Suppr超能文献

基于串联质量标签的正常和退变人椎间盘蛋白质组学分析

Tandem Mass Tag-Based Proteomic Analysis of Normal and Degenerated Human Intervertebral Discs.

作者信息

Fu Yang, Huang Xiao-Qin, Qu Hang-Bo, Ge Yan Zhi, Ru Xuan-Liang

机构信息

Department of Orthopedics, Zhejiang Hospital, Hangzhou, Zhejiang Province, People's Republic of China.

出版信息

J Pain Res. 2024 Mar 27;17:1313-1326. doi: 10.2147/JPR.S449044. eCollection 2024.

Abstract

BACKGROUND

Intervertebral disc degeneration (IVDD) is the main cause of low back pain (LBP), but the specific regulatory factors, pathways and specific molecular mechanisms remain unclear.

METHODS

We identified and quantitatively analyzed Pfirrmann Grade II (n=3) and Pfirrmann Grade IV (n=3) pulposus samples via MRI. The differential abundance of proteins in the samples was determined and quantitatively analyzed by relative and absolute quantitative analysis of the isotope marker levels combined with the liquid chromatography-tandem mass spectrometry (LC‒MSMS/MS).

RESULTS

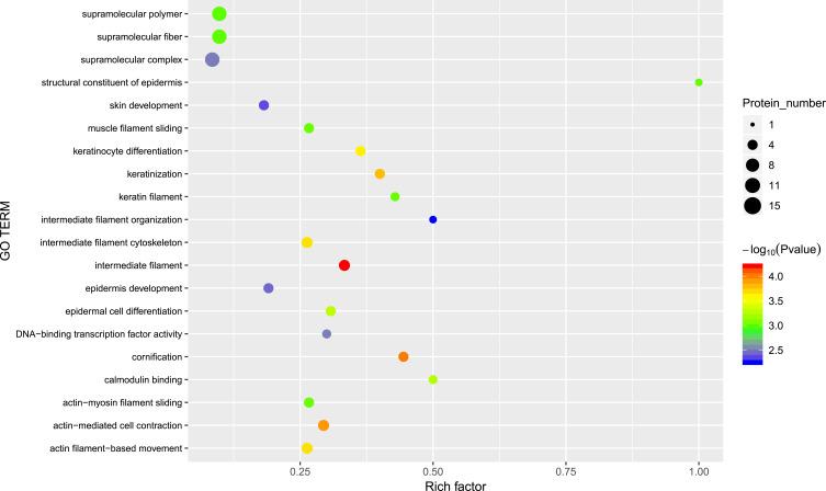
A total of 70 proteins (30 significantly increased proteins (> 1.2-fold change) and 40 significantly decreased proteins (< 0.8-fold change)) showed different levels among the groups. Kyoto Encyclopedia of Genes and Genomes and Gene Ontology (GO) enrichment analyses and Western blot analysis showed that CYCS, RAC1, and PSMD14 may play important roles in IVDD and that Epstein‒Barr virus infection, viral myocarditis, colorectal cancer, nonalcoholic fatty liver disease (NAFLD) and amyotrophic lateral sclerosis (ALS) are the main pathways involved in IVDD.

CONCLUSION

CYCS, RAC1 and PSMD14 may play important roles in IVDD, and Epstein‒Barr virus infection, viral myocarditis, colorectal cancer, NAFLD and ALS may be the main pathways involved in IVDD.

摘要

背景

椎间盘退变(IVDD)是腰痛(LBP)的主要原因,但具体的调控因子、信号通路及特定分子机制仍不清楚。

方法

我们通过磁共振成像(MRI)鉴定并定量分析了Pfirrmann II级(n = 3)和Pfirrmann IV级(n = 3)的髓核样本。结合液相色谱-串联质谱(LC‒MSMS/MS),通过同位素标记水平的相对和绝对定量分析来确定并定量分析样本中蛋白质的差异丰度。

结果

共有70种蛋白质(30种显著增加的蛋白质(变化> 1.2倍)和40种显著减少的蛋白质(变化< 0.8倍))在各组间表现出不同水平。京都基因与基因组百科全书(KEGG)和基因本体论(GO)富集分析以及蛋白质免疫印迹分析表明,CYCS、RAC1和PSMD14可能在IVDD中起重要作用,且爱泼斯坦-巴尔病毒感染、病毒性心肌炎、结直肠癌、非酒精性脂肪性肝病(NAFLD)和肌萎缩侧索硬化症(ALS)是IVDD涉及的主要信号通路。

结论

CYCS、RAC1和PSMD14可能在IVDD中起重要作用,且爱泼斯坦-巴尔病毒感染、病毒性心肌炎、结直肠癌、NAFLD和ALS可能是IVDD涉及的主要信号通路。

https://cdn.ncbi.nlm.nih.gov/pmc/blobs/6acd/10982071/8cb4b70b5cca/JPR-17-1313-g0001.jpg

文献AI研究员

20分钟写一篇综述,助力文献阅读效率提升50倍。

立即体验

用中文搜PubMed

大模型驱动的PubMed中文搜索引擎

马上搜索

文档翻译

学术文献翻译模型,支持多种主流文档格式。

立即体验