• 文献检索
  • 文档翻译
  • 深度研究
  • 学术资讯
  • Suppr Zotero 插件Zotero 插件
  • 邀请有礼
  • 套餐&价格
  • 历史记录
应用&插件
Suppr Zotero 插件Zotero 插件浏览器插件Mac 客户端Windows 客户端微信小程序
定价
高级版会员购买积分包购买API积分包
服务
文献检索文档翻译深度研究API 文档MCP 服务
关于我们
关于 Suppr公司介绍联系我们用户协议隐私条款
关注我们

Suppr 超能文献

核心技术专利:CN118964589B侵权必究
粤ICP备2023148730 号-1Suppr @ 2026

文献检索

告别复杂PubMed语法,用中文像聊天一样搜索,搜遍4000万医学文献。AI智能推荐,让科研检索更轻松。

立即免费搜索

文件翻译

保留排版,准确专业,支持PDF/Word/PPT等文件格式,支持 12+语言互译。

免费翻译文档

深度研究

AI帮你快速写综述,25分钟生成高质量综述,智能提取关键信息,辅助科研写作。

立即免费体验

生物信息学和系统生物学方法研究 COVID-19、流感和 HIV 对基因表达调控的影响。

Bioinformatics and system biology approach to identify the influences among COVID-19, influenza, and HIV on the regulation of gene expression.

机构信息

Microbiology Laboratory Department, Jinzhou Center for Disease Control and Prevention, Jinzhou, Liaoning, China.

Department of Immunology, School of Basic Medical Science, Jinzhou Medical University, Jinzhou, Liaoning, China.

出版信息

Front Immunol. 2024 Mar 27;15:1369311. doi: 10.3389/fimmu.2024.1369311. eCollection 2024.

DOI:10.3389/fimmu.2024.1369311
PMID:38601162
原文链接:https://pmc.ncbi.nlm.nih.gov/articles/PMC11004287/
Abstract

BACKGROUND

Coronavirus disease (COVID-19), caused by SARS-CoV-2, has emerged as a infectious disease, coexisting with widespread seasonal and sporadic influenza epidemics globally. Individuals living with HIV, characterized by compromised immune systems, face an elevated risk of severe outcomes and increased mortality when affected by COVID-19. Despite this connection, the molecular intricacies linking COVID-19, influenza, and HIV remain unclear. Our research endeavors to elucidate the shared pathways and molecular markers in individuals with HIV concurrently infected with COVID-19 and influenza. Furthermore, we aim to identify potential medications that may prove beneficial in managing these three interconnected illnesses.

METHODS

Sequencing data for COVID-19 (GSE157103), influenza (GSE185576), and HIV (GSE195434) were retrieved from the GEO database. Commonly expressed differentially expressed genes (DEGs) were identified across the three datasets, followed by immune infiltration analysis and diagnostic ROC analysis on the DEGs. Functional enrichment analysis was performed using GO/KEGG and Gene Set Enrichment Analysis (GSEA). Hub genes were screened through a Protein-Protein Interaction networks (PPIs) analysis among DEGs. Analysis of miRNAs, transcription factors, drug chemicals, diseases, and RNA-binding proteins was conducted based on the identified hub genes. Finally, quantitative PCR (qPCR) expression verification was undertaken for selected hub genes.

RESULTS

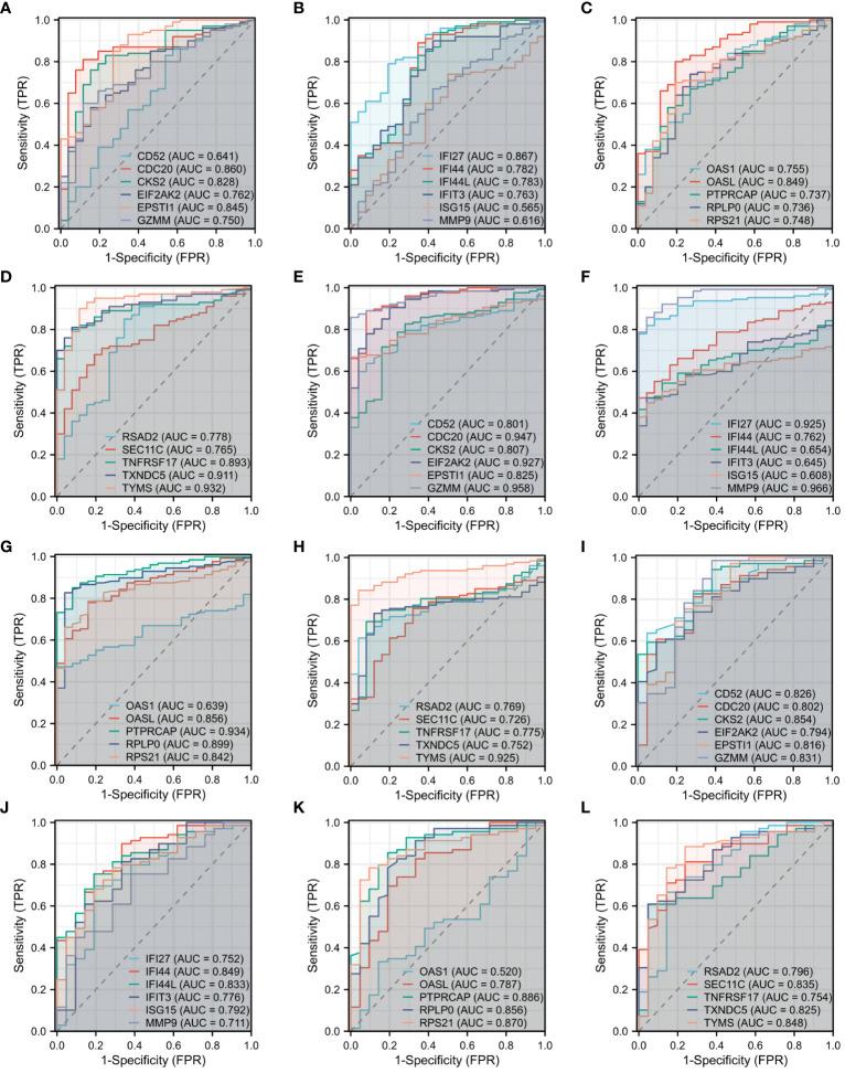
The analysis of the three datasets revealed a total of 22 shared DEGs, with the majority exhibiting an area under the curve value exceeding 0.7. Functional enrichment analysis with GO/KEGG and GSEA primarily highlighted signaling pathways associated with ribosomes and tumors. The ten identified hub genes included , , , , , , , , , and . Additionally, five crucial miRNAs (hsa-miR-8060, hsa-miR-6890-5p, hsa-miR-5003-3p, hsa-miR-6893-3p, and hsa-miR-6069), five essential transcription factors (CREB1, CEBPB, EGR1, EP300, and IRF1), and the top ten significant drug chemicals (estradiol, progesterone, tretinoin, calcitriol, fluorouracil, methotrexate, lipopolysaccharide, valproic acid, silicon dioxide, cyclosporine) were identified.

CONCLUSION

This research provides valuable insights into shared molecular targets, signaling pathways, drug chemicals, and potential biomarkers for individuals facing the complex intersection of COVID-19, influenza, and HIV. These findings hold promise for enhancing the precision of diagnosis and treatment for individuals with HIV co-infected with COVID-19 and influenza.

摘要

背景

由 SARS-CoV-2 引起的冠状病毒病(COVID-19)已成为一种传染病,在全球范围内与广泛的季节性和偶发性流感流行并存。患有 HIV 的个体免疫系统受损,当感染 COVID-19 时,他们面临严重后果和死亡率增加的风险。尽管存在这种联系,但 COVID-19、流感和 HIV 之间的分子复杂性仍不清楚。我们的研究旨在阐明同时感染 COVID-19 和流感的 HIV 个体中共同的途径和分子标记物。此外,我们旨在确定可能对管理这三种相互关联的疾病有益的潜在药物。

方法

从 GEO 数据库中检索 COVID-19(GSE157103)、流感(GSE185576)和 HIV(GSE195434)的测序数据。确定了三个数据集之间共同表达的差异表达基因(DEG),然后对 DEG 进行免疫浸润分析和诊断 ROC 分析。使用 GO/KEGG 和基因集富集分析(GSEA)对 DEG 进行功能富集分析。通过 DEG 之间的蛋白质-蛋白质相互作用网络(PPIs)分析筛选出枢纽基因。基于鉴定出的枢纽基因分析 miRNA、转录因子、药物化学物质、疾病和 RNA 结合蛋白。最后,对选定的枢纽基因进行定量 PCR(qPCR)表达验证。

结果

对三个数据集的分析共发现 22 个共同的 DEG,其中大多数的曲线下面积值超过 0.7。GO/KEGG 和 GSEA 的功能富集分析主要突出了与核糖体和肿瘤相关的信号通路。鉴定出的十个枢纽基因包括、、、、、、、、和。此外,还确定了五个关键的 miRNA(hsa-miR-8060、hsa-miR-6890-5p、hsa-miR-5003-3p、hsa-miR-6893-3p 和 hsa-miR-6069)、五个关键的转录因子(CREB1、CEBPB、EGR1、EP300 和 IRF1)和十个重要的药物化学物质(雌二醇、孕酮、维 A 酸、骨化三醇、氟尿嘧啶、甲氨蝶呤、脂多糖、丙戊酸、二氧化硅、环孢菌素)。

结论

这项研究为 COVID-19、流感和 HIV 同时存在的个体的共同分子靶标、信号通路、药物化学物质和潜在生物标志物提供了有价值的见解。这些发现有望提高同时感染 COVID-19 和流感的 HIV 个体的诊断和治疗的精准度。

https://cdn.ncbi.nlm.nih.gov/pmc/blobs/a522/11004287/dbd534418a53/fimmu-15-1369311-g014.jpg
https://cdn.ncbi.nlm.nih.gov/pmc/blobs/a522/11004287/de121b25a4c0/fimmu-15-1369311-g001.jpg
https://cdn.ncbi.nlm.nih.gov/pmc/blobs/a522/11004287/195c153fdc64/fimmu-15-1369311-g002.jpg
https://cdn.ncbi.nlm.nih.gov/pmc/blobs/a522/11004287/7839d71af2db/fimmu-15-1369311-g003.jpg
https://cdn.ncbi.nlm.nih.gov/pmc/blobs/a522/11004287/31407b8c4c21/fimmu-15-1369311-g004.jpg
https://cdn.ncbi.nlm.nih.gov/pmc/blobs/a522/11004287/4fc7c4acd55b/fimmu-15-1369311-g005.jpg
https://cdn.ncbi.nlm.nih.gov/pmc/blobs/a522/11004287/56da79c400c8/fimmu-15-1369311-g006.jpg
https://cdn.ncbi.nlm.nih.gov/pmc/blobs/a522/11004287/9375677ae8a2/fimmu-15-1369311-g007.jpg
https://cdn.ncbi.nlm.nih.gov/pmc/blobs/a522/11004287/e5b603c7cd38/fimmu-15-1369311-g008.jpg
https://cdn.ncbi.nlm.nih.gov/pmc/blobs/a522/11004287/3b196a9346bd/fimmu-15-1369311-g009.jpg
https://cdn.ncbi.nlm.nih.gov/pmc/blobs/a522/11004287/99e3d2820dcb/fimmu-15-1369311-g010.jpg
https://cdn.ncbi.nlm.nih.gov/pmc/blobs/a522/11004287/9fda54998da9/fimmu-15-1369311-g011.jpg
https://cdn.ncbi.nlm.nih.gov/pmc/blobs/a522/11004287/7faea6ab861e/fimmu-15-1369311-g012.jpg
https://cdn.ncbi.nlm.nih.gov/pmc/blobs/a522/11004287/4cfe4960a1f5/fimmu-15-1369311-g013.jpg
https://cdn.ncbi.nlm.nih.gov/pmc/blobs/a522/11004287/dbd534418a53/fimmu-15-1369311-g014.jpg
https://cdn.ncbi.nlm.nih.gov/pmc/blobs/a522/11004287/de121b25a4c0/fimmu-15-1369311-g001.jpg
https://cdn.ncbi.nlm.nih.gov/pmc/blobs/a522/11004287/195c153fdc64/fimmu-15-1369311-g002.jpg
https://cdn.ncbi.nlm.nih.gov/pmc/blobs/a522/11004287/7839d71af2db/fimmu-15-1369311-g003.jpg
https://cdn.ncbi.nlm.nih.gov/pmc/blobs/a522/11004287/31407b8c4c21/fimmu-15-1369311-g004.jpg
https://cdn.ncbi.nlm.nih.gov/pmc/blobs/a522/11004287/4fc7c4acd55b/fimmu-15-1369311-g005.jpg
https://cdn.ncbi.nlm.nih.gov/pmc/blobs/a522/11004287/56da79c400c8/fimmu-15-1369311-g006.jpg
https://cdn.ncbi.nlm.nih.gov/pmc/blobs/a522/11004287/9375677ae8a2/fimmu-15-1369311-g007.jpg
https://cdn.ncbi.nlm.nih.gov/pmc/blobs/a522/11004287/e5b603c7cd38/fimmu-15-1369311-g008.jpg
https://cdn.ncbi.nlm.nih.gov/pmc/blobs/a522/11004287/3b196a9346bd/fimmu-15-1369311-g009.jpg
https://cdn.ncbi.nlm.nih.gov/pmc/blobs/a522/11004287/99e3d2820dcb/fimmu-15-1369311-g010.jpg
https://cdn.ncbi.nlm.nih.gov/pmc/blobs/a522/11004287/9fda54998da9/fimmu-15-1369311-g011.jpg
https://cdn.ncbi.nlm.nih.gov/pmc/blobs/a522/11004287/7faea6ab861e/fimmu-15-1369311-g012.jpg
https://cdn.ncbi.nlm.nih.gov/pmc/blobs/a522/11004287/4cfe4960a1f5/fimmu-15-1369311-g013.jpg
https://cdn.ncbi.nlm.nih.gov/pmc/blobs/a522/11004287/dbd534418a53/fimmu-15-1369311-g014.jpg

相似文献

1
Bioinformatics and system biology approach to identify the influences among COVID-19, influenza, and HIV on the regulation of gene expression.生物信息学和系统生物学方法研究 COVID-19、流感和 HIV 对基因表达调控的影响。
Front Immunol. 2024 Mar 27;15:1369311. doi: 10.3389/fimmu.2024.1369311. eCollection 2024.
2
IFI44 is an immune evasion biomarker for SARS-CoV-2 and infection in patients with RA.IFI44 是 SARS-CoV-2 的免疫逃逸生物标志物,与 RA 患者的感染相关。
Front Immunol. 2022 Sep 15;13:1013322. doi: 10.3389/fimmu.2022.1013322. eCollection 2022.
3
Blood transcriptome analysis revealed the crosstalk between COVID-19 and HIV.血液转录组分析揭示了 COVID-19 与 HIV 之间的相互作用。
Front Immunol. 2022 Oct 28;13:1008653. doi: 10.3389/fimmu.2022.1008653. eCollection 2022.
4
Gene crosstalk between COVID-19 and preeclampsia revealed by blood transcriptome analysis.通过血液转录组分析揭示 COVID-19 与子痫前期的基因串扰。
Front Immunol. 2024 Jan 8;14:1243450. doi: 10.3389/fimmu.2023.1243450. eCollection 2023.
5
Network-Based Data Analysis Reveals Ion Channel-Related Gene Features in COVID-19: A Bioinformatic Approach.基于网络的数据分析揭示 COVID-19 中与离子通道相关的基因特征:一种生物信息学方法。
Biochem Genet. 2023 Apr;61(2):471-505. doi: 10.1007/s10528-022-10280-x. Epub 2022 Sep 14.
6
Identification of host transcriptome-guided repurposable drugs for SARS-CoV-1 infections and their validation with SARS-CoV-2 infections by using the integrated bioinformatics approaches.采用整合生物信息学方法,鉴定靶向 SARS-CoV-1 感染的宿主转录组可再利用药物,并通过 SARS-CoV-2 感染进行验证。
PLoS One. 2022 Apr 7;17(4):e0266124. doi: 10.1371/journal.pone.0266124. eCollection 2022.
7
The use of bioinformatics methods to identify the effects of SARS-CoV-2 and influenza viruses on the regulation of gene expression in patients.利用生物信息学方法来鉴定 SARS-CoV-2 和流感病毒对患者基因表达调控的影响。
Front Immunol. 2023 Feb 22;14:1098688. doi: 10.3389/fimmu.2023.1098688. eCollection 2023.
8
Differential gene expression profiling reveals potential biomarkers and pharmacological compounds against SARS-CoV-2: Insights from machine learning and bioinformatics approaches.差异基因表达谱分析揭示了针对 SARS-CoV-2 的潜在生物标志物和药物化合物:机器学习和生物信息学方法的见解。
Front Immunol. 2022 Aug 17;13:918692. doi: 10.3389/fimmu.2022.918692. eCollection 2022.
9
Integrative bioinformatics and experimental validation of hub genetic markers in acne vulgaris: Toward personalized diagnostic and therapeutic strategies.痤疮中枢纽遗传标记物的综合生物信息学和实验验证:迈向个体化诊断和治疗策略。
J Cosmet Dermatol. 2024 May;23(5):1777-1799. doi: 10.1111/jocd.16152. Epub 2024 Jan 24.
10
Integrative analysis of potential biomarkers and immune cell infiltration in Parkinson's disease.帕金森病潜在生物标志物与免疫细胞浸润的整合分析。
Brain Res Bull. 2021 Dec;177:53-63. doi: 10.1016/j.brainresbull.2021.09.010. Epub 2021 Sep 16.

引用本文的文献

1
Features of Highly Homologous T-Cell Receptor Repertoire in the Immune Response to Mutations in Immunogenic Epitopes.免疫原性表位突变免疫应答中高度同源T细胞受体库的特征
Int J Mol Sci. 2024 Nov 23;25(23):12591. doi: 10.3390/ijms252312591.

本文引用的文献

1
Arginine reprograms metabolism in liver cancer via RBM39.精氨酸通过 RBM39 重编程肝癌中的代谢。
Cell. 2023 Nov 9;186(23):5068-5083.e23. doi: 10.1016/j.cell.2023.09.011. Epub 2023 Oct 6.
2
Discovery of natural multi-targets neuraminidase inhibitor glycosides compounds against influenza A virus through network pharmacology, virtual screening, molecular dynamics simulation, and in vitro experiment.基于网络药理学、虚拟筛选、分子动力学模拟和体外实验发现抗流感 A 病毒的天然多靶神经氨酸酶抑制剂糖苷类化合物。
Chem Biol Drug Des. 2024 Jan;103(1):e14359. doi: 10.1111/cbdd.14359. Epub 2023 Sep 24.
3
Differential Gene Expression of SARS-CoV-2 Positive Bronchoalveolar Lavages: A Case Series.
SARS-CoV-2 阳性支气管肺泡灌洗液的差异基因表达:一项病例系列研究。
Pathobiology. 2024;91(2):158-168. doi: 10.1159/000532057. Epub 2023 Jul 25.
4
Corrigendum: Bioinformatics and system biology approach to identify the influences among COVID-19, ARDS and sepsis.勘误:用于识别2019冠状病毒病、急性呼吸窘迫综合征和脓毒症之间相互影响的生物信息学与系统生物学方法。
Front Immunol. 2023 Jun 20;14:1236992. doi: 10.3389/fimmu.2023.1236992. eCollection 2023.
5
Systems genetics identifies miRNA-mediated regulation of host response in COVID-19.系统遗传学鉴定出 COVID-19 中 miRNA 介导的宿主反应调控。
Hum Genomics. 2023 Jun 12;17(1):49. doi: 10.1186/s40246-023-00494-4.
6
Signaling pathways of oxidative stress response: the potential therapeutic targets in gastric cancer.氧化应激反应信号通路:胃癌治疗的潜在靶点。
Front Immunol. 2023 Apr 18;14:1139589. doi: 10.3389/fimmu.2023.1139589. eCollection 2023.
7
The use of bioinformatics methods to identify the effects of SARS-CoV-2 and influenza viruses on the regulation of gene expression in patients.利用生物信息学方法来鉴定 SARS-CoV-2 和流感病毒对患者基因表达调控的影响。
Front Immunol. 2023 Feb 22;14:1098688. doi: 10.3389/fimmu.2023.1098688. eCollection 2023.
8
HNRNPA2B1 as a potential therapeutic target for thymic epithelial tumor recurrence: An integrative network analysis.HNRNPA2B1作为胸腺上皮肿瘤复发的潜在治疗靶点:综合网络分析
Comput Biol Med. 2023 Mar;155:106665. doi: 10.1016/j.compbiomed.2023.106665. Epub 2023 Feb 11.
9
The SARS-CoV-2 spike S1 protein induces global proteomic changes in ATII-like rat L2 cells that are attenuated by hyaluronan.SARS-CoV-2 刺突蛋白 S1 诱导类似于 ATII 的大鼠 L2 细胞中的全蛋白质组变化,透明质酸可减弱这种变化。
Am J Physiol Lung Cell Mol Physiol. 2023 Apr 1;324(4):L413-L432. doi: 10.1152/ajplung.00282.2022. Epub 2023 Jan 31.
10
Examining the role of EGR1 during viral infections.研究早期生长反应蛋白1(EGR1)在病毒感染过程中的作用。
Front Microbiol. 2022 Oct 21;13:1020220. doi: 10.3389/fmicb.2022.1020220. eCollection 2022.