• 文献检索
  • 文档翻译
  • 深度研究
  • 学术资讯
  • Suppr Zotero 插件Zotero 插件
  • 邀请有礼
  • 套餐&价格
  • 历史记录
应用&插件
Suppr Zotero 插件Zotero 插件浏览器插件Mac 客户端Windows 客户端微信小程序
定价
高级版会员购买积分包购买API积分包
服务
文献检索文档翻译深度研究API 文档MCP 服务
关于我们
关于 Suppr公司介绍联系我们用户协议隐私条款
关注我们

Suppr 超能文献

核心技术专利:CN118964589B侵权必究
粤ICP备2023148730 号-1Suppr @ 2026

文献检索

告别复杂PubMed语法,用中文像聊天一样搜索,搜遍4000万医学文献。AI智能推荐,让科研检索更轻松。

立即免费搜索

文件翻译

保留排版,准确专业,支持PDF/Word/PPT等文件格式,支持 12+语言互译。

免费翻译文档

深度研究

AI帮你快速写综述,25分钟生成高质量综述,智能提取关键信息,辅助科研写作。

立即免费体验

对一批保加利亚古老和现代面包小麦种质资源进行全基因组关联研究,发现了与籽粒蛋白质含量和千粒重相关的新基因组位点。

GWAS in a Collection of Bulgarian Old and Modern Bread Wheat Accessions Uncovers Novel Genomic Loci for Grain Protein Content and Thousand Kernel Weight.

作者信息

Kartseva Tania, Aleksandrov Vladimir, Alqudah Ahmad M, Arif Mian Abdur Rehman, Kocheva Konstantina, Doneva Dilyana, Prokopova Katelina, Börner Andreas, Misheva Svetlana

机构信息

Institute of Plant Physiology and Genetics, Bulgarian Academy of Sciences, Acad. G. Bonchev Str., Block 21, 1113 Sofia, Bulgaria.

Biological Science Program, Department of Biological and Environmental Sciences, College of Art and Science, Qatar University, Doha P.O. Box 2713, Qatar.

出版信息

Plants (Basel). 2024 Apr 12;13(8):1084. doi: 10.3390/plants13081084.

DOI:10.3390/plants13081084
PMID:38674493
原文链接:https://pmc.ncbi.nlm.nih.gov/articles/PMC11054703/
Abstract

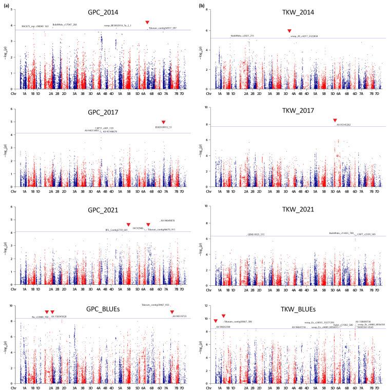
Genetic enhancement of grain production and quality is a priority in wheat breeding projects. In this study, we assessed two key agronomic traits-grain protein content (GPC) and thousand kernel weight (TKW)-across 179 Bulgarian contemporary and historic varieties and landraces across three growing seasons. Significant phenotypic variation existed for both traits among genotypes and seasons, and no discernible difference was evident between the old and modern accessions. To understand the genetic basis of the traits, we conducted a genome-wide association study with MLM using phenotypic data from the crop seasons, best linear unbiased estimators, and genotypic data from the 25K Infinium iSelect array. As a result, we detected 16 quantitative trait nucleotides (QTNs) associated with GPC and 15 associated with TKW, all of which passed the false discovery rate threshold. Seven loci favorably influenced GPC, resulting in an increase of 1.4% to 8.1%, while four loci had a positive impact on TKW with increases ranging from 1.9% to 8.4%. While some loci confirmed previously published associations, four QTNs linked to GPC on chromosomes 2A, 7A, and 7B, as well as two QTNs related to TKW on chromosomes 1B and 6A, may represent novel associations. Annotations for proteins involved in the senescence-associated nutrient remobilization and in the following buildup of resources required for seed germination have been found for selected putative candidate genes. These include genes coding for storage proteins, cysteine proteases, cellulose-synthase, alpha-amylase, transcriptional regulators, and F-box and RWP-RK family proteins. Our findings highlight promising genomic regions for targeted breeding programs aimed at improving grain yield and protein content.

摘要

提高小麦产量和品质的遗传改良是小麦育种项目的重点。在本研究中,我们在三个生长季节对179个保加利亚当代和历史品种及地方品种的两个关键农艺性状——籽粒蛋白质含量(GPC)和千粒重(TKW)进行了评估。这两个性状在基因型和季节间均存在显著的表型变异,且古老品种和现代品种之间没有明显差异。为了解这些性状的遗传基础,我们使用作物季节的表型数据、最佳线性无偏估计值以及来自25K Infinium iSelect芯片的基因型数据,通过混合线性模型(MLM)进行了全基因组关联研究。结果,我们检测到16个与GPC相关的数量性状核苷酸(QTN)和15个与TKW相关的QTN,所有这些均通过了错误发现率阈值。7个位点对GPC有正向影响,导致其增加了1.4%至8.1%,而4个位点对TKW有正向影响,增加幅度为1.9%至8.4%。虽然一些位点证实了先前发表的关联,但位于2A、7A和7B染色体上与GPC相关的4个QTN,以及位于1B和6A染色体上与TKW相关的2个QTN,可能代表新的关联。对于选定的假定候选基因,已发现与衰老相关的养分再分配以及随后种子萌发所需资源积累过程中涉及的蛋白质注释。这些基因包括编码贮藏蛋白、半胱氨酸蛋白酶、纤维素合酶、α-淀粉酶、转录调节因子以及F-box和RWP-RK家族蛋白的基因。我们的研究结果突出了有前景的基因组区域,可用于旨在提高籽粒产量和蛋白质含量的定向育种计划。

https://cdn.ncbi.nlm.nih.gov/pmc/blobs/788b/11054703/c0e172b89740/plants-13-01084-g004.jpg
https://cdn.ncbi.nlm.nih.gov/pmc/blobs/788b/11054703/b685df6638a1/plants-13-01084-g001.jpg
https://cdn.ncbi.nlm.nih.gov/pmc/blobs/788b/11054703/c65e1f28a58a/plants-13-01084-g002.jpg
https://cdn.ncbi.nlm.nih.gov/pmc/blobs/788b/11054703/055bfe141bc6/plants-13-01084-g003.jpg
https://cdn.ncbi.nlm.nih.gov/pmc/blobs/788b/11054703/c0e172b89740/plants-13-01084-g004.jpg
https://cdn.ncbi.nlm.nih.gov/pmc/blobs/788b/11054703/b685df6638a1/plants-13-01084-g001.jpg
https://cdn.ncbi.nlm.nih.gov/pmc/blobs/788b/11054703/c65e1f28a58a/plants-13-01084-g002.jpg
https://cdn.ncbi.nlm.nih.gov/pmc/blobs/788b/11054703/055bfe141bc6/plants-13-01084-g003.jpg
https://cdn.ncbi.nlm.nih.gov/pmc/blobs/788b/11054703/c0e172b89740/plants-13-01084-g004.jpg

相似文献

1
GWAS in a Collection of Bulgarian Old and Modern Bread Wheat Accessions Uncovers Novel Genomic Loci for Grain Protein Content and Thousand Kernel Weight.对一批保加利亚古老和现代面包小麦种质资源进行全基因组关联研究,发现了与籽粒蛋白质含量和千粒重相关的新基因组位点。
Plants (Basel). 2024 Apr 12;13(8):1084. doi: 10.3390/plants13081084.
2
Exploring Novel Genomic Loci and Candidate Genes Associated with Plant Height in Bulgarian Bread Wheat via Multi-Model GWAS.通过多模型全基因组关联研究探索与保加利亚面包小麦株高相关的新基因组位点和候选基因
Plants (Basel). 2024 Oct 3;13(19):2775. doi: 10.3390/plants13192775.
3
Analysis of genetic diversity and genome-wide association study for drought tolerance related traits in Iranian bread wheat.伊朗面包小麦抗旱相关性状的遗传多样性分析及全基因组关联研究。
BMC Plant Biol. 2023 Sep 15;23(1):431. doi: 10.1186/s12870-023-04416-3.
4
Genetic Variation for Protein Content and Yield-Related Traits in a Durum Population Derived From an Inter-Specific Cross Between Hexaploid and Tetraploid Wheat Cultivars.源自六倍体和四倍体小麦品种种间杂交的硬粒小麦群体中蛋白质含量及产量相关性状的遗传变异
Front Plant Sci. 2019 Nov 22;10:1509. doi: 10.3389/fpls.2019.01509. eCollection 2019.
5
Genetic dissection of grain architecture-related traits in a winter wheat population.在一个冬小麦群体中对粒型结构相关性状进行遗传剖析。
BMC Plant Biol. 2021 Sep 10;21(1):417. doi: 10.1186/s12870-021-03183-3.
6
Molecular mapping of the grain iron and zinc concentration, protein content and thousand kernel weight in wheat (Triticum aestivum L.).小麦(普通小麦)籽粒铁、锌含量、蛋白质含量及千粒重的分子图谱分析
PLoS One. 2017 Apr 6;12(4):e0174972. doi: 10.1371/journal.pone.0174972. eCollection 2017.
7
Genetic analysis of grain protein-content, grain yield and thousand-kernel weight in bread wheat.面包小麦籽粒蛋白质含量、籽粒产量和千粒重的遗传分析
Theor Appl Genet. 2003 Apr;106(6):1032-40. doi: 10.1007/s00122-002-1111-1. Epub 2002 Oct 3.
8
Association mapping reveals novel genes and genomic regions controlling grain size architecture in mini core accessions of Indian National Genebank wheat germplasm collection.关联分析揭示了控制印度国家基因库小麦种质资源微型核心种质中籽粒大小结构的新基因和基因组区域。
Front Plant Sci. 2023 Jun 28;14:1148658. doi: 10.3389/fpls.2023.1148658. eCollection 2023.
9
Genome-Wide Association Study for Grain Protein, Thousand Kernel Weight, and Normalized Difference Vegetation Index in Bread Wheat ( L.).全基因组关联研究在面包小麦(L.)中的籽粒蛋白、千粒重和归一化植被指数。
Genes (Basel). 2023 Mar 3;14(3):637. doi: 10.3390/genes14030637.
10
Genome-Wide Association Study of Kernel Traits Using a 35K SNP Array in Bread Wheat ( L.).利用35K单核苷酸多态性(SNP)芯片对面包小麦(L.)籽粒性状进行全基因组关联研究。
Front Plant Sci. 2022 Jun 6;13:905660. doi: 10.3389/fpls.2022.905660. eCollection 2022.

引用本文的文献

1
Markers Associated with Starch, Protein and Asparagine Content in Grain of Common Wheat.普通小麦籽粒中与淀粉、蛋白质和天冬酰胺含量相关的标记
Genes (Basel). 2025 May 29;16(6):661. doi: 10.3390/genes16060661.
2
Exploring Novel Genomic Loci and Candidate Genes Associated with Plant Height in Bulgarian Bread Wheat via Multi-Model GWAS.通过多模型全基因组关联研究探索与保加利亚面包小麦株高相关的新基因组位点和候选基因
Plants (Basel). 2024 Oct 3;13(19):2775. doi: 10.3390/plants13192775.

本文引用的文献

1
Wheat Grains as a Sustainable Source of Protein for Health.小麦谷物作为健康可持续的蛋白质来源。
Nutrients. 2023 Oct 17;15(20):4398. doi: 10.3390/nu15204398.
2
Genetic dissection of protein and starch during wheat grain development using QTL mapping and GWAS.利用QTL定位和全基因组关联研究对小麦籽粒发育过程中的蛋白质和淀粉进行遗传剖析。
Front Plant Sci. 2023 Jun 12;14:1189887. doi: 10.3389/fpls.2023.1189887. eCollection 2023.
3
Recent advances in the genetics underlying wheat grain protein content and grain protein deviation in hexaploid wheat.
近年来,六倍体小麦籽粒蛋白质含量和籽粒蛋白质偏差的遗传学基础研究取得了进展。
Plant Biol (Stuttg). 2023 Aug;25(5):661-670. doi: 10.1111/plb.13550. Epub 2023 Jun 28.
4
Genome-wide association mapping in elite winter wheat breeding for yield improvement.利用全基因组关联分析改良优异冬小麦品种的产量。
J Appl Genet. 2023 Sep;64(3):377-391. doi: 10.1007/s13353-023-00758-8. Epub 2023 Apr 29.
5
The translocase of the inner mitochondrial membrane 22-2 is required for mitochondrial membrane function during Arabidopsis seed development.线粒体内膜 22-2 转位酶对于拟南芥种子发育过程中线粒体膜功能是必需的。
J Exp Bot. 2023 Aug 17;74(15):4427-4448. doi: 10.1093/jxb/erad141.
6
Nutritional Genomic Approach for Improving Grain Protein Content in Wheat.提高小麦籽粒蛋白质含量的营养基因组学方法
Foods. 2023 Mar 25;12(7):1399. doi: 10.3390/foods12071399.
7
Genome-Wide Association Study for Grain Protein, Thousand Kernel Weight, and Normalized Difference Vegetation Index in Bread Wheat ( L.).全基因组关联研究在面包小麦(L.)中的籽粒蛋白、千粒重和归一化植被指数。
Genes (Basel). 2023 Mar 3;14(3):637. doi: 10.3390/genes14030637.
8
Overexpression of the elongation factor MtEF1A1 promotes salt stress tolerance in Arabidopsis thaliana and Medicago truncatula.MtEF1A1 的过表达促进拟南芥和蒺藜苜蓿的耐盐胁迫。
BMC Plant Biol. 2023 Mar 13;23(1):138. doi: 10.1186/s12870-023-04139-5.
9
Uncovering the genetic basis for quality traits in the Mediterranean old wheat germplasm and phenotypic and genomic prediction assessment by cross-validation test.揭示地中海古老小麦种质品质性状的遗传基础,并通过交叉验证试验进行表型和基因组预测评估。
Front Plant Sci. 2023 Jan 27;14:1127357. doi: 10.3389/fpls.2023.1127357. eCollection 2023.
10
Marker-trait association analyses revealed major novel QTLs for grain yield and related traits in durum wheat.标记-性状关联分析揭示了硬粒小麦籽粒产量及相关性状的主要新数量性状位点。
Front Plant Sci. 2023 Jan 26;13:1009244. doi: 10.3389/fpls.2022.1009244. eCollection 2022.