Suppr超能文献

沙丁胺醇和氢溴酸东莨菪碱对重症哮喘马支气管扩张作用及不良反应的对比研究。

Comparative study of the bronchodilator efficacy and adverse effects of salbutamol and hyoscine butylbromide in horses with severe asthma.

机构信息

Faculty of Veterinary Medicine, Department of Clinical Sciences, University of Montreal, St-Hyacinthe, Quebec, Canada.

出版信息

J Vet Intern Med. 2024 May-Jun;38(3):1835-1841. doi: 10.1111/jvim.17057. Epub 2024 Apr 12.

Abstract

BACKGROUND

Salbutamol and hyoscine butylbromide (HBB) are commonly used bronchodilators in horses with severe asthma (SA).

OBJECTIVE

To compare the bronchodilation potency, duration, and adverse effects of salbutamol and HBB in SA.

ANIMALS

Six horses in exacerbation of SA.

METHODS

The effects of inhaled salbutamol (1000 μg) and HBB (150 mg, IV) were compared in a randomized, blinded, crossover experiment. Lung function, intestinal borborygmi and heart rate were assessed before and sequentially until 180 minutes after drug administration, and analyzed with 2-way repeated-measures ANOVA and Dunnett's multiple comparison tests.

RESULTS

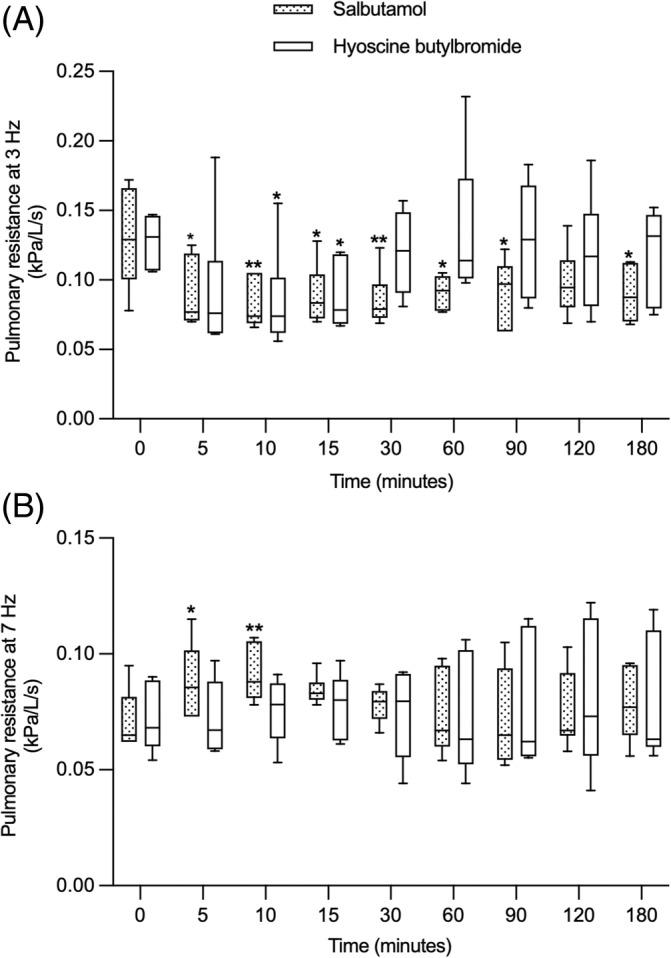
Both treatments caused a similar improvement in lung function. Pulmonary resistance and reactance returned to baseline values within 30 minutes after HBB administration, whereas salbutamol improved reactance until 180 minutes (mean improvement at 180 minutes of 0.040 Kpa/L/s, 95% CI = 0.004 to 0.076; P = .02 for salbutamol and of 0.009 Kpa/L/s, 95% CI = -0.028 to 0.045; P = .98 for HBB for the resistance at 3 Hz and of 0.040 Kpa/L/s, 95% CI = 0.007 to 0.074; P = .01 for salbutamol and of 0.009 Kpa/L/s, 95% CI = -0.024 to 0.042; P = .97 for HBB for the reactance at 7 Hz). From 5 to 30 minutes after HBB administration, the heart rate accelerated (mean increase of 3.3 beats per minute, 95% CI = -6.6 to 13.1; P = .92 for salbutamol, and of 13.0 beats per minute, 95% CI = 3.6 to 22.4; P = .002 for HBB at 30 minutes) and the gut sounds decreased (mean reduction of 1.3, 95% CI = -0.1 to 2.8; P = .09 for salbutamol and of 2.8 for the gastrointestinal auscultation score, 95% CI = 1.4 to 4.3; P < .0001 for HBB at 30 minutes).

CONCLUSIONS AND CLINICAL IMPORTANCE

Both drugs have a similar bronchodilator potency but with a longer duration for salbutamol. Gastrointestinal and cardiovascular effects were noted only with HBB, suggesting the preferential use of salbutamol to relieve bronchoconstriction in horses with asthma.

摘要

背景

沙丁胺醇和氢溴酸东莨菪碱(HBB)是治疗严重哮喘(SA)马匹的常用支气管扩张剂。

目的

比较沙丁胺醇和 HBB 在治疗 SA 中的支气管扩张作用、作用持续时间和不良反应。

动物

6 匹处于 SA 急性发作期的马。

方法

采用随机、双盲、交叉实验比较吸入沙丁胺醇(1000μg)和 HBB(150mg,IV)的效果。在给药前和给药后依次进行肺功能、肠鸣音和心率评估,采用 2 因素重复测量方差分析和 Dunnett 多重比较检验进行分析。

结果

两种治疗方法均能使肺功能得到相似的改善。HBB 给药后 30 分钟内肺阻力和电抗恢复至基线值,而沙丁胺醇在 180 分钟时改善电抗(180 分钟时的平均改善值为 0.040 Kpa/L/s,95%CI 为 0.004 至 0.076;P=0.02 用于沙丁胺醇,电抗在 3Hz 时的 0.009 Kpa/L/s,95%CI 为 -0.028 至 0.045;P=0.98 用于 HBB;0.040 Kpa/L/s,95%CI 为 0.007 至 0.074;P=0.01 用于沙丁胺醇,电抗在 7Hz 时的 0.009 Kpa/L/s,95%CI 为 -0.024 至 0.042;P=0.97 用于 HBB)。HBB 给药后 5 至 30 分钟,心率加快(平均增加 3.3 次/分钟,95%CI 为 -6.6 至 13.1;P=0.92 用于沙丁胺醇,13.0 次/分钟,95%CI 为 3.6 至 22.4;P=0.002 用于 HBB 在 30 分钟时),肠鸣音减少(平均减少 1.3,95%CI 为 -0.1 至 2.8;P=0.09 用于沙丁胺醇,胃肠听诊评分减少 2.8,95%CI 为 1.4 至 4.3;P<0.0001 用于 HBB 在 30 分钟时)。

结论和临床意义

两种药物的支气管扩张作用相似,但沙丁胺醇的作用持续时间更长。仅在 HBB 中观察到胃肠道和心血管作用,提示在治疗哮喘马的支气管痉挛时,优先使用沙丁胺醇。

https://cdn.ncbi.nlm.nih.gov/pmc/blobs/e439/11099713/b7a29247166f/JVIM-38-1835-g002.jpg

文献检索

告别复杂PubMed语法,用中文像聊天一样搜索,搜遍4000万医学文献。AI智能推荐,让科研检索更轻松。

立即免费搜索

文件翻译

保留排版,准确专业,支持PDF/Word/PPT等文件格式,支持 12+语言互译。

免费翻译文档

深度研究

AI帮你快速写综述,25分钟生成高质量综述,智能提取关键信息,辅助科研写作。

立即免费体验