3934f099/WJGS-16-357-g010.jpg
https://cdn.ncbi.nlm.nih.gov/pmc/blobs/775e/10921188/543f3749882c/WJGS-16-357-g001.jpg
https://cdn.ncbi.nlm.nih.gov/pmc/blobs/775e/10921188/b237195e261b/WJGS-16-357-g002.jpg
https://cdn.ncbi.nlm.nih.gov/pmc/blobs/775e/10921188/877070ab204f/WJGS-16-357-g003.jpg
https://cdn.ncbi.nlm.nih.gov/pmc/blobs/775e/10921188/e341e33a90e9/WJGS-16-357-g004.jpg
https://cdn.ncbi.nlm.nih.gov/pmc/blobs/775e/10921188/811aef6c81d2/WJGS-16-357-g005.jpg
https://cdn.ncbi.nlm.nih.gov/pmc/blobs/775e/10921188/f93063bc5f3c/WJGS-16-357-g006.jpg
https://cdn.ncbi.nlm.nih.gov/pmc/blobs/775e/10921188/c0129df6dc49/WJGS-16-357-g007.jpg
https://cdn.ncbi.nlm.nih.gov/pmc/blobs/775e/10921188/e4258a15a68c/WJGS-16-357-g008.jpg
https://cdn.ncbi.nlm.nih.gov/pmc/blobs/775e/10921188/5cda56521f2b/WJGS-16-357-g009.jpg
https://cdn.ncbi.nlm.nih.gov/pmc/blobs/775e/10921188/c1fd3934f099/WJGS-16-357-g010.jpg
https://cdn.ncbi.nlm.nih.gov/pmc/blobs/775e/10921188/543f3749882c/WJGS-16-357-g001.jpg
https://cdn.ncbi.nlm.nih.gov/pmc/blobs/775e/10921188/b237195e261b/WJGS-16-357-g002.jpg
https://cdn.ncbi.nlm.nih.gov/pmc/blobs/775e/10921188/877070ab204f/WJGS-16-357-g003.jpg
https://cdn.ncbi.nlm.nih.gov/pmc/blobs/775e/10921188/e341e33a90e9/WJGS-16-357-g004.jpg
https://cdn.ncbi.nlm.nih.gov/pmc/blobs/775e/10921188/811aef6c81d2/WJGS-16-357-g005.jpg
https://cdn.ncbi.nlm.nih.gov/pmc/blobs/775e/10921188/f93063bc5f3c/WJGS-16-357-g006.jpg
https://cdn.ncbi.nlm.nih.gov/pmc/blobs/775e/10921188/c0129df6dc49/WJGS-16-357-g007.jpg
https://cdn.ncbi.nlm.nih.gov/pmc/blobs/775e/10921188/e4258a15a68c/WJGS-16-357-g008.jpg
https://cdn.ncbi.nlm.nih.gov/pmc/blobs/775e/10921188/5cda56521f2b/WJGS-16-357-g009.jpg
https://cdn.ncbi.nlm.nih.gov/pmc/blobs/775e/10921188/c1fd3934f099/WJGS-16-357-g010.jpg

相似文献

1
Risk stratification in gastric cancer lung metastasis: Utilizing an overall survival nomogram and comparing it with previous staging.胃癌肺转移的风险分层:使用总生存列线图并与既往分期进行比较。
World J Gastrointest Surg. 2024 Feb 27;16(2):357-381. doi: 10.4240/wjgs.v16.i2.357.
2
Development and validation of two nomograms for predicting overall survival and cancer-specific survival in gastric cancer patients with liver metastases: A retrospective cohort study from SEER database.用于预测胃癌肝转移患者总生存期和癌症特异性生存期的两种列线图的开发与验证:一项来自监测、流行病学和最终结果(SEER)数据库的回顾性队列研究
Transl Oncol. 2022 Oct;24:101480. doi: 10.1016/j.tranon.2022.101480. Epub 2022 Jul 19.
3
Development and validation of two nomograms for predicting overall survival and Cancer-specific survival in prostate cancer patients with bone metastases: a population-based study.开发和验证两种列线图,用于预测患有骨转移的前列腺癌患者的总生存和癌症特异性生存:一项基于人群的研究。
BMC Urol. 2023 Dec 5;23(1):200. doi: 10.1186/s12894-023-01372-w.
4
Prognostic nomograms for breast cancer with lung metastasis: a SEER-based population study.基于 SEER 的人群研究:肺转移乳腺癌的预后列线图。
BMC Womens Health. 2024 Jan 3;24(1):16. doi: 10.1186/s12905-023-02848-5.
5
Development and validation of prognostic nomogram based on log odds of positive lymph nodes for patients with gastric signet ring cell carcinoma.基于胃印戒细胞癌患者阳性淋巴结对数几率的预后列线图的开发与验证
Chin J Cancer Res. 2020 Dec 31;32(6):778-793. doi: 10.21147/j.issn.1000-9604.2020.06.11.
6
A prognostic nomogram for the cancer-specific survival of patients with upper-tract urothelial carcinoma based on the Surveillance, Epidemiology, and End Results Database.基于监测、流行病学和最终结果数据库的上尿路上皮癌患者癌症特异性生存的预后列线图。
BMC Cancer. 2020 Jun 8;20(1):534. doi: 10.1186/s12885-020-07019-5.
7
Nomograms for predicting overall survival and cancer-specific survival in elderly patients with epithelial ovarian cancer.预测老年上皮性卵巢癌患者总生存和癌症特异性生存的列线图。
J Ovarian Res. 2023 Apr 14;16(1):75. doi: 10.1186/s13048-023-01144-y.
8
Prediction of all-cause death and specific causes of death in patients with gastric cancer with liver metastasis: a Surveillance, Epidemiology, and End Results-based study.基于监测、流行病学和最终结果的研究:预测患有肝转移胃癌患者的全因死亡和特定死因。
J Gastrointest Surg. 2024 Jun;28(6):880-888. doi: 10.1016/j.gassur.2024.03.019. Epub 2024 Mar 18.
9
Development and evaluation of nomograms and risk stratification systems to predict the overall survival and cancer-specific survival of patients with hepatocellular carcinoma.开发和评估列线图和风险分层系统,以预测肝细胞癌患者的总生存率和癌症特异性生存率。
Clin Exp Med. 2024 Feb 28;24(1):44. doi: 10.1007/s10238-024-01296-1.
10
Two web-based dynamically interactive nomograms and risk stratification systems for predicting survival outcomes and guiding treatment in non-metastatic nasopharyngeal carcinoma.用于预测非转移性鼻咽癌生存结局并指导治疗的两个基于网络的动态交互式列线图和风险分层系统。
J Cancer Res Clin Oncol. 2023 Nov;149(17):15969-15987. doi: 10.1007/s00432-023-05363-0. Epub 2023 Sep 8.

引用本文的文献

1
Application and progress of nomograms in gastric cancer.列线图在胃癌中的应用与进展
Front Med (Lausanne). 2025 Jan 29;12:1510742. doi: 10.3389/fmed.2025.1510742. eCollection 2025.

本文引用的文献

1
A prognostic model based on the COL1A1-network in gastric cancer.一种基于胃癌中COL1A1网络的预后模型。
Am J Transl Res. 2023 Mar 15;15(3):1640-1653. eCollection 2023.
2
Validation of Predictive Analyses for Interim Decisions in Clinical Trials.预测分析在临床试验中的中期决策验证。
JCO Precis Oncol. 2023 Feb;7:e2200606. doi: 10.1200/PO.22.00606.
3
Gastric cancer-derived exosomes facilitate pulmonary metastasis by activating ERK-mediated immunosuppressive macrophage polarization.胃癌来源的外泌体通过激活 ERK 介导的免疫抑制性巨噬细胞极化促进肺转移。
J Cell Biochem. 2023 Apr;124(4):557-572. doi: 10.1002/jcb.30390. Epub 2023 Feb 26.
4
Overview of Chemotherapy for Gastric Cancer.胃癌化疗概述
J Clin Med. 2023 Feb 7;12(4):1336. doi: 10.3390/jcm12041336.
5
Current status and future perspective of linked color imaging for gastric cancer screening: a literature review.用于胃癌筛查的蓝激光成像技术的现状与展望:文献综述。
J Gastroenterol. 2023 Jan;58(1):1-13. doi: 10.1007/s00535-022-01934-z. Epub 2022 Oct 26.
6
Predictive biomarkers in gastric cancer.胃癌的预测生物标志物。
J Cancer Res Clin Oncol. 2023 Jan;149(1):467-481. doi: 10.1007/s00432-022-04408-0. Epub 2022 Oct 19.
7
Gastric Cancer: Emerging Trends in Prevention, Diagnosis, and Treatment.胃癌:预防、诊断和治疗的新趋势。
Gastroenterol Clin North Am. 2022 Sep;51(3):501-518. doi: 10.1016/j.gtc.2022.05.001.
8
Neoadjuvant chemoradiotherapy for resectable gastric cancer: A meta-analysis.可切除胃癌的新辅助放化疗:一项荟萃分析。
Front Oncol. 2022 Aug 5;12:927119. doi: 10.3389/fonc.2022.927119. eCollection 2022.
9
Development and validation of two nomograms for predicting overall survival and cancer-specific survival in gastric cancer patients with liver metastases: A retrospective cohort study from SEER database.用于预测胃癌肝转移患者总生存期和癌症特异性生存期的两种列线图的开发与验证:一项来自监测、流行病学和最终结果(SEER)数据库的回顾性队列研究
Transl Oncol. 2022 Oct;24:101480. doi: 10.1016/j.tranon.2022.101480. Epub 2022 Jul 19.
10
Clinicopathologic Characteristics of Young Gastric Cancer Patients: Diagnostic Staging Accuracy and Survival.青年胃癌患者的临床病理特征:诊断分期准确性与生存率
J Minim Invasive Surg. 2020 Dec 15;23(4):163-171. doi: 10.7602/jmis.2020.23.4.163.