Suppr超能文献

舌面热成像作为2型糖尿病诊断的一种预测方法

Thermal Imaging of the Tongue Surface as a Predictive Method in the Diagnosis of Type 2 Diabetes Mellitus.

作者信息

Wziątek-Kuczmik Daria, Świątkowski Antoni, Cholewka Armand, Mrowiec Aleksandra, Niedzielska Iwona, Stanek Agata

机构信息

Department of Cranio-Maxillofacial Surgery, Medical University of Silesia, 40-055 Katowice, Poland.

Faculty of Science and Technology, University of Silesia, 40-007 Katowice, Poland.

出版信息

Sensors (Basel). 2024 Apr 11;24(8):2447. doi: 10.3390/s24082447.

Abstract

UNLABELLED

Over the past 20 years, the high prevalence of diabetes has become a global public health problem.

BACKGROUND

The objective of this study was to develop a non-invasive screening method for diabetes which will enable the detection of the disease at an early stage.

METHODS

This study included 63 adult patients of both sexes: 30 patients with type 2 diabetes (t2DM) and 33 healthy volunteers. The temperature distribution on the tongue's dorsum and apex surface was studied in patients after a mouth-cooling procedure had been introduced. The study used an FLIR T540 thermal imaging camera. An analysis of the correlation between the ∆T values of the tongue dorsum and apex and the glycated hemoglobin (HbA1c) level was performed.

RESULTS

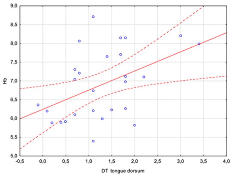
The median of the average dorsum temperature measured 10 min after mouth rinsing was almost 0.8 [°C] lower than for healthy individuals. Also, studies showed a positive average correlation with a Pearson coefficient of r = 0.46 between the HbA1c level and the ∆T of the tongue dorsum.

CONCLUSIONS

Tongue temperature measured using the IRT showed a correlation with standard biochemical parameters; it may also differentiate patients and constitute a specific screening method for patients with t2DM.

摘要

未标注

在过去20年里,糖尿病的高患病率已成为一个全球公共卫生问题。

背景

本研究的目的是开发一种糖尿病的非侵入性筛查方法,以便能够在疾病早期进行检测。

方法

本研究纳入了63名成年男女患者:30名2型糖尿病(t2DM)患者和33名健康志愿者。在引入口腔冷却程序后,研究了患者舌背和舌尖表面的温度分布。研究使用了FLIR T540热成像相机。对舌背和舌尖的∆T值与糖化血红蛋白(HbA1c)水平之间的相关性进行了分析。

结果

漱口10分钟后测量的平均舌背温度中位数比健康个体低近0.8[°C]。此外,研究表明HbA1c水平与舌背的∆T之间存在正平均相关性,皮尔逊系数r = 0.46。

结论

使用红外热成像测量的舌温与标准生化参数相关;它也可能区分患者,并构成t2DM患者的一种特定筛查方法。

https://cdn.ncbi.nlm.nih.gov/pmc/blobs/5408/11055020/1fc56b51e35b/sensors-24-02447-g001.jpg

文献AI研究员

20分钟写一篇综述,助力文献阅读效率提升50倍。

立即体验

用中文搜PubMed

大模型驱动的PubMed中文搜索引擎

马上搜索

文档翻译

学术文献翻译模型,支持多种主流文档格式。

立即体验