• 文献检索
  • 文档翻译
  • 深度研究
  • 学术资讯
  • Suppr Zotero 插件Zotero 插件
  • 邀请有礼
  • 套餐&价格
  • 历史记录
应用&插件
Suppr Zotero 插件Zotero 插件浏览器插件Mac 客户端Windows 客户端微信小程序
定价
高级版会员购买积分包购买API积分包
服务
文献检索文档翻译深度研究API 文档MCP 服务
关于我们
关于 Suppr公司介绍联系我们用户协议隐私条款
关注我们

Suppr 超能文献

核心技术专利:CN118964589B侵权必究
粤ICP备2023148730 号-1Suppr @ 2026

文献检索

告别复杂PubMed语法,用中文像聊天一样搜索,搜遍4000万医学文献。AI智能推荐,让科研检索更轻松。

立即免费搜索

文件翻译

保留排版,准确专业,支持PDF/Word/PPT等文件格式,支持 12+语言互译。

免费翻译文档

深度研究

AI帮你快速写综述,25分钟生成高质量综述,智能提取关键信息,辅助科研写作。

立即免费体验

免疫介导的炎症性疾病患者的母婴结局,并考虑合并症:美国大型医疗保健系统中的一项回顾性队列研究

Maternal-fetal outcomes in patients with immune-mediated inflammatory diseases, with consideration of comorbidities: a retrospective cohort study in a large U.S. healthcare system.

作者信息

Hwang Yeon Mi, Wei Qi, Piekos Samantha N, Vemuri Bhargav, Molani Sevda, Mease Philip, Hood Leroy, Hadlock Jennifer

机构信息

Institute for Systems Biology, Seattle, WA, USA.

University of Washington, Seattle, WA, USA.

出版信息

EClinicalMedicine. 2024 Feb 1;68:102435. doi: 10.1016/j.eclinm.2024.102435. eCollection 2024 Feb.

DOI:10.1016/j.eclinm.2024.102435
PMID:38586478
原文链接:https://pmc.ncbi.nlm.nih.gov/articles/PMC10994966/
Abstract

BACKGROUND

Immune-mediated inflammatory diseases (IMIDs) are likely to complicate maternal health. However, literature on patients with IMIDs undergoing pregnancy is scarce and often overlooks the presence of comorbidities. We aimed to evaluate the impact of IMIDs on adverse pregnancy outcomes after assessing and addressing any discrepancies in the distribution of covariates associated with adverse pregnancy outcomes between patients with and without IMIDs.

METHODS

We conducted a retrospective cohort study using data from an integrated U.S. community healthcare system that provides care across Alaska, California, Montana, Oregon, New Mexico, Texas, and Washington. We used a database containing all structured data from electronic health record (EHRs) and analyzed the cohort of pregnant people who had live births from January 1, 2013, through December 31, 2022. We investigated 12 selected IMIDs: psoriasis, inflammatory bowel disease, rheumatoid arthritis, spondyloarthritis, multiple sclerosis, systemic lupus erythematosus, psoriatic arthritis, antiphospholipid syndrome, Sjögren's syndrome, vasculitides, sarcoidosis, and systemic sclerosis. We characterized patients with IMIDs prior to pregnancy (IMIDs group) based on pregnancy/maternal characteristics, comorbidities, and pre-pregnancy/prenatal immunomodulatory medications (IMMs) prescription patterns. We 1:1 propensity score matched the IMIDs cohort with people who had no IMID diagnoses prior to pregnancy (non-IMIDs cohort). Outcome measures were preterm birth (PTB), low birth weight (LBW), small for gestational age (SGA), and caesarean section.

FINDINGS

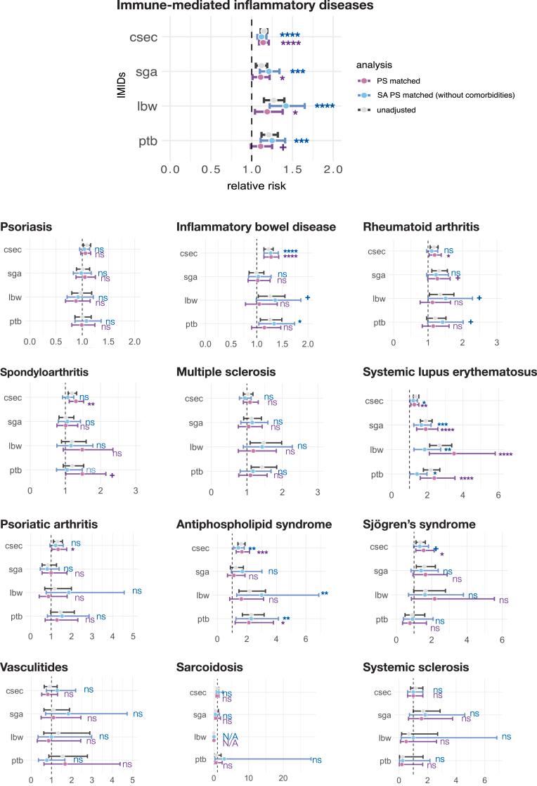
Our analytic cohort had 365,075 people, of which 5784 were in the IMIDs group and 359,291 were in the non-IMIDs group. The prevalence rate of pregnancy of at least 20 weeks duration in people with a previous IMID diagnosis has doubled in the past ten years. 17% of the IMIDs group had at least one prenatal IMM prescription. Depending on the type of IMM, 48%-70% of the patients taking IMMs before pregnancy continued them throughout pregnancy. Overall, patients with one or more of these 12 IMIDs had increased risk of PTB (Relative risk (RR) = 1.1 [1.0, 1.3]; p = 0.08), LBW (RR = 1.2 [1.0, 1.4]; p = 0.02), SGA (RR = 1.1 [1.0, 1.2]; p = 0.03), and caesarean section (RR = 1.1 [1.1, 1.2], p < 0.0001) compared to a matched cohort of people without IMIDs. When adjusted for comorbidities, patients with rheumatoid arthritis (PTB RR = 1.2, p = 0.5; LBW RR = 1.1, p = 0.6) and/or inflammatory bowel disease (PTB RR = 1.2, p = 0.3; LBW RR = 1.0, p = 0.8) did not have significantly increased risk for PTB and LBW.

INTERPRETATION

For patients who have been pregnant for 20 weeks or greater, the association between IMIDs and adverse pregnancy outcomes depends on both the nature of the IMID and the presence of comorbidities. Because this study was limited to pregnancies resulting in live births, results must be interpreted together with other studies on early pregnancy loss and stillbirth in patient with IMIDs.

FUNDING

National Institutes of Health.

https://cdn.ncbi.nlm.nih.gov/pmc/blobs/5863/10994966/6ae44286bd80/gr4.jpg
https://cdn.ncbi.nlm.nih.gov/pmc/blobs/5863/10994966/c26be84bc6bb/gr1.jpg
https://cdn.ncbi.nlm.nih.gov/pmc/blobs/5863/10994966/1bb28cc2637e/gr2.jpg
https://cdn.ncbi.nlm.nih.gov/pmc/blobs/5863/10994966/64a37085dc46/gr3.jpg
https://cdn.ncbi.nlm.nih.gov/pmc/blobs/5863/10994966/6ae44286bd80/gr4.jpg
https://cdn.ncbi.nlm.nih.gov/pmc/blobs/5863/10994966/c26be84bc6bb/gr1.jpg
https://cdn.ncbi.nlm.nih.gov/pmc/blobs/5863/10994966/1bb28cc2637e/gr2.jpg
https://cdn.ncbi.nlm.nih.gov/pmc/blobs/5863/10994966/64a37085dc46/gr3.jpg
https://cdn.ncbi.nlm.nih.gov/pmc/blobs/5863/10994966/6ae44286bd80/gr4.jpg
摘要

背景

免疫介导的炎症性疾病(IMIDs)可能会使孕产妇健康复杂化。然而,关于患有IMIDs的患者怀孕的文献很少,而且常常忽略合并症的存在。我们旨在评估IMIDs对不良妊娠结局的影响,评估并解决患有和未患有IMIDs的患者之间与不良妊娠结局相关的协变量分布差异。

方法

我们进行了一项回顾性队列研究,使用来自美国一个综合社区医疗系统的数据,该系统在阿拉斯加、加利福尼亚、蒙大拿、俄勒冈、新墨西哥、得克萨斯和华盛顿提供医疗服务。我们使用了一个包含电子健康记录(EHRs)所有结构化数据的数据库,并分析了2013年1月1日至2022年12月31日期间分娩活产儿的孕妇队列。我们调查了12种选定的IMIDs:银屑病、炎症性肠病、类风湿关节炎、脊柱关节炎、多发性硬化症、系统性红斑狼疮、银屑病关节炎、抗磷脂综合征、干燥综合征、血管炎、结节病和系统性硬化症。我们根据妊娠/孕产妇特征、合并症以及孕前/产前免疫调节药物(IMMs)处方模式,对妊娠前患有IMIDs的患者(IMIDs组)进行了特征描述。我们将IMIDs队列与妊娠前未诊断出IMID的人群(非IMIDs队列)进行1:1倾向评分匹配。结局指标为早产(PTB)、低出生体重(LBW)、小于胎龄儿(SGA)和剖宫产。

结果

我们的分析队列有365,075人,其中5784人在IMIDs组,359,291人在非IMIDs组。过去十年中,既往有IMID诊断的患者中妊娠持续至少20周的患病率翻了一番。IMIDs组中有17%的患者至少有一次产前IMM处方。根据IMM的类型,48%-70%在妊娠前服用IMM的患者在整个孕期持续服用。总体而言,与匹配的无IMIDs人群队列相比,患有这12种IMIDs中一种或多种的患者发生PTB(相对风险(RR)=1.1[1.0,1.3];p=0.08)、LBW(RR=1.2[1.0,1.4];p=0.02)、SGA(RR=1.1[1.0,1.2];p=0.03)和剖宫产(RR=1.1[1.1,1.2],p<0.0001)的风险增加。在对合并症进行调整后,患有类风湿关节炎(PTB RR=1.2,p=0.5;LBW RR=1.1,p=0.6)和/或炎症性肠病(PTB RR=1.2,p=0.3;LBW RR=1.0,p=0.8)的患者发生PTB和LBW的风险没有显著增加。

解读

对于妊娠20周或更长时间的患者,IMIDs与不良妊娠结局之间的关联取决于IMID的性质和合并症的存在。由于本研究仅限于导致活产的妊娠,结果必须与其他关于IMIDs患者早期妊娠丢失和死产的研究一起解读。

资助

美国国立卫生研究院。

相似文献

1
Maternal-fetal outcomes in patients with immune-mediated inflammatory diseases, with consideration of comorbidities: a retrospective cohort study in a large U.S. healthcare system.免疫介导的炎症性疾病患者的母婴结局,并考虑合并症:美国大型医疗保健系统中的一项回顾性队列研究
EClinicalMedicine. 2024 Feb 1;68:102435. doi: 10.1016/j.eclinm.2024.102435. eCollection 2024 Feb.
2
Maternal-fetal outcomes in patients with immune mediated inflammatory diseases, with consideration of comorbidities: a retrospective cohort study in a large U.S. healthcare system.免疫介导的炎症性疾病患者的母婴结局,并考虑合并症:美国大型医疗保健系统中的一项回顾性队列研究。
medRxiv. 2023 Aug 9:2023.08.07.23293726. doi: 10.1101/2023.08.07.23293726.
3
Machine learning to understand risks for severe COVID-19 outcomes: a retrospective cohort study of immune-mediated inflammatory diseases, immunomodulatory medications, and comorbidities in a large US health-care system.机器学习理解 COVID-19 重症结局的风险:一项回顾性队列研究,研究对象为美国大型医疗保健系统中的免疫介导的炎症性疾病、免疫调节药物和合并症。
Lancet Digit Health. 2024 May;6(5):e309-e322. doi: 10.1016/S2589-7500(24)00021-9.
4
Risk factors for severe COVID-19 outcomes: a study of immune-mediated inflammatory diseases, immunomodulatory medications, and comorbidities in a large US healthcare system.重症 COVID-19 结局的危险因素:美国一个大型医疗系统中免疫介导的炎症性疾病、免疫调节药物及合并症的研究
medRxiv. 2023 Jun 28:2023.06.26.23291904. doi: 10.1101/2023.06.26.23291904.
5
Propensity-Matched Analysis of the Risk of Age-Related Macular Degeneration with Systemic Immune-Mediated Inflammatory Disease.基于倾向性评分匹配的系统性免疫介导的炎症性疾病与年龄相关性黄斑变性风险分析。
Ophthalmol Retina. 2024 Aug;8(8):778-785. doi: 10.1016/j.oret.2024.01.026. Epub 2024 Feb 4.
6
Folic acid supplementation and malaria susceptibility and severity among people taking antifolate antimalarial drugs in endemic areas.在流行地区,服用抗叶酸抗疟药物的人群中,叶酸补充剂与疟疾易感性和严重程度的关系。
Cochrane Database Syst Rev. 2022 Feb 1;2(2022):CD014217. doi: 10.1002/14651858.CD014217.
7
Safety of biologic immunosuppressants in pregnant women with immune-mediated inflammatory diseases.生物免疫抑制剂在患有免疫介导性炎症疾病的孕妇中的安全性。
J Autoimmun. 2024 Sep;148:103301. doi: 10.1016/j.jaut.2024.103301. Epub 2024 Aug 16.
8
Risk of Developing Additional Immune-Mediated Manifestations: A Retrospective Matched Cohort Study.发展为其他免疫介导表现的风险:一项回顾性匹配队列研究。
Adv Ther. 2019 Jul;36(7):1672-1683. doi: 10.1007/s12325-019-00964-z. Epub 2019 May 17.
9
Sympathetic Nerve Hyperactivity in the Spleen: Causal for Nonpathogenic-Driven Chronic Immune-Mediated Inflammatory Diseases (IMIDs)?脾脏交感神经活性:非致病性驱动的慢性免疫介导炎症性疾病(IMIDs)的原因?
Int J Mol Sci. 2018 Apr 13;19(4):1188. doi: 10.3390/ijms19041188.
10
Secular trends of low birth weight, preterm birth, and small for gestational age in Shanghai from 2004 to 2020: an age-period-cohort analysis.2004 年至 2020 年上海低出生体重、早产和小于胎龄儿的长期趋势:年龄-时期-队列分析。
BMC Pregnancy Childbirth. 2023 Jul 26;23(1):540. doi: 10.1186/s12884-023-05799-9.

引用本文的文献

1
Communication and Therapy Planning for Patients of Reproductive Age Under Immunomodulatory Treatments for Psoriasis or Psoriatic Arthritis-Survey of the German National Psoriasis Registry PsoBest.银屑病或银屑病关节炎免疫调节治疗下育龄患者的沟通与治疗规划——德国国家银屑病登记处PsoBest调查
Healthcare (Basel). 2025 Apr 28;13(9):1017. doi: 10.3390/healthcare13091017.
2
The Immunomodulatory Role of Regulatory T Cells in Preterm Birth and Associated Pregnancy Outcomes.调节性 T 细胞在早产及相关妊娠结局中的免疫调节作用。
Int J Mol Sci. 2024 Nov 5;25(22):11878. doi: 10.3390/ijms252211878.
3
Need for individualized counseling regarding psoriasis systemic therapy in women of childbearing age: analysis of the PsoFem study at the University Medical Center Hamburg.

本文引用的文献

1
Autoimmune diseases and adverse pregnancy outcomes: an umbrella review.自身免疫性疾病与不良妊娠结局:伞式评价。
Lancet. 2023 Nov;402 Suppl 1:S84. doi: 10.1016/S0140-6736(23)02128-1.
2
The increasing prevalence of autoimmunity and autoimmune diseases: an urgent call to action for improved understanding, diagnosis, treatment, and prevention.自身免疫和自身免疫性疾病的患病率不断上升:急需采取行动以提高认识、诊断、治疗和预防水平。
Curr Opin Immunol. 2023 Feb;80:102266. doi: 10.1016/j.coi.2022.102266. Epub 2022 Nov 26.
3
Maternal and fetal outcomes in pregnant women with rheumatoid arthritis: a systematic review and meta-analysis.
育龄期女性银屑病系统治疗个性化咨询的必要性:汉堡大学医学中心PsoFem研究分析
Int J Womens Dermatol. 2024 Nov 15;10(4):e187. doi: 10.1097/JW9.0000000000000187. eCollection 2024 Dec.
类风湿关节炎孕妇的母婴结局:一项系统评价与荟萃分析。
Clin Rheumatol. 2023 Mar;42(3):855-870. doi: 10.1007/s10067-022-06436-0. Epub 2022 Nov 11.
4
Adverse pregnancy outcomes in women with systemic lupus erythematosus: can we improve predictions with machine learning?系统性红斑狼疮女性的不良妊娠结局:机器学习能否提高预测能力?
Lupus Sci Med. 2022 Sep;9(1). doi: 10.1136/lupus-2022-000769.
5
Pregnant women with immune mediated inflammatory diseases who discontinue biologics have higher rates of disease flare.患有免疫介导的炎症性疾病的孕妇如果停止使用生物制剂,疾病复发的风险更高。
Arch Gynecol Obstet. 2022 Dec;306(6):1929-1937. doi: 10.1007/s00404-022-06463-x. Epub 2022 Mar 6.
6
Pregnancy and Autoimmune Disease.妊娠与自身免疫性疾病。
Dtsch Arztebl Int. 2022 Mar 4;119(9):145-156. doi: 10.3238/arztebl.m2021.0353.
7
Immune-mediated inflammatory disease therapeutics: past, present and future.免疫介导的炎症性疾病治疗药物:过去、现在和未来。
Nat Rev Immunol. 2021 Oct;21(10):680-686. doi: 10.1038/s41577-021-00603-1. Epub 2021 Sep 13.
8
Pregnancy and neonatal outcomes in women with immune mediated inflammatory diseases exposed to anti-tumor necrosis factor-α during pregnancy: A systemic review and meta-analysis.妊娠合并免疫介导的炎症性疾病患者在孕期使用抗肿瘤坏死因子-α治疗的妊娠结局和新生儿结局:系统评价和荟萃分析。
J Autoimmun. 2021 Aug;122:102676. doi: 10.1016/j.jaut.2021.102676. Epub 2021 Jun 11.
9
European League Against Rheumatism (EULAR)/American College of Rheumatology (ACR) SLE classification criteria item performance.欧洲抗风湿病联盟(EULAR)/美国风湿病学会(ACR)SLE 分类标准项目表现。
Ann Rheum Dis. 2021 Jun;80(6):775-781. doi: 10.1136/annrheumdis-2020-219373. Epub 2021 Feb 10.
10
Increases in Prepregnancy Obesity: United States, 2016-2019.孕前肥胖率上升:美国,2016-2019 年。
NCHS Data Brief. 2020 Nov(392):1-8.