Suppr超能文献

太空飞行中宇航员骨骼肌的亚硝化应激

Nitrosative Stress in Astronaut Skeletal Muscle in Spaceflight.

作者信息

Blottner Dieter, Moriggi Manuela, Trautmann Gabor, Furlan Sandra, Block Katharina, Gutsmann Martina, Torretta Enrica, Barbacini Pietro, Capitanio Daniele, Rittweger Joern, Limper Ulrich, Volpe Pompeo, Gelfi Cecilia, Salanova Michele

机构信息

Institute of Integrative Neuroanatomy, Charité-Universitätsmedizin Berlin, Corporate Member of Freie Universität Berlin, Humboldt-Universität zu Berlin, and Berlin Institute of Health, 10115 Berlin, Germany.

NeuroMuscular System and Signaling Group, Center of Space Medicine and Extreme Environments, 10115 Berlin, Germany.

出版信息

Antioxidants (Basel). 2024 Apr 2;13(4):432. doi: 10.3390/antiox13040432.

Abstract

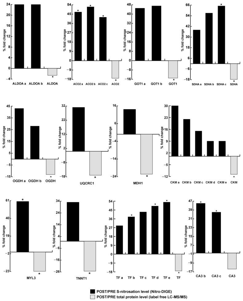
Long-duration mission (LDM) astronauts from the International Space Station (ISS) (>180 ISS days) revealed a close-to-normal sarcolemmal nitric oxide synthase type-1 (NOS1) immunoexpression in myofibers together with biochemical and quantitative qPCR changes in deep calf soleus muscle. Nitro-DIGE analyses identified functional proteins (structural, metabolic, mitochondrial) that were over-nitrosylated post- vs. preflight. In a short-duration mission (SDM) astronaut (9 ISS days), s-nitrosylation of a nodal protein of the glycolytic flux, specific proteins in tricarboxylic acid (TCA) cycle, respiratory chain, and over-nitrosylation of creatine kinase M-types as signs of impaired ATP production and muscle contraction proteins were seen. S-nitrosylation of serotransferrin (TF) or carbonic anhydrase 3 (CA3b and 3c) represented signs of acute response microgravity muscle maladaptation. LDM nitrosoprofiles reflected recovery of mitochondrial activity, contraction proteins, and iron transporter TF as signs of muscle adaptation to microgravity. Nitrosated antioxidant proteins, alcohol dehydrogenase 5/S-nitrosoglutathione reductase (ADH5/GSNOR), and selenoprotein thioredoxin reductase 1 (TXNRD1) levels indicated signs of altered redox homeostasis and reduced protection from nitrosative stress in spaceflight. This work presents a novel spaceflight-generated dataset on s-nitrosylated muscle protein signatures from astronauts that helps both to better understand the structural and molecular networks associated to muscular nitrosative stress and to design countermeasures to dysfunction and impaired performance control in human spaceflight missions.

摘要

来自国际空间站(ISS)的长期任务(LDM)宇航员(在ISS停留超过180天)显示,肌纤维中1型肌膜一氧化氮合酶(NOS1)的免疫表达接近正常,同时小腿深层比目鱼肌出现生化和定量qPCR变化。荧光差异凝胶电泳(Nitro-DIGE)分析确定了飞行后与飞行前相比过度亚硝基化的功能蛋白(结构、代谢、线粒体)。在短期任务(SDM)宇航员(在ISS停留9天)中,观察到糖酵解通量节点蛋白、三羧酸(TCA)循环和呼吸链中的特定蛋白发生S-亚硝基化,以及肌酸激酶M型过度亚硝基化,这些都是ATP生成受损和肌肉收缩蛋白受损的迹象。血清转铁蛋白(TF)或碳酸酐酶3(CA3b和3c)的S-亚硝基化代表了急性反应性微重力肌肉适应不良的迹象。LDM亚硝基化谱反映了线粒体活性、收缩蛋白和铁转运蛋白TF的恢复,这是肌肉适应微重力的迹象。亚硝基化抗氧化蛋白、乙醇脱氢酶5/ S-亚硝基谷胱甘肽还原酶(ADH5/GSNOR)和硒蛋白硫氧还蛋白还原酶1(TXNRD1)水平表明,太空飞行中氧化还原稳态改变,对亚硝化应激的保护作用降低。这项工作展示了一个来自宇航员的新型太空飞行生成的数据集,该数据集包含S-亚硝基化肌肉蛋白特征,有助于更好地理解与肌肉亚硝化应激相关的结构和分子网络,并设计应对人类太空飞行任务中功能障碍和性能控制受损的对策。

https://cdn.ncbi.nlm.nih.gov/pmc/blobs/c0dd/11047620/4bd29c969457/antioxidants-13-00432-g001.jpg

文献AI研究员

20分钟写一篇综述,助力文献阅读效率提升50倍。

立即体验

用中文搜PubMed

大模型驱动的PubMed中文搜索引擎

马上搜索

文档翻译

学术文献翻译模型,支持多种主流文档格式。

立即体验