Suppr超能文献

利用来自两家国民保健署信托基金会的常规患者数据,开发一种增强的评分系统,以预测 24 小时内 ICU 再入院或院内死亡。

Development of an enhanced scoring system to predict ICU readmission or in-hospital death within 24 hours using routine patient data from two NHS Foundation Trusts.

机构信息

Department of Engineering Science, University of Oxford, Oxford, UK.

Institute of Medical Engineering & Science, Massachusetts Institute of Technology, Cambridge, Massachusetts, USA.

出版信息

BMJ Open. 2024 Apr 12;14(4):e074604. doi: 10.1136/bmjopen-2023-074604.

Abstract

RATIONALE

Intensive care units (ICUs) admit the most severely ill patients. Once these patients are discharged from the ICU to a step-down ward, they continue to have their vital signs monitored by nursing staff, with Early Warning Score (EWS) systems being used to identify those at risk of deterioration.

OBJECTIVES

We report the development and validation of an enhanced continuous scoring system for predicting adverse events, which combines vital signs measured routinely on acute care wards (as used by most EWS systems) with a risk score of a future adverse event calculated on discharge from the ICU.

DESIGN

A modified Delphi process identified candidate variables commonly available in electronic records as the basis for a 'static' score of the patient's condition immediately after discharge from the ICU. L1-regularised logistic regression was used to estimate the in-hospital risk of future adverse event. We then constructed a model of physiological normality using vital sign data from the day of hospital discharge. This is combined with the static score and used continuously to quantify and update the patient's risk of deterioration throughout their hospital stay.

SETTING

Data from two National Health Service Foundation Trusts (UK) were used to develop and (externally) validate the model.

PARTICIPANTS

A total of 12 394 vital sign measurements were acquired from 273 patients after ICU discharge for the development set, and 4831 from 136 patients in the validation cohort.

RESULTS

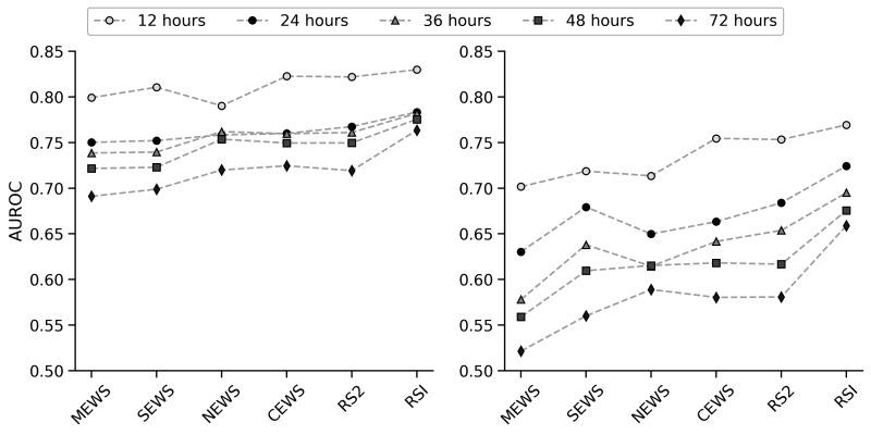
Outcome validation of our model yielded an area under the receiver operating characteristic curve of 0.724 for predicting ICU readmission or in-hospital death within 24 hours. It showed an improved performance with respect to other competitive risk scoring systems, including the National EWS (0.653).

CONCLUSIONS

We showed that a scoring system incorporating data from a patient's stay in the ICU has better performance than commonly used EWS systems based on vital signs alone.

TRIAL REGISTRATION NUMBER

ISRCTN32008295.

摘要

背景

重症监护病房(ICU)收治病情最危重的患者。这些患者一旦从 ICU 转入普通病房,仍由护理人员监测生命体征,并使用早期预警评分(EWS)系统来识别有恶化风险的患者。

目的

我们报告了一种增强型连续评分系统的开发和验证,该系统用于预测不良事件,将 ICU 常规监测的生命体征(大多数 EWS 系统使用)与 ICU 出院时计算的未来不良事件风险评分相结合。

设计

改良 Delphi 流程确定了电子病历中常见的候选变量,作为 ICU 出院后患者病情的“静态”评分基础。使用 L1-正则化逻辑回归估计住院期间未来不良事件的风险。然后,我们使用出院当天的生命体征数据构建了一个生理正常模型。将该模型与静态评分相结合,并在整个住院期间连续使用,以量化和更新患者的病情恶化风险。

设置

来自英国两家国民保健服务基金会信托基金的数据用于开发和(外部)验证模型。

参与者

开发集共纳入 273 例患者 ICU 出院后 12394 次生命体征测量,验证集纳入 136 例患者 4831 次生命体征测量。

结果

我们的模型对预后的验证,在预测 24 小时内 ICU 再入院或院内死亡方面,获得了 0.724 的受试者工作特征曲线下面积。与其他竞争性风险评分系统(包括国家 EWS)相比,该模型表现出了更好的性能。

结论

我们表明,与仅基于生命体征的常用 EWS 系统相比,纳入 ICU 期间患者数据的评分系统具有更好的性能。

试验注册号

ISRCTN32008295。

https://cdn.ncbi.nlm.nih.gov/pmc/blobs/c4b5/11029184/8cac092cdf52/bmjopen-2023-074604f01.jpg

文献AI研究员

20分钟写一篇综述,助力文献阅读效率提升50倍。

立即体验

用中文搜PubMed

大模型驱动的PubMed中文搜索引擎

马上搜索

文档翻译

学术文献翻译模型,支持多种主流文档格式。

立即体验