• 文献检索
  • 文档翻译
  • 深度研究
  • 学术资讯
  • Suppr Zotero 插件Zotero 插件
  • 邀请有礼
  • 套餐&价格
  • 历史记录
应用&插件
Suppr Zotero 插件Zotero 插件浏览器插件Mac 客户端Windows 客户端微信小程序
定价
高级版会员购买积分包购买API积分包
服务
文献检索文档翻译深度研究API 文档MCP 服务
关于我们
关于 Suppr公司介绍联系我们用户协议隐私条款
关注我们

Suppr 超能文献

核心技术专利:CN118964589B侵权必究
粤ICP备2023148730 号-1Suppr @ 2026

文献检索

告别复杂PubMed语法,用中文像聊天一样搜索,搜遍4000万医学文献。AI智能推荐,让科研检索更轻松。

立即免费搜索

文件翻译

保留排版,准确专业,支持PDF/Word/PPT等文件格式,支持 12+语言互译。

免费翻译文档

深度研究

AI帮你快速写综述,25分钟生成高质量综述,智能提取关键信息,辅助科研写作。

立即免费体验

新冠病毒肺炎引起的高白细胞介素-6 水平与奥密克戎突破性感染急性期循环滤泡辅助 T 细胞频率增加和强烈的中和抗体反应相关。

High interleukin-6 levels induced by COVID-19 pneumonia correlate with increased circulating follicular helper T cell frequency and strong neutralization antibody response in the acute phase of Omicron breakthrough infection.

机构信息

Department of Clinical Infectious Diseases, Toyama University Graduate School of Medicine and Pharmaceutical Sciences, Toyama, Japan.

Department of Microbiology, Toyama University Graduate School of Medicine and Pharmaceutical Sciences, Toyama, Japan.

出版信息

Front Immunol. 2024 Apr 17;15:1377014. doi: 10.3389/fimmu.2024.1377014. eCollection 2024.

DOI:10.3389/fimmu.2024.1377014
PMID:38694512
原文链接:https://pmc.ncbi.nlm.nih.gov/articles/PMC11061453/
Abstract

BACKGROUND

Acute immune responses to coronavirus disease 2019 (COVID-19) are influenced by variants, vaccination, and clinical severity. Thus, the outcome of these responses may differ between vaccinated and unvaccinated patients and those with and without COVID-19-related pneumonia. In this study, these differences during infection with the Omicron variant were investigated.

METHODS

A total of 67 patients (including 47 vaccinated and 20 unvaccinated patients) who were hospitalized within 5 days after COVID-19 symptom onset were enrolled in this prospective observational study. Serum neutralizing activity was evaluated using a pseudotyped virus assay and serum cytokines and chemokines were measured. Circulating follicular helper T cell (cTfh) frequencies were evaluated using flow cytometry.

RESULTS

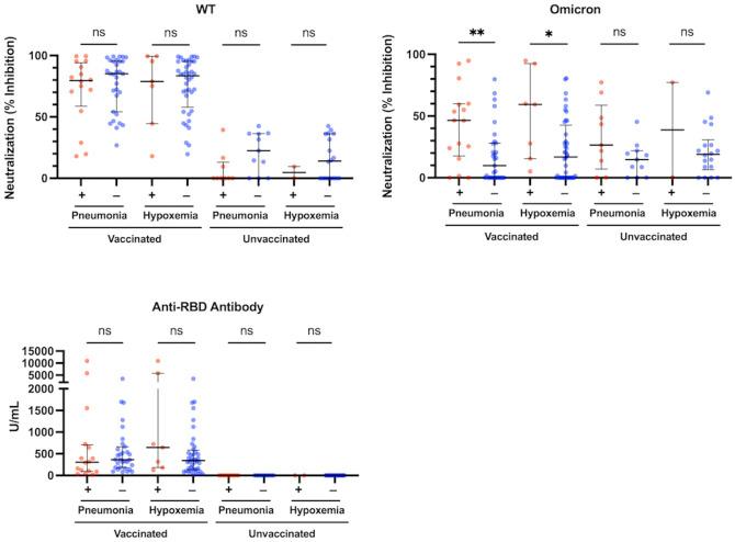
Twenty-five patients developed COVID-19 pneumonia on hospitalization. Although the neutralizing activities against wild-type and Delta variants were higher in the vaccinated group, those against the Omicron variant as well as the frequency of developing pneumonia were comparable between the vaccinated and unvaccinated groups. IL-6 and CXCL10 levels were higher in patients with pneumonia than in those without it, regardless of their vaccination status. Neutralizing activity against the Omicron variant were higher in vaccinated patients with pneumonia than in those without it. Moreover, a distinctive correlation between neutralizing activity against Omicron, IL-6 levels, and cTfh proportions was observed only in vaccinated patients.

CONCLUSIONS

The present study demonstrates the existence of a characteristic relationship between neutralizing activity against Omicron, IL-6 levels, and cTfh proportions in Omicron breakthrough infection.

摘要

背景

新型冠状病毒病 2019(COVID-19)的急性免疫反应受变体、疫苗接种和临床严重程度的影响。因此,这些反应的结果可能在接种和未接种疫苗的患者以及有和没有 COVID-19 相关肺炎的患者之间有所不同。在这项研究中,研究了奥密克戎变体感染期间的这些差异。

方法

这项前瞻性观察性研究共纳入了 67 名在 COVID-19 症状出现后 5 天内住院的患者(包括 47 名接种疫苗和 20 名未接种疫苗的患者)。使用假型病毒测定法评估血清中和活性,并用流式细胞术评估循环滤泡辅助 T 细胞(cTfh)的频率。

结果

25 名患者在住院期间发生 COVID-19 肺炎。尽管接种组对野生型和 Delta 变体的中和活性较高,但接种组和未接种组对奥密克戎变体的中和活性以及发生肺炎的频率相当。无论接种状态如何,肺炎患者的 IL-6 和 CXCL10 水平均高于无肺炎患者。接种组有肺炎的患者对奥密克戎变体的中和活性高于无肺炎的患者。此外,仅在接种组中观察到奥密克戎变体的中和活性、IL-6 水平和 cTfh 比例之间存在独特的相关性。

结论

本研究表明,奥密克戎突破感染中存在奥密克戎变体的中和活性、IL-6 水平和 cTfh 比例之间的特征性关系。

https://cdn.ncbi.nlm.nih.gov/pmc/blobs/cf4a/11061453/efbfe0928d44/fimmu-15-1377014-g005.jpg
https://cdn.ncbi.nlm.nih.gov/pmc/blobs/cf4a/11061453/6fa6470eed82/fimmu-15-1377014-g001.jpg
https://cdn.ncbi.nlm.nih.gov/pmc/blobs/cf4a/11061453/166be5ce5612/fimmu-15-1377014-g002.jpg
https://cdn.ncbi.nlm.nih.gov/pmc/blobs/cf4a/11061453/9a896407432c/fimmu-15-1377014-g003.jpg
https://cdn.ncbi.nlm.nih.gov/pmc/blobs/cf4a/11061453/1c26beb6fd7e/fimmu-15-1377014-g004.jpg
https://cdn.ncbi.nlm.nih.gov/pmc/blobs/cf4a/11061453/efbfe0928d44/fimmu-15-1377014-g005.jpg
https://cdn.ncbi.nlm.nih.gov/pmc/blobs/cf4a/11061453/6fa6470eed82/fimmu-15-1377014-g001.jpg
https://cdn.ncbi.nlm.nih.gov/pmc/blobs/cf4a/11061453/166be5ce5612/fimmu-15-1377014-g002.jpg
https://cdn.ncbi.nlm.nih.gov/pmc/blobs/cf4a/11061453/9a896407432c/fimmu-15-1377014-g003.jpg
https://cdn.ncbi.nlm.nih.gov/pmc/blobs/cf4a/11061453/1c26beb6fd7e/fimmu-15-1377014-g004.jpg
https://cdn.ncbi.nlm.nih.gov/pmc/blobs/cf4a/11061453/efbfe0928d44/fimmu-15-1377014-g005.jpg

相似文献

1
High interleukin-6 levels induced by COVID-19 pneumonia correlate with increased circulating follicular helper T cell frequency and strong neutralization antibody response in the acute phase of Omicron breakthrough infection.新冠病毒肺炎引起的高白细胞介素-6 水平与奥密克戎突破性感染急性期循环滤泡辅助 T 细胞频率增加和强烈的中和抗体反应相关。
Front Immunol. 2024 Apr 17;15:1377014. doi: 10.3389/fimmu.2024.1377014. eCollection 2024.
2
T follicular helper cells in the humoral immune response to SARS-CoV-2 infection and vaccination.T 滤泡辅助细胞在 SARS-CoV-2 感染和疫苗接种的体液免疫反应中的作用。
J Leukoc Biol. 2022 Feb;111(2):355-365. doi: 10.1002/JLB.5MR0821-464R. Epub 2021 Nov 3.
3
Immune responses during COVID-19 breakthrough cases in vaccinated children and adolescents.接种疫苗的儿童和青少年在 COVID-19 突破性病例期间的免疫反应。
Front Immunol. 2024 May 15;15:1372193. doi: 10.3389/fimmu.2024.1372193. eCollection 2024.
4
Wild-type SARS-CoV-2 neutralizing immunity decreases across variants and over time but correlates well with diagnostic testing.野生型 SARS-CoV-2 中和抗体的免疫活性会随着时间推移和变异株的不同而降低,但与诊断检测有很好的相关性。
Front Immunol. 2023 Feb 8;14:1055429. doi: 10.3389/fimmu.2023.1055429. eCollection 2023.
5
SARS-CoV-2 Omicron infection augments the magnitude and durability of systemic and mucosal immunity in triple-dose CoronaVac recipients.奥密克戎变异株感染增强了三剂科兴疫苗接种者的全身性和黏膜免疫的幅度和持久性。
mBio. 2024 Apr 10;15(4):e0240723. doi: 10.1128/mbio.02407-23. Epub 2024 Mar 8.
6
Omicron neutralization character in patients with breast cancer and liver cancer after the nationwide omicron outbreak.全国性奥密克戎疫情后乳腺癌和肝癌患者的奥密克戎中和特性。
Cancer Med. 2024 Jun;13(11):e7304. doi: 10.1002/cam4.7304.
7
SARS-CoV-2-specific circulating T follicular helper cells correlate with neutralizing antibodies and increase during early convalescence.SARS-CoV-2 特异性循环滤泡辅助 T 细胞与中和抗体相关,并在早期康复期间增加。
PLoS Pathog. 2021 Jul 16;17(7):e1009761. doi: 10.1371/journal.ppat.1009761. eCollection 2021 Jul.
8
Omicron variant showed lower neutralizing sensitivity than other SARS-CoV-2 variants to immune sera elicited by vaccines after boost.奥密克戎变异株对疫苗加强后免疫血清的中和敏感性低于其他 SARS-CoV-2 变异株。
Emerg Microbes Infect. 2022 Dec;11(1):337-343. doi: 10.1080/22221751.2021.2022440.
9
Neutralizing Antibody Responses against Five SARS-CoV-2 Variants and T Lymphocyte Change after Vaccine Breakthrough Infections from the SARS-CoV-2 Omicron BA.1 Variant in Tianjin, China: A Prospective Study.中国天津地区针对 SARS-CoV-2 奥密克戎 BA.1 变异株疫苗突破性感染后五种 SARS-CoV-2 变异株的中和抗体反应和 T 淋巴细胞变化的前瞻性研究。
Biomed Environ Sci. 2023 Jul 20;36(7):614-624. doi: 10.3967/bes2023.047.
10
Low neutralization of SARS-CoV-2 Omicron BA.5.2.48 and XBB.1 sub-variants in response to breakthrough infection by booster.针对突破性感染,针对奥密克戎 BA.5.2.48 和 XBB.1 亚变种的中和抗体水平较低。
Vaccine. 2024 Jul 11;42(18):3751-3755. doi: 10.1016/j.vaccine.2024.04.093. Epub 2024 May 6.

引用本文的文献

1
Influence of anti-Spike protein antibody levels on tocilizumab efficacy in hospitalized patients with severe COVID-19 pneumonia: a post-hoc analysis of the COVACTA trial.抗刺突蛋白抗体水平对托珠单抗治疗重症COVID-19肺炎住院患者疗效的影响:COVACTA试验的事后分析
BMC Infect Dis. 2025 May 8;25(1):676. doi: 10.1186/s12879-025-11001-6.
2
Successful 30-Day Nirmatrelvir/Ritonavir Treatment of a Patient Who Developed Multi-relapsed COVID-19 After Receiving R-CHOP Against Follicular Lymphoma.尼马曲韦/利托那韦成功治疗1例接受R-CHOP方案治疗滤泡性淋巴瘤后发生多次复发新型冠状病毒肺炎的患者
Cureus. 2025 Feb 14;17(2):e79019. doi: 10.7759/cureus.79019. eCollection 2025 Feb.
3

本文引用的文献

1
Predictive values of immune indicators on respiratory failure in the early phase of COVID-19 due to Delta and precedent variants.德尔塔和之前变异株引起的 COVID-19 早期呼吸衰竭的免疫指标预测值。
Front Immunol. 2023 Sep 4;14:1197436. doi: 10.3389/fimmu.2023.1197436. eCollection 2023.
2
Predicting vaccine effectiveness against severe COVID-19 over time and against variants: a meta-analysis.预测疫苗对 COVID-19 重症的长期有效性和对变异株的有效性:一项荟萃分析。
Nat Commun. 2023 Mar 24;14(1):1633. doi: 10.1038/s41467-023-37176-7.
3
Neutralizing Antibody Response of the Wild-Type/Omicron BA.1 Bivalent Vaccine as the Second Booster Dose against Omicron BA.2 and BA.5.
Immune and inflammation features of severe and critical Omicron infected patients during Omicron wave in China.
中国奥密克戎流行期间,重症和危重症奥密克戎感染患者的免疫和炎症特征。
BMC Infect Dis. 2024 Aug 9;24(1):809. doi: 10.1186/s12879-024-09652-y.
野生型/奥密克戎BA.1二价疫苗作为针对奥密克戎BA.2和BA.5的第二剂加强针的中和抗体反应。
Microbiol Spectr. 2023 Mar 22;11(2):e0513122. doi: 10.1128/spectrum.05131-22.
4
Changes in COVID-19 CT Manifestations with Vaccination and the Omicron Variant.接种疫苗及奥密克戎变异株对新型冠状病毒肺炎CT表现的影响
Radiology. 2023 May;307(3):e230454. doi: 10.1148/radiol.230454. Epub 2023 Mar 7.
5
Neutralization of Omicron subvariants BA.1 and BA.5 by a booster dose of COVID-19 mRNA vaccine in a Japanese nursing home cohort.接种 COVID-19 mRNA 疫苗加强针对日本养老院队列中奥密克戎亚变种 BA.1 和 BA.5 的中和作用。
Vaccine. 2023 Mar 24;41(13):2234-2242. doi: 10.1016/j.vaccine.2023.02.068. Epub 2023 Feb 27.
6
Outbreak.info genomic reports: scalable and dynamic surveillance of SARS-CoV-2 variants and mutations.暴发信息基因组报告:可扩展和动态监测 SARS-CoV-2 变体和突变。
Nat Methods. 2023 Apr;20(4):512-522. doi: 10.1038/s41592-023-01769-3. Epub 2023 Feb 23.
7
Association of subpleural ground-glass opacities with respiratory failure and RNAemia in COVID-19.COVID-19 中次胸膜磨玻璃影与呼吸衰竭和 RNA 血症的关系。
Eur Radiol. 2023 Jul;33(7):4713-4722. doi: 10.1007/s00330-023-09427-0. Epub 2023 Feb 3.
8
SARS-CoV-2 variant biology: immune escape, transmission and fitness.SARS-CoV-2 变体生物学:免疫逃逸、传播和适应性。
Nat Rev Microbiol. 2023 Mar;21(3):162-177. doi: 10.1038/s41579-022-00841-7. Epub 2023 Jan 18.
9
Infectiousness of SARS-CoV-2 breakthrough infections and reinfections during the Omicron wave.奥密克戎变异株流行期间 SARS-CoV-2 突破性感染和再感染的传染性。
Nat Med. 2023 Feb;29(2):358-365. doi: 10.1038/s41591-022-02138-x. Epub 2023 Jan 2.
10
The role of IL-6 in coronavirus, especially in COVID-19.白细胞介素-6在冠状病毒中的作用,尤其是在新型冠状病毒肺炎中的作用。
Front Pharmacol. 2022 Nov 23;13:1033674. doi: 10.3389/fphar.2022.1033674. eCollection 2022.