Suppr超能文献

网络分析中国老年高血压患者抑郁和焦虑症状及其与生活满意度的关系:一项横断面研究。

Network analysis of depression and anxiety symptoms and their associations with life satisfaction among Chinese hypertensive older adults: a cross-sectional study.

机构信息

Department of Epidemiology and Health Statistics, School of Public Health, Southeast University, Nanjing, Jiangsu, China.

出版信息

Front Public Health. 2024 Mar 18;12:1370359. doi: 10.3389/fpubh.2024.1370359. eCollection 2024.

Abstract

BACKGROUND

Hypertension is one of the most prevalent chronic diseases among the older adult population in China and older adults with hypertension are more susceptible to mental health problems. This study aimed to explore the network structure of depression and anxiety, and their association with life satisfaction (LS) in older adults with hypertension.

METHODS

A total of 4,993 hypertensive individuals aged 60 and above were selected from the Chinese Longitudinal Healthy Longevity Survey (CLHLS 2017-2018). The design of the CLHLS study was approved by the Campus Institutional Review Board of Duke University (Pro00062871) and the Biomedical Ethics Committee of Peking University (IRB00001052-13,074). The Center for Epidemiologic Studies Depression Scale-10 (CESD-10) and the Generalized Anxiety Disorder Scale-7 (GAD-7) were used to assess depressive and anxiety symptoms. Central and bridge symptoms were identified via "Expected Influence" and "Bridge Expected Influence", respectively. Network stability was assessed using the case-dropping bootstrap technique.

RESULTS

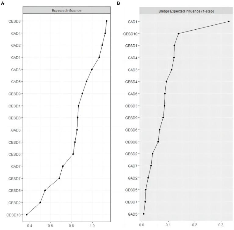
Network analysis identified CESD3 (Feeling blue/depressed), GAD4 (Trouble relaxing), and GAD2 (Uncontrollable worry) as the most influential central symptoms in the network of depression and anxiety. Concurrently, GAD1 (Nervousness or anxiety), CESD10 (Sleep disturbances), and CESD1 (Feeling bothered) stand as critical bridge symptoms between depression and anxiety disorders. Moreover, CESD7 (Lack of happiness) exhibited the strongest negative correlation with LS in Chinese hypertensive older adults.

CONCLUSION

This exploratory study represents the first investigation to examine the mutual relationship between depressive and anxiety symptoms among Chinese hypertensive older adults. Interventions addressing targeting bridge symptoms have the potential to alleviate depressive and anxiety symptoms. Furthermore, improving happiness, hope, and sleep quality in this population may mitigate the adverse effects of depression and anxiety on LS.

摘要

背景

高血压是中国老年人群中最常见的慢性病之一,高血压老年人更容易出现心理健康问题。本研究旨在探讨高血压老年人抑郁和焦虑的网络结构及其与生活满意度(LS)的关系。

方法

本研究共纳入了来自中国长寿纵向研究(CLHLS 2017-2018)的 4993 名 60 岁及以上的高血压患者。CLHLS 研究的设计得到了杜克大学校园机构审查委员会(Pro00062871)和北京大学生物医学伦理委员会(IRB00001052-13,074)的批准。使用中心性抑郁量表-10 项(CESD-10)和广泛性焦虑症量表-7 项(GAD-7)评估抑郁和焦虑症状。分别使用“期望影响”和“桥梁期望影响”来识别中心和桥梁症状。使用病例剔除bootstrap 技术评估网络稳定性。

结果

网络分析确定 CESD3(感觉忧郁/抑郁)、GAD4(难以放松)和 GAD2(无法控制的担忧)为抑郁和焦虑网络中的最具影响力的中心症状。同时,GAD1(紧张或焦虑)、CESD10(睡眠障碍)和 CESD1(感到烦恼)是抑郁和焦虑障碍之间的关键桥梁症状。此外,CESD7(缺乏幸福感)与中国高血压老年人群的 LS 呈最强的负相关。

结论

本探索性研究首次考察了中国高血压老年人群中抑郁和焦虑症状之间的相互关系。针对桥梁症状的干预措施有可能减轻抑郁和焦虑症状。此外,提高该人群的幸福感、希望感和睡眠质量可能会减轻抑郁和焦虑对 LS 的不利影响。

https://cdn.ncbi.nlm.nih.gov/pmc/blobs/aff1/10983850/e4330d05f049/fpubh-12-1370359-g001.jpg

文献AI研究员

20分钟写一篇综述,助力文献阅读效率提升50倍。

立即体验

用中文搜PubMed

大模型驱动的PubMed中文搜索引擎

马上搜索

文档翻译

学术文献翻译模型,支持多种主流文档格式。

立即体验