Suppr超能文献

262例距骨骨软骨损伤关节镜下骨髓刺激术的十年生存率为82%。

Ten-Year Survival Rate of 82% in 262 Cases of Arthroscopic Bone Marrow Stimulation for Osteochondral Lesions of the Talus.

作者信息

Rikken Quinten G H, Aalders Margot B, Dahmen Jari, Sierevelt Inger N, Stufkens Sjoerd A S, Kerkhoffs Gino M M J

机构信息

Department of Orthopedic Surgery and Sports Medicine, Amsterdam UMC, University of Amsterdam, Amsterdam, The Netherlands.

Sports and Musculoskeletal Health Programs, Amsterdam Movement Sciences, Amsterdam, The Netherlands.

出版信息

J Bone Joint Surg Am. 2024 Jul 17;106(14):1268-1276. doi: 10.2106/JBJS.23.01186. Epub 2024 May 10.

Abstract

BACKGROUND

The long-term sustainability of arthroscopic bone marrow stimulation (BMS) for osteochondral lesions of the talus (OLT) remains a matter of debate. The primary aim of the present study was to assess the 10-year survival free from revision in ankles that had undergone arthroscopic BMS for an OLT. The secondary aim was to evaluate the influence of baseline patient and lesion characteristics on survival.

METHODS

Patients who underwent arthroscopic BMS for a symptomatic OLT and had a minimum follow-up of 10 years were included to assess procedure survival. The primary outcome, the 10-year cumulative survival rate, was analyzed by the Kaplan-Meier survival method. Secondary outcomes were the median time to revision and the effects of baseline factors (lesion size, primary or non-primary lesion type, preoperative cysts, and obesity as defined by a body mass index [BMI] of ≥30 kg/m 2 ) on survival, analyzed with a Cox regression model and reported using hazard ratios (HRs).

RESULTS

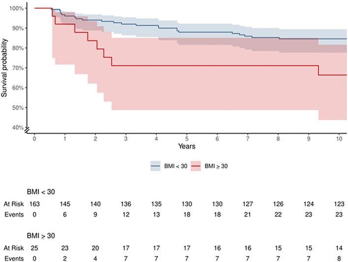
The 262 included patients had a mean follow-up of 15.3 ± 4.8 years. The 10-year cumulative survival rate of the arthroscopic BMS procedures was 82% (95% confidence interval [CI]: 77% to 87%). At 15 years of follow-up, the cumulative survival rate was 82% (95% CI: 76% to 86%). The median time to revision was 2.4 years (interquartile range: 1.3 to 5.1 years). Of the baseline factors, obesity (HR: 3.0 [95% CI: 1.44 to 6.43], p < 0.01) was associated with decreased survival. Lesion size (HR: 0.9 [95% CI: 0.5 to 1.8], p = 0.8), non-primary lesion type (HR: 1.8 [95% CI: 0.9 to 3.4], p = 0.1), and the presence of preoperative cysts (HR: 1.0 [95% CI: 0.6 to 1.9], p = 0.9) were not significantly associated with survival.

CONCLUSIONS

At a minimum follow-up of 10 years, the survival rate of arthroscopic BMS for OLT was 82%. At 15 and 20 years of follow-up, survival appeared to remain stable. Obesity (BMI ≥ 30 kg/m 2 ) was associated with a higher likelihood of revision surgery. This risk factor should be incorporated into the treatment algorithm for OLT when counseling patients regarding surgery.

LEVEL OF EVIDENCE

Therapeutic Level IV . See Instructions for Authors for a complete description of levels of evidence.

摘要

背景

关节镜下骨髓刺激术(BMS)治疗距骨骨软骨损伤(OLT)的长期可持续性仍存在争议。本研究的主要目的是评估接受关节镜下BMS治疗OLT的踝关节10年无翻修生存率。次要目的是评估基线患者和损伤特征对生存率的影响。

方法

纳入接受关节镜下BMS治疗有症状OLT且至少随访10年的患者,以评估手术生存率。采用Kaplan-Meier生存法分析主要结局,即10年累积生存率。次要结局为翻修的中位时间以及基线因素(损伤大小、原发性或非原发性损伤类型、术前囊肿以及体重指数[BMI]≥30 kg/m²定义的肥胖)对生存率的影响,采用Cox回归模型进行分析,并以风险比(HRs)报告。

结果

纳入的262例患者平均随访15.3±4.8年。关节镜下BMS手术的10年累积生存率为82%(95%置信区间[CI]:77%至87%)。随访15年时,累积生存率为82%(95%CI:76%至86%)。翻修的中位时间为2.4年(四分位间距:1.3至5.1年)。在基线因素中,肥胖(HR:3.0[95%CI:1.44至6.43],p<0.01)与生存率降低相关。损伤大小(HR:0.9[95%CI:0.5至1.8],p = 0.8)、非原发性损伤类型(HR:1.8[95%CI:0.9至3.4],p = 0.1)和术前囊肿的存在(HR:1.0[95%CI:0.6至1.9],p = 0.9)与生存率无显著相关性。

结论

至少随访10年时,关节镜下BMS治疗OLT的生存率为82%。随访15年和20年时,生存率似乎保持稳定。肥胖(BMI≥30 kg/m²)与翻修手术的可能性较高相关。在为患者提供手术咨询时,应将此风险因素纳入OLT的治疗方案中。

证据水平

治疗性IV级。有关证据水平的完整描述,请参阅作者指南。

https://cdn.ncbi.nlm.nih.gov/pmc/blobs/7dbc/11608585/4ec564ad3848/jbjsam-106-1268-g001.jpg

文献检索

告别复杂PubMed语法,用中文像聊天一样搜索,搜遍4000万医学文献。AI智能推荐,让科研检索更轻松。

立即免费搜索

文件翻译

保留排版,准确专业,支持PDF/Word/PPT等文件格式,支持 12+语言互译。

免费翻译文档

深度研究

AI帮你快速写综述,25分钟生成高质量综述,智能提取关键信息,辅助科研写作。

立即免费体验