Suppr超能文献

优化红薯生产:深入了解植物卫生、病毒影响以及烹饪技术之间的相互作用,以提高作物品质和粮食安全。

Optimizing sweet potato production: insights into the interplay of plant sanitation, virus influence, and cooking techniques for enhanced crop quality and food security.

作者信息

Villalba Anna, Martínez-Ispizua Eva, Morard Miguel, Crespo-Sempere Ana, Albiach-Marti María R, Calatayud Angeles, Penella Consuelo

机构信息

ValGenetics S.L., Parc Científic Universitat de València, CUE-3, Paterna, Valencia, Spain.

Departamento de Horticultura, Centro de Citricultura y Producción Vegetal, Instituto Valenciano de Investigaciones Agrarias, Moncada, Valencia, Spain.

出版信息

Front Plant Sci. 2024 Mar 18;15:1357611. doi: 10.3389/fpls.2024.1357611. eCollection 2024.

Abstract

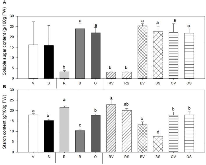
This study investigates the impact of sweet potato plant sanitation on the yield and external and internal quality root storage exploring the nutritional content affected by various cooking methods (raw, boiled, and oven-cooked). The presence of viruses, and concretely of the sweet potato leaf curl virus (SPLCV), in sweet potato propagation material is shown to significantly reduce yield and modify storage root quality. Notably, the research reveals a substantial improvement in crop yield and external quality, reinforcing the efficacy of plant sanitation methods, specifically apical meristem culture, in preserving the overall productivity of sweet potato crops. Furthermore, the investigation identifies a noteworthy decrease in starch content, suggesting a dynamic interaction between plant sanitation and starch metabolism in response to viral diseases. The study also delves into the alteration of mineral absorption patterns, shedding light on how plant sanitation influences the uptake of essential minerals in sweet potato storage roots. While the health status of the plants only slightly affected magnesium (Mg) and manganese (Mn) accumulation, indicating a potential resilience of mineral balance under virus-infected conditions. Moreover, the research identifies significant modifications in antioxidant levels, emphasizing the role of plant sanitation in enhancing the nutritional quality of sweet potatoes. Heat-treated storage roots, subjected to various cooking methods such as boiling and oven-cooking, exhibit notable differences in internal quality parameters. These differences include increased concentrations of total soluble solids (SS) and heightened levels of antioxidant compounds, particularly phenolic and flavonoid compounds. The observed increase in antioxidant capacity underscores the potential health-promoting benefits associated with plant sanitation practices. Overall, the study underscores the critical importance of plant sanitation in enhancing sweet potato production sustainability, contributing to food security, and supporting local agricultural economies. The results emphasize the need for further research to optimize plant sanitation methods and promote their widespread adoption globally, providing valuable insights into the complex relationships in food quality.

摘要

本研究通过探索不同烹饪方法(生、煮、烤)对营养成分的影响,调查甘薯植株卫生处理对产量以及贮藏根的外部和内部品质的影响。结果表明,甘薯繁殖材料中存在病毒,尤其是甘薯卷叶病毒(SPLCV),会显著降低产量并改变贮藏根的品质。值得注意的是,该研究揭示了作物产量和外部品质有显著提高,这强化了植株卫生处理方法(特别是茎尖分生组织培养)在保持甘薯作物整体生产力方面的功效。此外,调查发现淀粉含量显著降低,这表明植株卫生处理与淀粉代谢在应对病毒病时存在动态相互作用。该研究还深入探讨了矿物质吸收模式的变化,揭示了植株卫生处理如何影响甘薯贮藏根中必需矿物质的吸收。虽然植株健康状况仅对镁(Mg)和锰(Mn)的积累有轻微影响,这表明在病毒感染条件下矿物质平衡具有潜在的恢复能力。此外,该研究还发现抗氧化剂水平有显著变化,强调了植株卫生处理在提高甘薯营养品质方面的作用。经过热处理的贮藏根,采用煮和烤等不同烹饪方法后,内部品质参数呈现出显著差异。这些差异包括总可溶性固形物(SS)浓度增加以及抗氧化化合物水平升高,特别是酚类和黄酮类化合物。观察到的抗氧化能力增强突出了与植株卫生处理措施相关的潜在健康促进益处。总体而言,该研究强调了植株卫生处理在提高甘薯生产可持续性、保障粮食安全和支持地方农业经济方面的至关重要性。研究结果强调需要进一步研究以优化植株卫生处理方法并促进其在全球范围内的广泛采用,为食品质量的复杂关系提供了有价值的见解。

https://cdn.ncbi.nlm.nih.gov/pmc/blobs/ba88/10983796/f0abf7cc230a/fpls-15-1357611-g001.jpg

文献AI研究员

20分钟写一篇综述,助力文献阅读效率提升50倍。

立即体验

用中文搜PubMed

大模型驱动的PubMed中文搜索引擎

马上搜索

文档翻译

学术文献翻译模型,支持多种主流文档格式。

立即体验