Suppr超能文献

代乳粉中硼酸作为哺乳期羔羊健康增强剂和生长促进剂的研究

Boric Acid in Milk Replacer as a Health Enhancer and Growth Promoter for Lambs in the Suckling Period.

作者信息

Uysal Soner, Yoruk Mehmet Akif

机构信息

Department of Animal Nutrition and Nutritional Diseases, Faculty of Veterinary Medicine, Ataturk University, Erzurum, 25240, Turkey.

Department of Animal Nutrition and Nutritional Diseases, Faculty of Veterinary Medicine, Ondokuz Mayıs University, Samsun, 55139, Turkey.

出版信息

Biol Trace Elem Res. 2025 Feb;203(2):850-860. doi: 10.1007/s12011-024-04214-4. Epub 2024 May 17.

Abstract

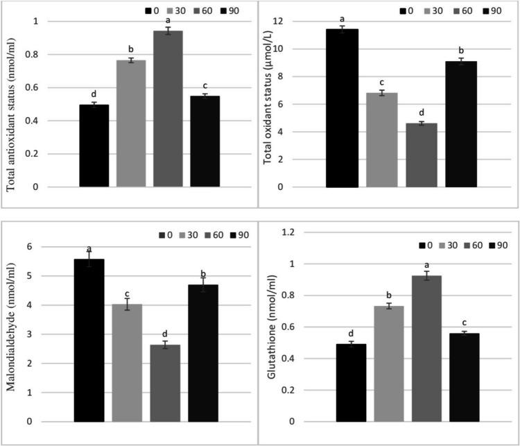
This study was performed to investigate the effects of boric acid supplementation in milk replacer of lambs in the suckling period on performance, biochemical parameters, the antioxidant system, fecal culture, and expression of some genes. During the suckling period, 60 lambs (4 days old) were randomly given four levels of boric acid (0, 30, 60, and 90 mg/kg body weight) via milk replacer for 57 days. The lambs supplemented with boric acid had a higher weight gain and better feed conversion ratio. Boric acid supplementation quadratically increased serum triglyceride, total protein, alkaline phosphatase, serum antioxidant activity and oxidative stress biomarkers, and fecal flora and decreased IL1β, IL10, iNOS, NF-kB, and TNF-α gene expressions. The effect of boric acid on rumen papilla development could not be determined since the animals were not slaughtered. In conclusion, the use of boric acid to lambs in the suckling period improved the average weekly body weight gain and feed conversion efficiency, positively affected some biochemical parameters, antioxidant system, and intestinal flora, and also affected gene expressions related to the immune system. Boric acid supplementation had a beneficial effect on the health and growth of suckling lambs.

摘要

本研究旨在探讨哺乳期羔羊代乳粉中添加硼酸对其生产性能、生化参数、抗氧化系统、粪便微生物培养及某些基因表达的影响。在哺乳期,60只(4日龄)羔羊通过代乳粉随机给予四个水平的硼酸(0、30、60和90毫克/千克体重),持续57天。补充硼酸的羔羊体重增加更高,饲料转化率更好。补充硼酸呈二次方增加血清甘油三酯、总蛋白、碱性磷酸酶、血清抗氧化活性和氧化应激生物标志物以及粪便菌群,并降低IL1β、IL10、iNOS、NF-κB和TNF-α基因表达。由于未屠宰动物,无法确定硼酸对瘤胃乳头发育的影响。总之,哺乳期给羔羊使用硼酸提高了平均每周体重增加和饲料转化效率,对一些生化参数、抗氧化系统和肠道菌群产生了积极影响,还影响了与免疫系统相关的基因表达。补充硼酸对哺乳期羔羊的健康和生长具有有益作用。

https://cdn.ncbi.nlm.nih.gov/pmc/blobs/e32f/11750917/a05900b3cc16/12011_2024_4214_Fig1_HTML.jpg

文献AI研究员

20分钟写一篇综述,助力文献阅读效率提升50倍。

立即体验

用中文搜PubMed

大模型驱动的PubMed中文搜索引擎

马上搜索

文档翻译

学术文献翻译模型,支持多种主流文档格式。

立即体验