• 文献检索
  • 文档翻译
  • 深度研究
  • 学术资讯
  • Suppr Zotero 插件Zotero 插件
  • 邀请有礼
  • 套餐&价格
  • 历史记录
应用&插件
Suppr Zotero 插件Zotero 插件浏览器插件Mac 客户端Windows 客户端微信小程序
定价
高级版会员购买积分包购买API积分包
服务
文献检索文档翻译深度研究API 文档MCP 服务
关于我们
关于 Suppr公司介绍联系我们用户协议隐私条款
关注我们

Suppr 超能文献

核心技术专利:CN118964589B侵权必究
粤ICP备2023148730 号-1Suppr @ 2026

文献检索

告别复杂PubMed语法,用中文像聊天一样搜索,搜遍4000万医学文献。AI智能推荐,让科研检索更轻松。

立即免费搜索

文件翻译

保留排版,准确专业,支持PDF/Word/PPT等文件格式,支持 12+语言互译。

免费翻译文档

深度研究

AI帮你快速写综述,25分钟生成高质量综述,智能提取关键信息,辅助科研写作。

立即免费体验

纯LaMnO薄膜及Sr掺杂LaMnO薄膜的声子与电导率特性的理论研究

Theoretical Study of the Phonon and Electrical Conductivity Properties of Pure and Sr-Doped LaMnO Thin Films.

作者信息

Apostolov Angel T, Apostolova Iliana N, Wesselinowa Julia Mihailowa

机构信息

University of Architecture, Civil Engineering and Geodesy, 1046 Sofia, Bulgaria.

University of Forestry, 1756 Sofia, Bulgaria.

出版信息

Materials (Basel). 2024 Apr 25;17(9):1995. doi: 10.3390/ma17091995.

DOI:10.3390/ma17091995
PMID:38730802
原文链接:https://pmc.ncbi.nlm.nih.gov/articles/PMC11084410/
Abstract

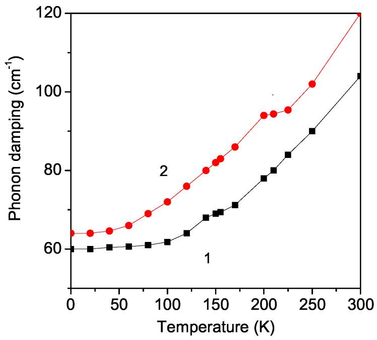
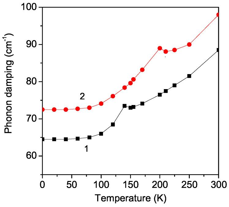
The film thickness, temperature, substrate and doping dependence of the phonon energy ω and damping γ, as well as the electrical conductivity, of pure and Sr-doped LaMnO thin films near the phase transition temperature TN are investigated using a microscopic model and the Green's function technique. Due to the strong spin-phonon interaction, there appears a kink at TN in the temperature dependence of ω(T) and γ(T). The softening and hardening of the ω = 495 cm (A) and ω = 614 cm (B) modes is explained by the different sign of the anharmonic spin-phonon interaction constant . The damping increases with for both cases because it is proportional to R2. ω decreases whereas γ increases with an increasing Sr concentration. This is due to the strain caused by the difference between the ionic radii of the La and Sr ions. The film thickness dependence is also considered. ω and γ increase strongly with the decreasing film thickness. The electrical conductivity is enhanced after the doping of the LMO thin films with Sr, which could be used for energy storage applications. The observed results are in good qualitative agreement with the experimental data.

摘要

利用微观模型和格林函数技术,研究了纯LaMnO薄膜和掺Sr的LaMnO薄膜在相变温度TN附近的薄膜厚度、温度、衬底以及掺杂对声子能量ω和阻尼γ的影响,以及电导率的影响。由于强烈的自旋-声子相互作用,ω(T)和γ(T)的温度依赖性在TN处出现一个扭折。ω = 495 cm(A)和ω = 614 cm(B)模式的软化和硬化是由非谐自旋-声子相互作用常数的不同符号来解释的。两种情况下阻尼都随 增加,因为它与R2成正比。随着Sr浓度的增加,ω减小而γ增加。这是由于La和Sr离子的离子半径差异引起的应变。还考虑了薄膜厚度依赖性。ω和γ随薄膜厚度的减小而强烈增加。用Sr掺杂LMO薄膜后电导率增强,这可用于能量存储应用。观察结果与实验数据在定性上吻合良好。

https://cdn.ncbi.nlm.nih.gov/pmc/blobs/3011/11084410/c3a65e95ea5e/materials-17-01995-g006.jpg
https://cdn.ncbi.nlm.nih.gov/pmc/blobs/3011/11084410/0cbab4e954d6/materials-17-01995-g001.jpg
https://cdn.ncbi.nlm.nih.gov/pmc/blobs/3011/11084410/87d8c3147d3a/materials-17-01995-g002.jpg
https://cdn.ncbi.nlm.nih.gov/pmc/blobs/3011/11084410/930556bd62ad/materials-17-01995-g003.jpg
https://cdn.ncbi.nlm.nih.gov/pmc/blobs/3011/11084410/08bfa373512f/materials-17-01995-g004.jpg
https://cdn.ncbi.nlm.nih.gov/pmc/blobs/3011/11084410/28538b282216/materials-17-01995-g005.jpg
https://cdn.ncbi.nlm.nih.gov/pmc/blobs/3011/11084410/c3a65e95ea5e/materials-17-01995-g006.jpg
https://cdn.ncbi.nlm.nih.gov/pmc/blobs/3011/11084410/0cbab4e954d6/materials-17-01995-g001.jpg
https://cdn.ncbi.nlm.nih.gov/pmc/blobs/3011/11084410/87d8c3147d3a/materials-17-01995-g002.jpg
https://cdn.ncbi.nlm.nih.gov/pmc/blobs/3011/11084410/930556bd62ad/materials-17-01995-g003.jpg
https://cdn.ncbi.nlm.nih.gov/pmc/blobs/3011/11084410/08bfa373512f/materials-17-01995-g004.jpg
https://cdn.ncbi.nlm.nih.gov/pmc/blobs/3011/11084410/28538b282216/materials-17-01995-g005.jpg
https://cdn.ncbi.nlm.nih.gov/pmc/blobs/3011/11084410/c3a65e95ea5e/materials-17-01995-g006.jpg

相似文献

1
Theoretical Study of the Phonon and Electrical Conductivity Properties of Pure and Sr-Doped LaMnO Thin Films.纯LaMnO薄膜及Sr掺杂LaMnO薄膜的声子与电导率特性的理论研究
Materials (Basel). 2024 Apr 25;17(9):1995. doi: 10.3390/ma17091995.
2
Theoretical Study of the Phonon Energy and Specific Heat of Ion-Doped LiCsSO-Bulk and Nanoparticles.离子掺杂的块状和纳米级LiCsSO的声子能量与比热的理论研究
Materials (Basel). 2024 Jun 11;17(12):2845. doi: 10.3390/ma17122845.
3
Magnetic ordering effects in the phonon spectra of orthorhombic RMnO(3) compounds.正交晶系RMnO₃化合物声子谱中的磁有序效应
J Phys Condens Matter. 2007 Apr 30;19(17):176211. doi: 10.1088/0953-8984/19/17/176211. Epub 2007 Mar 30.
4
Multiferroic, Phonon and Optical Properties of Pure and Ion-Doped YFeO Nanoparticles.纯态及离子掺杂的YFeO纳米颗粒的多铁性、声子及光学性质
Nanomaterials (Basel). 2021 Oct 15;11(10):2731. doi: 10.3390/nano11102731.
5
Magnetic, Phonon and Optical Properties of Transition Metal and Rare Earth Ion Doped ZnS Nanoparticles.过渡金属和稀土离子掺杂的硫化锌纳米颗粒的磁性、声子特性及光学性质
Nanomaterials (Basel). 2022 Dec 23;13(1):79. doi: 10.3390/nano13010079.
6
Impact of the spin-phonon interaction on the phonon properties of multiferroic hexagonal RMnO₃ thin films.自旋-声子相互作用对多铁性六方 RMnO₃ 薄膜声子性质的影响。
J Phys Condens Matter. 2010 Jun 30;22(25):255901. doi: 10.1088/0953-8984/22/25/255901. Epub 2010 Jun 4.
7
Multiferroic and Phonon Properties of the Double Perovskite PrFeAlO.双钙钛矿PrFeAlO的多铁性和声子性质
Materials (Basel). 2024 Sep 29;17(19):4785. doi: 10.3390/ma17194785.
8
Magnetic, Optical and Phonon Properties of Ion-Doped MgO Nanoparticles. Application for Magnetic Hyperthermia.离子掺杂MgO纳米颗粒的磁性、光学和声子特性。在磁热疗中的应用。
Materials (Basel). 2023 Mar 15;16(6):2353. doi: 10.3390/ma16062353.
9
Enhanced Electrical Mobilities of Laser Annealed Ga Doped ZnO Thin Films.激光退火Ga掺杂ZnO薄膜的增强电迁移率
J Nanosci Nanotechnol. 2020 Jan 1;20(1):520-523. doi: 10.1166/jnn.2020.17266.
10
Theoretical study of multiferroic thin films based on a microscopic model.基于微观模型的多铁性薄膜的理论研究
J Phys Condens Matter. 2009 Jun 3;21(22):225007. doi: 10.1088/0953-8984/21/22/225007. Epub 2009 May 11.

本文引用的文献

1
Structural, thermal, and transport properties of LaSrMnO nanoparticles synthesized the sol-gel auto-combustion technique.通过溶胶-凝胶自燃技术合成的LaSrMnO纳米颗粒的结构、热学和输运性质。
RSC Adv. 2018 Jan 4;8(3):1600-1609. doi: 10.1039/c7ra09883a. eCollection 2018 Jan 2.
2
Precipitation of dopants on acceptor-doped LaMnO revealed by defect chemistry from first principles.基于第一性原理的缺陷化学揭示受主掺杂LaMnO中掺杂剂的沉淀
J Chem Phys. 2021 Feb 14;154(6):064702. doi: 10.1063/5.0035691.
3
Integration of LaMnO films on platinized silicon substrates for resistive switching applications by PI-MOCVD.
通过聚酰亚胺金属有机化学气相沉积法在镀铂硅衬底上集成氧化镧锰薄膜用于电阻开关应用。
Beilstein J Nanotechnol. 2019 Feb 7;10:389-398. doi: 10.3762/bjnano.10.38. eCollection 2019.
4
Anomalous multi-order Raman scattering in LaMnO3: a signature of quantum lattice effects in a Jahn-Teller crystal.LaMnO3 中的反常多阶喇曼散射: Jahn-Teller 晶体中量子晶格效应的特征。
J Phys Condens Matter. 2013 Apr 17;25(15):155602. doi: 10.1088/0953-8984/25/15/155602. Epub 2013 Mar 19.