Suppr超能文献

具有抗氧化、抗炎和降血脂功能的阿魏酸、芥子酸、3,4-二甲氧基肉桂酸和吲哚美辛衍生物。

Ferulic, Sinapic, 3,4-Dimethoxycinnamic Acid and Indomethacin Derivatives with Antioxidant, Anti-Inflammatory and Hypolipidemic Functionality.

作者信息

Theodosis-Nobelos Panagiotis, Papagiouvannis Georgios, Rekka Eleni A

机构信息

Department of Pharmacy, School of Health Sciences, Frederick University, Nicosia 1036, Cyprus.

Laboratory of Pharmaceutical Chemistry, School of Pharmacy, Aristotelian University of Thessaloniki, 54124 Thessaloniki, Greece.

出版信息

Antioxidants (Basel). 2023 Jul 17;12(7):1436. doi: 10.3390/antiox12071436.

Abstract

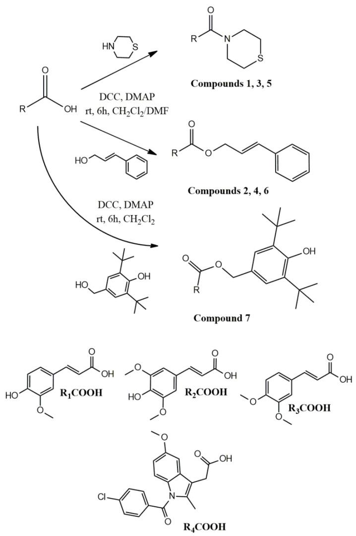
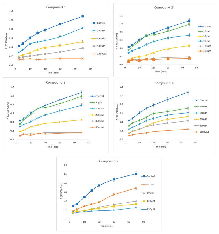
A series of thiomorpholine and cinnamyl alcohol derivatives, conjugated with cinnamic acid-containing moieties, such as ferulic acid, sinapic acid and 3,4-dimethoxycinnamic acid, were synthesized and tested for their antioxidant, anti-inflammatory and hypolipidemic properties. An indomethacin ester with 2,6-di--butyl-4-(hydroxymethyl)phenol was also prepared for reasons of comparison. The majority of the compounds demonstrated considerable antioxidant capacity and radical scavenging activity, reaching up to levels similar to the well-known antioxidant trolox. Some of them had an increased anti-inflammatory effect on the reduction of carrageenan-induced rat paw edema (range 17-72% at 150 μmol/kg), having comparable activity to the NSAIDs (non-steroidal anti-inflammatory drugs) used as reference. They had moderate activity in soybean lipoxygenase inhibition. All the tested compounds exhibited a significant decrease in lipidemic indices in Triton-induced hyperlipidemia in rats, whilst the most active triglycerides and total cholesterol decreased by 72.5% and 76%, respectively, at 150 μmol/kg (i.p.), slightly better than that of simvastatin, a well-known hypocholesterolemic drug, but with negligible triglyceride-lowering effect. Since our designed compounds seem to exhibit multiple pharmacological activities, they may be of use in occasions involving inflammation, oxidative stress, lipidemic deregulation and degenerative conditions.

摘要

合成了一系列与含阿魏酸、芥子酸和3,4-二甲氧基肉桂酸等含肉桂酸部分共轭的硫代吗啉和肉桂醇衍生物,并对其抗氧化、抗炎和降血脂特性进行了测试。出于比较的原因,还制备了一种含2,6-二叔丁基-4-(羟甲基)苯酚的吲哚美辛酯。大多数化合物表现出相当的抗氧化能力和自由基清除活性,达到了与著名抗氧化剂曲洛昔分相似的水平。其中一些化合物对角叉菜胶诱导的大鼠足肿胀的减轻具有增强的抗炎作用(在150 μmol/kg时为17%-72%),其活性与用作对照的非甾体抗炎药相当。它们在抑制大豆脂氧合酶方面具有中等活性。所有测试化合物在 Triton 诱导的大鼠高脂血症中均使血脂指数显著降低,而在150 μmol/kg(腹腔注射)时,活性最强的甘油三酯和总胆固醇分别降低了72.5%和76%,略优于著名的降胆固醇药物辛伐他汀,但甘油三酯降低效果可忽略不计。由于我们设计的化合物似乎具有多种药理活性,它们可能适用于涉及炎症、氧化应激、血脂失调和退行性疾病的情况。

https://cdn.ncbi.nlm.nih.gov/pmc/blobs/60c7/10375978/5cf0cdc7d26c/antioxidants-12-01436-g001.jpg

文献检索

告别复杂PubMed语法,用中文像聊天一样搜索,搜遍4000万医学文献。AI智能推荐,让科研检索更轻松。

立即免费搜索

文件翻译

保留排版,准确专业,支持PDF/Word/PPT等文件格式,支持 12+语言互译。

免费翻译文档

深度研究

AI帮你快速写综述,25分钟生成高质量综述,智能提取关键信息,辅助科研写作。

立即免费体验