Zhu Xin-Yi, Meng Xing-Chen, Cheng Bei-Jing, Wang Chun, Wang Jia, Li Tian-Lin, Li Hui, Meng Ke, Liu Ran
The Affiliated Zhongda Hospital, Medical School of Southeast University, Nanjing, Jiangsu 210009, China.
Key Laboratory of Environmental Medicine Engineering, Ministry of Education, School of Public Health, Southeast University, Nanjing, Jiangsu 210009, China.
Int J Endocrinol. 2024 Mar 27;2024:3950894. doi: 10.1155/2024/3950894. eCollection 2024.
To explore associations of combined exposure to metabolic/inflammatory indicators with thyroid nodules.
We reviewed personal data for health screenings from 2020 to 2021. A propensity score matching method was used to match 931 adults recently diagnosed with thyroid nodules in a 1 : 4 ratio based on age and gender. Conditional logistic regression and Bayesian kernel machine regression (BKMR) were used to explore the associations of single metabolic/inflammatory indicators and the mixture with thyroid nodules, respectively.
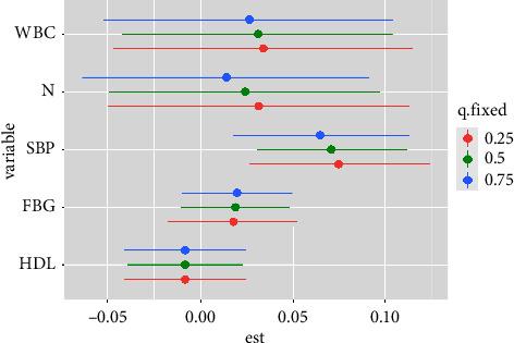
In the adjusted models, five indicators (OR: 1.30, 95% CI: 1.07-1.58 for fasting blood glucose; OR: 1.30, 95% CI: 1.08-1.57 for systolic blood pressure; OR: 1.26, 95% CI: 1.04-1.53 for diastolic blood pressure; OR: 1.23, 95% CI: 1.02-1.48 for white blood cell; OR: 1.28, 95% CI: 1.07-1.55 for neutrophil) were positively associated with the risk of thyroid nodules, while high-density lipoproteins (OR: 0.75, 95% CI: 0.61-0.91) were negatively associated with the risk of thyroid nodules. Univariate exposure-response functions from BKMR models showed similar results. Moreover, the metabolic and inflammatory mixture exhibited a significant positive association with thyroid nodules in a dose-response pattern, with systolic blood pressure being the greatest contributor within the mixture (conditional posterior inclusion probability of 0.82). No interaction effects were found among the five indicators. These associations were more prominent in males, participants with higher age (≥40 years old), and individuals with abnormal body mass index status.
Levels of the metabolic and inflammatory mixture have a linear dose-response relationship with the risk of developing thyroid nodules, with systolic blood pressure levels being the most important contributor.
探讨代谢/炎症指标联合暴露与甲状腺结节的关联。
我们回顾了2020年至2021年健康筛查的个人数据。采用倾向得分匹配法,根据年龄和性别以1∶4的比例匹配931名近期被诊断为甲状腺结节的成年人。分别使用条件逻辑回归和贝叶斯核机器回归(BKMR)来探讨单一代谢/炎症指标及混合指标与甲状腺结节的关联。
在调整模型中,五项指标(空腹血糖:比值比[OR]为1.30,95%置信区间[CI]为1.07 - 1.58;收缩压:OR为1.30,95% CI为1.08 - 1.57;舒张压:OR为1.26,95% CI为1.04 - 1.53;白细胞:OR为1.23,95% CI为1.02 - 1.48;中性粒细胞:OR为1.28,95% CI为1.07 - 1.55)与甲状腺结节风险呈正相关,而高密度脂蛋白(OR为0.75,95% CI为0.61 - 0.91)与甲状腺结节风险呈负相关。BKMR模型的单变量暴露 - 反应函数显示了类似结果。此外,代谢和炎症混合指标与甲状腺结节呈剂量反应模式的显著正相关,收缩压是混合指标中贡献最大的因素(条件后验包含概率为0.82)。五项指标之间未发现交互作用。这些关联在男性、年龄较大(≥40岁)的参与者以及体重指数状态异常的个体中更为突出。
代谢和炎症混合指标水平与甲状腺结节发生风险呈线性剂量反应关系,收缩压水平是最重要的影响因素。