Suppr超能文献

超高rGO含量的C12A7-rGO复合材料的晶界、电输运和热电性能

Grain boundary, electrical transport and thermoelectric properties of the ultra-high rGO amount of C12A7-rGO composites.

作者信息

Maneesai Keerati, Thongkam Montree, Sriwong Chaval, Ruttanapun Chesta

机构信息

Department of Physics, School of Science, King Mongkut's Institute of Technology Ladkrabang, Chalongkrung Road, Ladkrabang, Bangkok, 10520, Thailand.

Department of Chemistry, School of Science, King Mongkut's Institute of Technology Ladkrabang, Chalongkrung Road, Ladkrabang, Bangkok, 10520, Thailand.

出版信息

Heliyon. 2024 Apr 12;10(8):e29619. doi: 10.1016/j.heliyon.2024.e29619. eCollection 2024 Apr 30.

Abstract

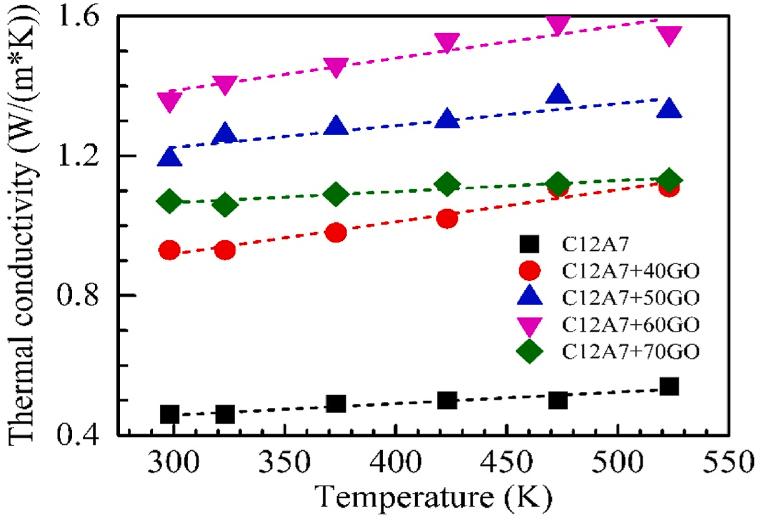
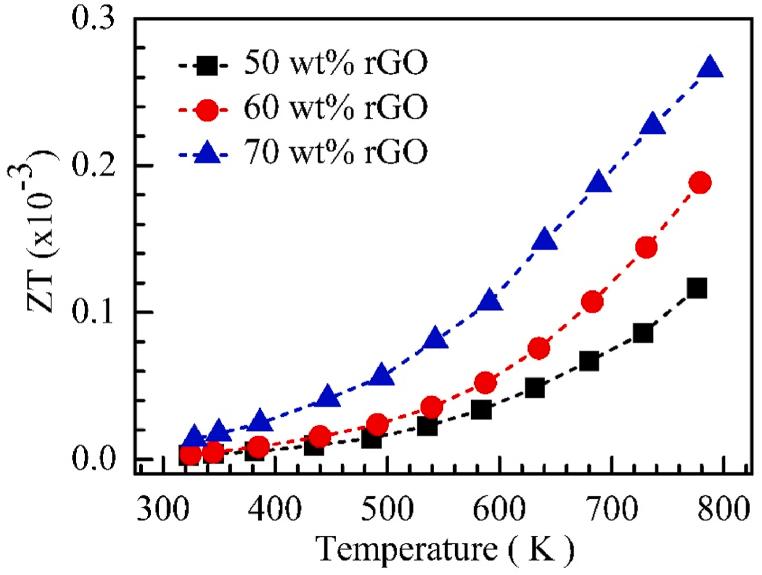
The CaAlO ceramic (C12A7) and reduced graphene oxide (rGO) composite which an ultra-high amount (i.e., 40, 50, 60, and 70 wt%) of rGO (ultra-high amount C12A7/rGO composite) were synthesized by a solid-state reaction process. After the hydraulic press, the heat treatment in the temperature range of 773 K under the argon environment had been performed with the composite pellets for 30 min. XRD results of the C12A7 and all the ultra-high amount C12A7/rGO composites indicated a pure phase of C12A7 ceramic. Raman spectra confirmed the existence of rGO content in all the ultra-high amount C12A7/rGO composites. Raman peaks also suggested reduction of the free and ions from the framework of the ultra-high amount C12A7/rGO composites. SEM image presented the homogeneous grain boundary interface after the heat treatment at 773 K of the C12A7 wrapped by the rGO sheet, the agglomerated rGO sheet, and the rough interface stack of rGO sheets. UV-VIS spectroscopy presented the absorption behavior, direct energy gap, and indirect energy gap modifications of the ultra-high amount C12A7/rGO composites. Electrical conductivity of the ultra-high amount C12A7/rGO composites illustrated larger than 10 times improvement with temperature independence. Range of -5 to -17 , temperature dependence, and increased with rGO content increasing Seebeck coefficient were reported. Thermal conductivity of the ultra-high amount C12A7/rGO composites was increased with the rGO content increasing. Both the Power factor (PF) and the figure of merit (ZT) of the ultra-high amount C12A7/rGO composites were temperature dependent and were increased with the rGO content increasing, within the range of 0.4 of PF and the range of of ZT, respectively. These experimental results verified grain boundary, modified energy band, electrical transport properties and thermoelectric properties of C12A7/rGO composites loading with ultra-high content rGO.

摘要

通过固态反应法合成了氧化钙铝陶瓷(C12A7)与还原氧化石墨烯(rGO)的复合材料,其中rGO的含量极高(即40、50、60和70 wt%)(高含量C12A7/rGO复合材料)。液压压制后,在氩气环境下对复合颗粒在773 K的温度范围内进行了30分钟的热处理。C12A7以及所有高含量C12A7/rGO复合材料的XRD结果表明为C12A7陶瓷的纯相。拉曼光谱证实了所有高含量C12A7/rGO复合材料中rGO成分的存在。拉曼峰还表明高含量C12A7/rGO复合材料骨架中的自由 和 离子被还原。扫描电子显微镜图像显示,在773 K热处理后,被rGO片包裹的C12A7、团聚的rGO片以及rGO片的粗糙界面堆叠呈现出均匀的晶界界面。紫外可见光谱呈现了高含量C12A7/rGO复合材料的吸收行为、直接能隙和间接能隙变化。高含量C12A7/rGO复合材料的电导率显示出比原来提高了10倍以上且与温度无关。报道了-5至-17 的范围、温度依赖性以及随着rGO含量增加而增大的塞贝克系数。高含量C12A7/rGO复合材料的热导率随着rGO含量的增加而升高。高含量C12A7/rGO复合材料的功率因子(PF)和品质因数(ZT)均与温度有关,且分别在PF为0.4 和ZT为 的范围内随着rGO含量的增加而增大。这些实验结果验证了高含量rGO负载的C12A7/rGO复合材料的晶界、能带改性、电输运性质和热电性质。

https://cdn.ncbi.nlm.nih.gov/pmc/blobs/e0ec/11031836/8aa98367ded8/gr1.jpg

文献AI研究员

20分钟写一篇综述,助力文献阅读效率提升50倍。

立即体验

用中文搜PubMed

大模型驱动的PubMed中文搜索引擎

马上搜索

文档翻译

学术文献翻译模型,支持多种主流文档格式。

立即体验