Experimental Plastic Surgery, Clinic for Plastic, Reconstructive and Hand Surgery, Klinikum Rechts der Isar, Technical University of Munich, D-81675 Munich, Germany.
Department of Trauma Surgery, Klinikum Rechts der Isar, Technical University of Munich, D-81675 Munich, Germany.
Int J Mol Sci. 2024 May 13;25(10):5315. doi: 10.3390/ijms25105315.
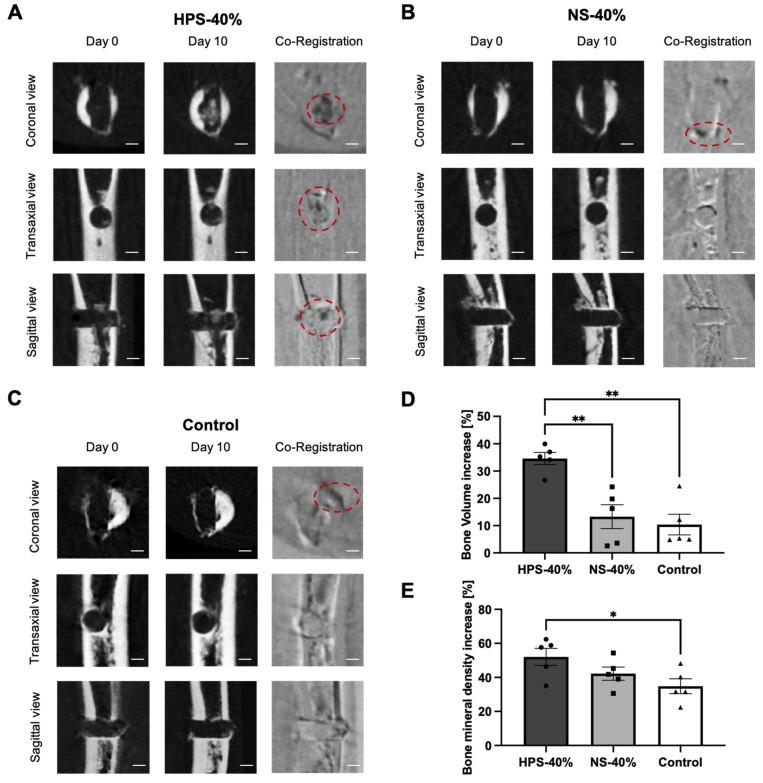
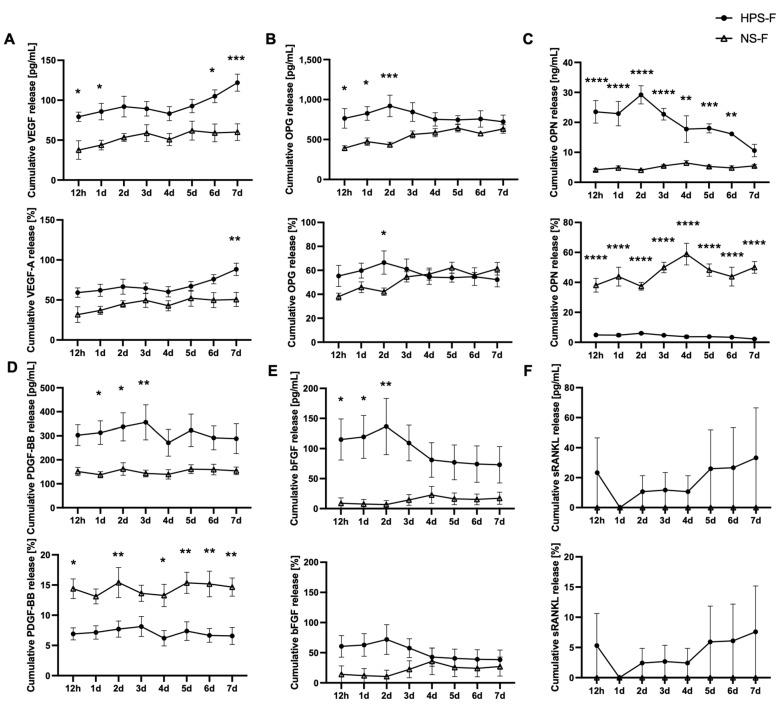
Biofunctionalized hydrogels are widely used in tissue engineering for bone repair. This study examines the bone regenerative effect of the blood-derived growth factor preparation of Hypoxia Preconditioned Serum (HPS) and its fibrin-hydrogel formulation (HPS-F) on drilled defects in embryonic day 19 chick femurs. Measurements of bone-related growth factors in HPS reveal significant elevations of Osteopontin, Osteoprotegerin, and soluble-RANKL compared with normal serum (NS) but no detection of BMP-2/7 or Osteocalcin. Growth factor releases from HPS-F are measurable for at least 7 days. Culturing drilled femurs organotypically on a liquid/gas interface with HPS media supplementation for 10 days demonstrates a 34.6% increase in bone volume and a 52.02% increase in bone mineral density (BMD) within the defect area, which are significantly higher than NS and a basal-media-control, as determined by microcomputed tomography. HPS-F-injected femur defects implanted on a chorioallantoic membrane (CAM) for 7 days exhibit an increase in bone mass of 123.5% and an increase in BMD of 215.2%, which are significantly higher than normal-serum-fibrin (NS-F) and no treatment. Histology reveals calcification, proteoglycan, and collagen fiber deposition in the defect area of HPS-F-treated femurs. Therefore, HPS-F may offer a promising and accessible therapeutic approach to accelerating bone regeneration by a single injection into the bone defect site.
生物功能化水凝胶广泛应用于组织工程中的骨修复。本研究考察了缺氧预处理血清(HPS)的血液来源生长因子制剂及其纤维蛋白水凝胶制剂(HPS-F)对胚胎第 19 天鸡股骨钻孔缺损的骨再生作用。HPS 中骨相关生长因子的测量显示,骨桥蛋白、骨保护素和可溶性-RANKL 显著升高,与正常血清(NS)相比,但未检测到 BMP-2/7 或骨钙素。HPS-F 中的生长因子释放至少可测量 7 天。在液体/气体界面上对钻孔股骨进行器官培养,并补充 HPS 培养基 10 天,结果显示,在缺陷区域内,骨体积增加了 34.6%,骨矿物质密度(BMD)增加了 52.02%,明显高于 NS 和基础培养基对照,这通过微计算机断层扫描确定。在鸡胚绒毛尿囊膜(CAM)上植入 HPS-F 注射的股骨缺陷 7 天后,骨量增加了 123.5%,BMD 增加了 215.2%,明显高于正常血清纤维蛋白(NS-F)和无治疗组。组织学显示 HPS-F 处理的股骨缺陷区域有钙化、蛋白聚糖和胶原纤维沉积。因此,HPS-F 可能通过单次注射到骨缺损部位提供一种有前途的、易于获得的加速骨再生的治疗方法。