Suppr超能文献

富氢水补充剂可促进优秀蹼泳运动员在同一天进行两次高强度训练后的肌肉恢复:随机、双盲、安慰剂对照、交叉试验。

Hydrogen-rich water supplementation promotes muscle recovery after two strenuous training sessions performed on the same day in elite fin swimmers: randomized, double-blind, placebo-controlled, crossover trial.

作者信息

Sládečková Barbora, Botek Michal, Krejčí Jakub, Valenta Michal, McKune Andrew, Neuls Filip, Klimešová Iva

机构信息

Department of Social Sciences in Kinanthropology, Faculty of Physical Culture, Palacký University Olomouc, Olomouc, Czechia.

Department of Natural Sciences in Kinanthropology, Faculty of Physical Culture, Palacký University Olomouc, Olomouc, Czechia.

出版信息

Front Physiol. 2024 Apr 12;15:1321160. doi: 10.3389/fphys.2024.1321160. eCollection 2024.

Abstract

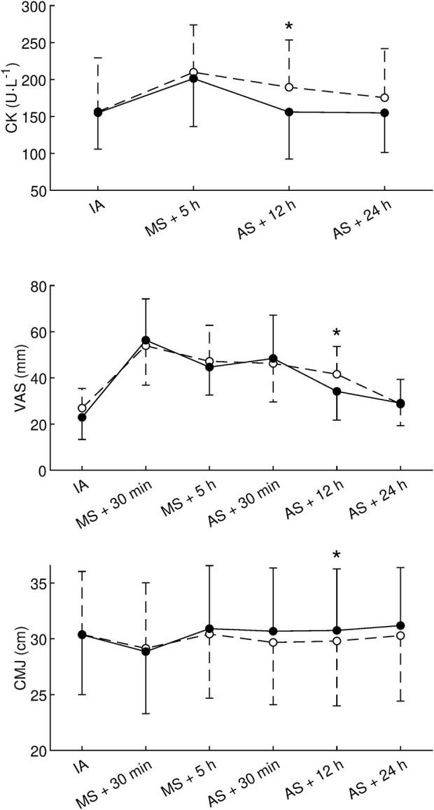
Molecular hydrogen has been shown to possess antioxidant, anti-inflammatory, ergogenic, and recovery-enhancing effects. This study aimed to assess the effect of molecular hydrogen administration on muscle performance, damage, and perception of soreness up to 24 h of recovery after two strenuous training sessions performed on the same day in elite fin swimmers. Eight females (mean ± SD; age 21.5 ± 5.0 years, maximal oxygen consumption 45.0 ± 2.5 mL.kg.min) and four males (age 18.9 ± 1.3 years, maximal oxygen consumption 52.2 ± 1.7 mL.kg.min) performed 12 × 50 m sprints in the morning session and a 400 m competitive performance in the afternoon session. Participants consumed hydrogen-rich water (HRW) or placebo 3 days before the sessions (1,260 mL/day) and 2,520 mL on the experimental day. Muscle performance (countermovement jump), muscle damage (creatine kinase), and muscle soreness (100 mm visual analogue scale) were measured during the experimental day and at 12 and 24 h after the afternoon session. HRW compared to placebo reduced blood activity of creatine kinase (156 ± 63 vs. 190 ± 64 U.L, = 0.043), muscle soreness perception (34 ± 12 vs. 42 ± 12 mm, = 0.045), and improved countermovement jump height (30.7 ± 5.5 cm vs. 29.8 ± 5.8 cm, = 0.014) at 12 h after the afternoon session. Four days of HRW supplementation is a promising hydration strategy for promoting muscle recovery after two strenuous training sessions performed on the same day in elite fin swimmers. clinicaltrials.gov, identifier NCT05799911.

摘要

分子氢已被证明具有抗氧化、抗炎、促力和增强恢复的作用。本研究旨在评估在精英蹼泳运动员同一天进行两次高强度训练后,给予分子氢对肌肉性能、损伤以及长达24小时恢复过程中肌肉酸痛感的影响。8名女性(平均±标准差;年龄21.5±5.0岁,最大耗氧量45.0±2.5mL·kg·min)和4名男性(年龄18.9±1.3岁,最大耗氧量52.2±1.7mL·kg·min)在上午时段进行了12组50米冲刺,下午时段进行了400米竞技表现测试。参与者在训练前3天(1260毫升/天)和实验当天饮用富氢水(HRW)或安慰剂(2520毫升)。在实验当天以及下午训练后12小时和24小时测量肌肉性能(反向移动跳跃)、肌肉损伤(肌酸激酶)和肌肉酸痛(100毫米视觉模拟量表)。与安慰剂相比,富氢水在下午训练后12小时降低了肌酸激酶的血液活性(156±63 vs. 190±64 U/L,P = 0.043)、肌肉酸痛感(34±12 vs. 42±12毫米,P = 0.045),并提高了反向移动跳跃高度(30.7±5.5厘米 vs. 29.8±5.8厘米,P = 0.014)。对于精英蹼泳运动员同一天进行两次高强度训练后的肌肉恢复,连续四天补充富氢水是一种有前景的补水策略。clinicaltrials.gov,标识符NCT05799911。

https://cdn.ncbi.nlm.nih.gov/pmc/blobs/b53d/11046232/509c9357c31e/fphys-15-1321160-g001.jpg

文献AI研究员

20分钟写一篇综述,助力文献阅读效率提升50倍。

立即体验

用中文搜PubMed

大模型驱动的PubMed中文搜索引擎

马上搜索

文档翻译

学术文献翻译模型,支持多种主流文档格式。

立即体验