Suppr超能文献

纤维素-胺多孔材料:活化方法对结构、织构性质、CO捕集及可回收性的影响

Cellulose-Amine Porous Materials: The Effect of Activation Method on Structure, Textural Properties, CO Capture, and Recyclability.

作者信息

Krupšová Sarah, Almáši Miroslav

机构信息

Novy PORG Gymnasium, Pod Krcskym lesem 25, CZ-142 00 Prague, Czech Republic.

Department of Inorganic Chemistry, Faculty of Science, Pavol Jozef Safarik University, Moyzesova 11, SK-040 01 Kosice, Slovakia.

出版信息

Molecules. 2024 Mar 5;29(5):1158. doi: 10.3390/molecules29051158.

Abstract

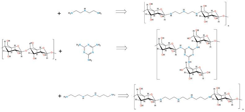
CO capture via physical adsorption on activated porous carbons represents a promising solution towards effective carbon emission mitigation. Additionally, production costs can be further decreased by utilising biomass as the main precursor and applying energy-efficient activation. In this work, we developed novel cellulose-based activated carbons modified with amines (diethylenetriamine (DETA), 1,2-bis(3-aminopropylamino)ethane (BAPE), and melamine (MELA)) with different numbers of nitrogen atoms as in situ -doping precursors. We investigated the effect of hydrothermal and thermal activation on the development of their physicochemical properties, which significantly influence the resulting CO adsorption capacity. This process entailed an initial hydrothermal activation of biomass precursor and amines at 240 °C, resulting in , and materials. Thermal samples (, , and ) were synthesised from hydrothermal materials by subsequent KOH chemical activation and pyrolysis in an inert argon atmosphere. Their chemical and structural properties were characterised using elemental analysis (CHN), infrared spectroscopy (IR), scanning electron microscopy (SEM), and thermogravimetric analysis (TG). The calculated specific surface areas () for thermal products showed higher values (998 m g for , 1076 m g for , and 1348 m g for ) compared to the hydrothermal products (769 m g for , 833 m g for , and 1079 m g for ). Carbon dioxide adsorption as measured by volumetric and gravimetric methods at 0 and 25 °C, respectively, showed the opposite trend, which can be attributed to the reduced content of primary adsorption sites in the form of amine groups in thermal products. N and CO adsorption measurements were carried out on hydrothermal () and pyrolysed cellulose (), which showed a several-fold reduction in adsorption properties compared to amine-modified materials. The recyclability of , which showed the highest CO adsorption capacity (7.34 mmol g), was studied using argon purging and thermal regeneration over five adsorption/desorption cycles.

摘要

通过物理吸附在活性多孔碳上捕获一氧化碳是有效减少碳排放的一种很有前景的解决方案。此外,通过利用生物质作为主要前驱体并采用节能活化方法,可以进一步降低生产成本。在这项工作中,我们开发了用不同氮原子数的胺(二乙烯三胺(DETA)、1,2-双(3-氨基丙基氨基)乙烷(BAPE)和三聚氰胺(MELA))改性的新型纤维素基活性炭,作为原位掺杂前驱体。我们研究了水热活化和热活化对其物理化学性质发展的影响,这些性质对最终的一氧化碳吸附容量有显著影响。这个过程包括在240℃对生物质前驱体和胺进行初始水热活化,得到 、 和 材料。热样品( 、 和 )是通过随后在惰性氩气气氛中进行氢氧化钾化学活化和热解,由水热材料合成的。使用元素分析(CHN)、红外光谱(IR)、扫描电子显微镜(SEM)和热重分析(TG)对它们的化学和结构性质进行了表征。热产物的计算比表面积( )显示出比水热产物更高的值( 为998 m²/g, 为1076 m²/g, 为1348 m²/g,而水热产物 为769 m²/g, 为833 m²/g, 为1079 m²/g)。分别在0℃和25℃下通过容量法和重量法测量的二氧化碳吸附显示出相反的趋势,这可归因于热产物中胺基形式的主要吸附位点含量降低。对水热( )和热解纤维素( )进行了氮和一氧化碳吸附测量,结果表明与胺改性材料相比,吸附性能降低了几倍。对具有最高一氧化碳吸附容量(7.34 mmol/g)的 进行了可回收性研究,采用氩气吹扫和热再生,进行了五个吸附/解吸循环。

https://cdn.ncbi.nlm.nih.gov/pmc/blobs/1673/10934251/f304d1c002af/molecules-29-01158-g001.jpg

文献AI研究员

20分钟写一篇综述,助力文献阅读效率提升50倍。

立即体验

用中文搜PubMed

大模型驱动的PubMed中文搜索引擎

马上搜索

文档翻译

学术文献翻译模型,支持多种主流文档格式。

立即体验