Suppr超能文献

海藻多酚对玉米淀粉凝胶流变学及消化特性和无麸质面包特性的影响

Effect of polyphenols from seaweeds on the rheology and digestion of corn starch gels and gluten-free bread features.

作者信息

Montes Leticia, Santamaria Maria, Garzon Raquel, Rosell Cristina M, Moreira Ramón

机构信息

Department of Chemical Engineering, Universidade de Santiago de Compostela, rúa Lope Gómez de Marzoa, s/n. 15782, Santiago de Compostela, Spain.

Institute of Agrochemistry and Food Technology (IATA-CSIC), C/Agustin Escardino, 7, 46980, Paterna, Spain.

出版信息

Heliyon. 2024 Mar 8;10(7):e27469. doi: 10.1016/j.heliyon.2024.e27469. eCollection 2024 Apr 15.

Abstract

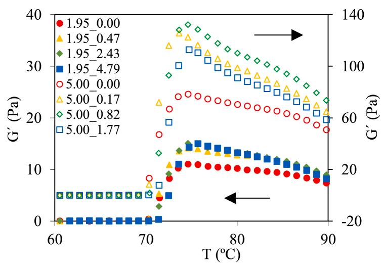
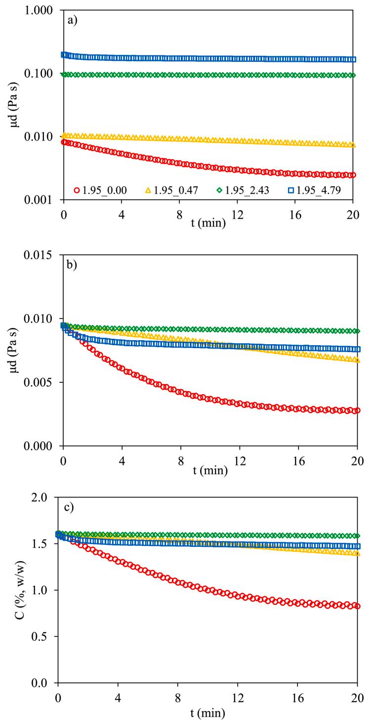
The main objective of this work is to study the effect of polyphenols, from the brown seaweed , on the structure and digestion behaviour of gels at two corn starch concentrations (1.95 and 5.00% w/w) as well as the structure, color and texture features of crumbs from gluten-free breads. Adsorption isotherms of polyphenols on native and gelled starches were carried out and modelled by means of Langmuir and Henry models, respectively. The formation and characteristics of tested gels were rheologically monitored by means of heating ramp, time sweep at high temperature, cooling ramp and frequency sweep at 25 °C. Elastic modulus values decreased with the presence of polyphenols. Additionally, the polyphenols significantly decreased the digestion rate, measured by both chemical and rheological procedures, and the final concentration of digested starch. Finally, the presence of polyphenols in breads increased the hardness and chewiness values and decreased the cohesiveness and resilience values as well as the crumb hardening during storage.

摘要

这项工作的主要目的是研究来自褐藻的多酚对两种玉米淀粉浓度(1.95%和5.00% w/w)下凝胶的结构和消化行为的影响,以及无麸质面包面包屑的结构、颜色和质地特征。分别通过朗缪尔模型和亨利模型对多酚在天然淀粉和凝胶化淀粉上的吸附等温线进行了测定和建模。通过加热升温、高温下的时间扫描、冷却升温和25℃下的频率扫描对流变学监测测试凝胶的形成和特性。弹性模量值随多酚的存在而降低。此外,多酚显著降低了通过化学和流变学方法测得的消化率以及消化淀粉的最终浓度。最后,面包中多酚的存在增加了硬度和咀嚼度值,降低了内聚性和回弹性值以及储存期间面包屑的硬化程度。

https://cdn.ncbi.nlm.nih.gov/pmc/blobs/82fe/11059404/62e4de71b76f/gr1.jpg

文献AI研究员

20分钟写一篇综述,助力文献阅读效率提升50倍。

立即体验

用中文搜PubMed

大模型驱动的PubMed中文搜索引擎

马上搜索

文档翻译

学术文献翻译模型,支持多种主流文档格式。

立即体验