Suppr超能文献

设计、合成及评价具有抗氧化、抗炎和降血脂作用的抗氧化剂和 NSAID 衍生物。

Design, Synthesis and Evaluation of Antioxidant and NSAID Derivatives with Antioxidant, Anti-Inflammatory and Plasma Lipid Lowering Effects.

机构信息

Department of Pharmacy, School of Health Sciences, Frederick University, Nicosia 1036, Cyprus.

Department of Pharmaceutical Chemistry, Faculty of Pharmacy, "Iuliu Hațieganu" University of Medicine and Pharmacy, 41 Victor Babeș Street, RO-400010 Cluj-Napoca, Romania.

出版信息

Molecules. 2024 Feb 26;29(5):1016. doi: 10.3390/molecules29051016.

Abstract

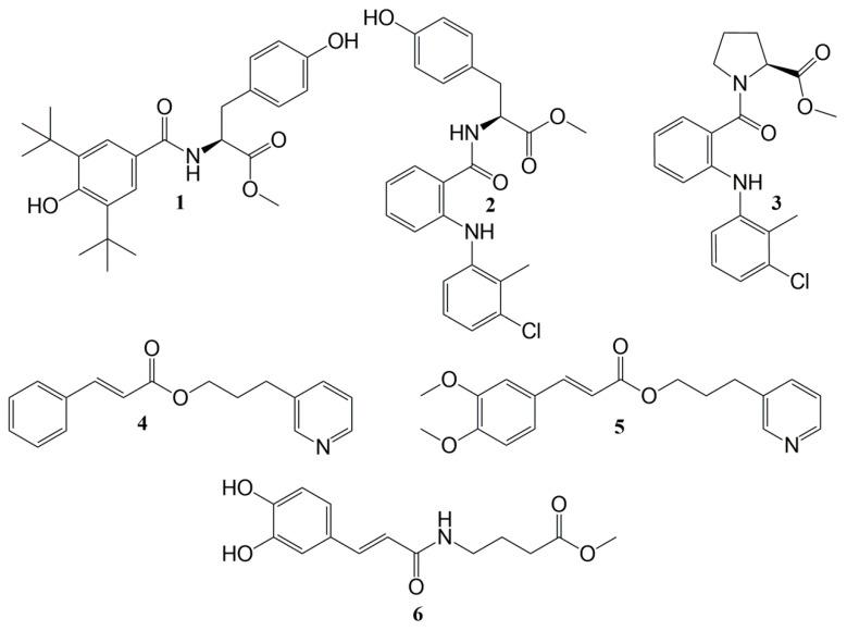
Amides containing methyl esters of γ-aminobutyric acid (GABA), L-proline and L-tyrosine, and esters containing 3-(pyridin-3-yl)propan-1-ol were synthesized by conjugation with 3,5-di--butyl-4-hydroxybenzoic, an NSAID (tolfenamic acid), or 3-phenylacrylic (cinnamic, ()-3-(3,4-dimethoxyphenyl)acrylic and caffeic) acids. The rationale for the conjugation of such moieties was based on the design of structures with two or more molecular characteristics. The novel compounds were tested for their antioxidant, anti-inflammatory and hypolipidemic properties. Several compounds were potent antioxidants, comparable to the well-known antioxidant, Trolox. In addition, the radical scavenging activity of compound reached levels that were slightly better than that of Trolox. All the tested compounds demonstrated remarkable activity in the reduction in carrageenan-induced rat paw edema, up to 59% (compound , a dual antioxidant and anti-inflammatory molecule, with almost 2.5-times higher activity in this experiment than the parent NSAID). Additionally, the compounds caused a significant decrease in the plasma lipidemic indices in Triton-induced hyperlipidemic rats. Compound decreased total cholesterol by 75.1% and compound decreased triglycerides by 79.3% at 150 μmol/kg (i.p.). The hypocholesterolemic effect of the compounds was comparable to that of simvastatin, a well-known hypocholesterolemic drug. Additionally, all compounds lowered blood triglycerides. The synthesized compounds with multiple activities, as designed, may be useful as potential candidates for conditions involving inflammation, lipidemic deregulation and oxygen toxicity.

摘要

合成了含有 γ-氨基丁酸(GABA)、L-脯氨酸和 L-酪氨酸甲酯的酰胺,以及含有 3-(吡啶-3-基)-1-丙醇的酯,这些化合物与非甾体抗炎药(托芬那酸)或 3,5-二--丁基-4-羟基苯甲酸、3-苯基丙烯(肉桂酸、()-3-(3,4-二甲氧基苯基)丙烯酸和咖啡酸)进行了共轭。这种结构的设计基于具有两种或更多分子特征的结构的设计。测试了这些新化合物的抗氧化、抗炎和降血脂特性。几种化合物具有很强的抗氧化活性,与著名的抗氧化剂 Trolox 相当。此外,化合物 的自由基清除活性达到了略高于 Trolox 的水平。所有测试的化合物都在角叉菜胶诱导的大鼠爪肿胀中表现出显著的抗炎活性,最高可达 59%(双抗氧化和抗炎分子 ,在该实验中的活性比母体 NSAID 高 2.5 倍)。此外,这些化合物还能显著降低 Triton 诱导的高脂血症大鼠的血浆血脂指数。化合物 可使总胆固醇降低 75.1%,化合物 可使甘油三酯降低 79.3%,剂量为 150μmol/kg(ip)。这些化合物的降胆固醇作用与著名的降胆固醇药物辛伐他汀相当。此外,所有化合物都能降低血液中的甘油三酯。这些具有多种活性的合成化合物,如设计的那样,可能作为涉及炎症、血脂失调和氧毒性的条件的潜在候选药物有用。

https://cdn.ncbi.nlm.nih.gov/pmc/blobs/ba22/10934234/9750208bc456/molecules-29-01016-g002.jpg

文献检索

告别复杂PubMed语法,用中文像聊天一样搜索,搜遍4000万医学文献。AI智能推荐,让科研检索更轻松。

立即免费搜索

文件翻译

保留排版,准确专业,支持PDF/Word/PPT等文件格式,支持 12+语言互译。

免费翻译文档

深度研究

AI帮你快速写综述,25分钟生成高质量综述,智能提取关键信息,辅助科研写作。

立即免费体验