College of Chemistry, Chemical Engineering and Materials Science, Key Laboratory of Molecular and Nano Probes, Ministry of Education, Collaborative Innovation Center of Functionalized Probes for Chemical Imaging in Universities of Shandong, Institutes of Biomedical Sciences, Shandong Normal University, Jinan 250014, People's Republic of China.
Department of Chemistry, University of Bath, Bath BA2 7AY, U.K.
Chem Rev. 2024 Jun 12;124(11):7106-7164. doi: 10.1021/acs.chemrev.3c00776. Epub 2024 May 17.
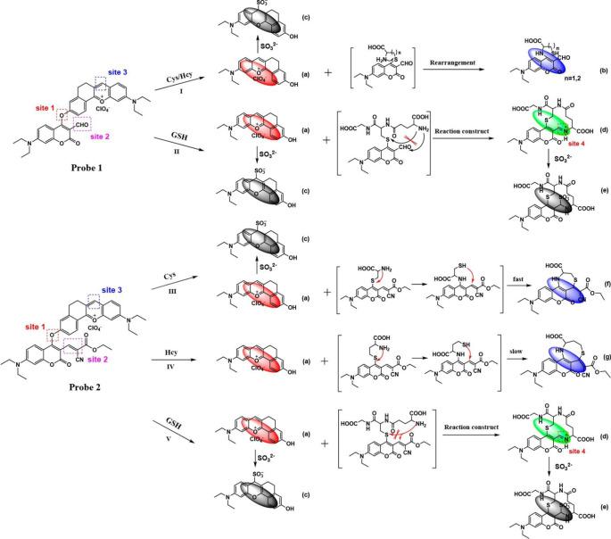
The identification and detection of disease-related biomarkers is essential for early clinical diagnosis, evaluating disease progression, and for the development of therapeutics. Possessing the advantages of high sensitivity and selectivity, fluorescent probes have become effective tools for monitoring disease-related active molecules at the cellular level and . In this review, we describe current fluorescent probes designed for the detection and quantification of key bioactive molecules associated with common diseases, such as organ damage, inflammation, cancers, cardiovascular diseases, and brain disorders. We emphasize the strategies behind the design of fluorescent probes capable of disease biomarker detection and diagnosis and cover some aspects of combined diagnostic/therapeutic strategies based on regulating disease-related molecules. This review concludes with a discussion of the challenges and outlook for fluorescent probes, highlighting future avenues of research that should enable these probes to achieve accurate detection and identification of disease-related biomarkers for biomedical research and clinical applications.
疾病相关生物标志物的鉴定和检测对于早期临床诊断、评估疾病进展以及治疗药物的开发至关重要。荧光探针具有高灵敏度和选择性的优点,已成为在细胞水平监测与疾病相关的活性分子的有效工具。在本综述中,我们描述了目前设计用于检测和定量与常见疾病(如器官损伤、炎症、癌症、心血管疾病和脑部疾病)相关的关键生物活性分子的荧光探针。我们强调了能够进行疾病生物标志物检测和诊断的荧光探针设计背后的策略,并涵盖了一些基于调节疾病相关分子的联合诊断/治疗策略的方面。本文最后讨论了荧光探针所面临的挑战和展望,强调了未来的研究方向,这些研究方向应使这些探针能够实现对疾病相关生物标志物的准确检测和识别,从而为生物医学研究和临床应用提供帮助。