Ghazy Mohamed I, El-Naem Sabry A, Hefeina Ahmed G, Sallam Ahmed, Eltaher Shamseldeen
Rice Research and Training Department, Field Crops Research Institute, Agricultural Research Center, Giza, 12619, Egypt.
Department of Plant Biotechnology, Genetic Engineering and Biotechnology Research Institute (GEBRI), University of Sadat City (USC), Sadat City, 32897, Egypt.
Rice (N Y). 2024 Apr 23;17(1):29. doi: 10.1186/s12284-024-00703-1.
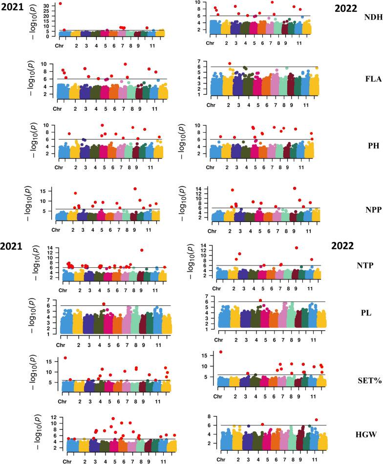
Drought has a significant impact on rice yield by restricting the crop's ability to grow and develop. Producing rice cultivars adapted to water deficit conditions is still the main interest of rice breeders and geneticists. To address this challenge, a set of 413 highly diverse rice populations were evaluated under normal and water deficit conditions for two growing seasons of 2021 and 2022. High genetic variation was found among genotypes for all studied traits. The heritability estimates ranged from 0.82 (panicle length) to 0.95 (plant height). Sterility percentage (SET%) was the most trait affected by water deficit in two growing seasons. 22 Rice genotypes were classified as drought tolerant in both years. Genome-wide association mapping was performed for all traits in the two growing seasons under both conditions using a total of 700,000 SNPs. The GWAS results revealed important and major SNPs associated with all traits. 26 Significant SNPs with stable allele effects were found to be associated with yield traits under water deficit conditions in both years. The results of this study provided rice genotypes that can be adapted under water deficit conditions and important stable SNP markers that can be used for marker-assisted selection after validation in different genetic backgrounds.
干旱通过限制水稻的生长和发育能力对水稻产量产生重大影响。培育适应水分亏缺条件的水稻品种仍然是水稻育种家和遗传学家的主要兴趣所在。为应对这一挑战,在2021年和2022年的两个生长季节,对413个高度多样化的水稻群体在正常和水分亏缺条件下进行了评估。在所有研究性状的基因型之间发现了高度的遗传变异。遗传力估计值范围从0.82(穗长)到0.95(株高)。不育率(SET%)是两个生长季节中受水分亏缺影响最大的性状。有22个水稻基因型在两年中都被归类为耐旱型。使用总共700,000个单核苷酸多态性(SNP),对两个生长季节、两种条件下的所有性状进行了全基因组关联图谱分析。全基因组关联研究(GWAS)结果揭示了与所有性状相关的重要和主要SNP。发现26个具有稳定等位基因效应的显著SNP在两年的水分亏缺条件下都与产量性状相关。本研究结果提供了可在水分亏缺条件下适应的水稻基因型,以及在不同遗传背景下验证后可用于标记辅助选择的重要稳定SNP标记。