Suppr超能文献

miRNA-140-5p敲低TLR4可改善肌腱病:一项研究。

TLR4 knockdown by miRNA-140-5p improves tendinopathy: an study.

作者信息

Jun Tu, Ruipeng Guo, Bin Xu

机构信息

Department of Sports Medicine and Arthroscopic Surgery, The First Affiliated Hospital of Anhui Medical University, Hefei City, Anhui Province, China.

出版信息

Arch Med Sci. 2020 Feb 24;20(2):582-601. doi: 10.5114/aoms.2020.93216. eCollection 2024.

Abstract

INTRODUCTION

The purpose of this study was to determine whether TLR4 knockdown induced by miRNA-140-5p improves tendinopathy in an experiment.

MATERIAL AND METHODS

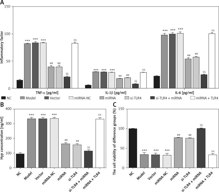
Extraction of tendon-derived stem cells (TDSCs) from SD rats was performed using TGF-β1 to develop a tendinopathy cell model. In the first step, we knocked down TLR4 by si-TLR4 to investigate TLR4 in tendinopathy development, and the next we used miRNA-140-5p to investigate miRNA-140-5p in tendinopathy development. The inflammatory factors and Hyp concentration were evaluated by ELISA assay; the cell viability was measured by MTT assay; the cell apoptosis was evaluated by TUNEL and/or flow cytometry. The relative mRNA was measured by RT-qPCR assay; the relative proteins expression was evaluated by cellular immunofluorescence and/or WB assay. The correlation between miRNA-140-5p and TLR4 was analyzed by Luciferase reporter assay.

RESULTS

With miRNA-140-5p overexpression or TLR4 knockdown, the cell viability was significantly increased with cell apoptosis depressing compared with the Model group ( < 0.05, respectively). Meanwhile, the inflammatory factors TNF-α, IL-1β and IL-6 and Hyp concentration were significantly improved ( < 0.05, respectively), whereas the TLR4, MyD88 and NF-κB(p65) protein expression levels were significantly depressed with TLR4 knockdown by si-TLR4 or miRNA-140-5p which target TLR4.

CONCLUSIONS

The present results showed that TLR4 knockdown induced by miRNA-140-5p or si-TLR4 improved tendinopathy in an cell experiment.

摘要

引言

本研究的目的是在实验中确定由miRNA - 140 - 5p诱导的TLR4基因敲低是否能改善肌腱病。

材料与方法

使用TGF - β1从SD大鼠中提取肌腱衍生干细胞(TDSCs)以建立肌腱病细胞模型。第一步,我们通过si - TLR4敲低TLR4以研究TLR4在肌腱病发展中的作用,接下来我们使用miRNA - 140 - 5p研究miRNA - 140 - 5p在肌腱病发展中的作用。通过ELISA检测评估炎症因子和羟脯氨酸(Hyp)浓度;通过MTT检测测量细胞活力;通过TUNEL和/或流式细胞术评估细胞凋亡。通过RT - qPCR检测测量相对mRNA;通过细胞免疫荧光和/或WB检测评估相对蛋白表达。通过荧光素酶报告基因检测分析miRNA - 140 - 5p与TLR4之间的相关性。

结果

与模型组相比,随着miRNA - 140 - 5p过表达或TLR4基因敲低,细胞活力显著增加,细胞凋亡受到抑制(分别为P < 0.05)。同时,炎症因子TNF - α、IL - 1β和IL - 6以及Hyp浓度显著改善(分别为P < 0.05),而通过靶向TLR4的si - TLR4或miRNA - 140 - 5p敲低TLR4后,TLR4、MyD88和NF - κB(p65)蛋白表达水平显著降低。

结论

目前的结果表明,由miRNA - 140 - 5p或si - TLR4诱导的TLR4基因敲低在细胞实验中改善了肌腱病。

https://cdn.ncbi.nlm.nih.gov/pmc/blobs/08b8/11094843/255c394c5615/AMS-20-2-114626-g001.jpg

文献AI研究员

20分钟写一篇综述,助力文献阅读效率提升50倍。

立即体验

用中文搜PubMed

大模型驱动的PubMed中文搜索引擎

马上搜索

文档翻译

学术文献翻译模型,支持多种主流文档格式。

立即体验