Suppr超能文献

用于汽车碰撞安全性的天然纤维和混合复合材料薄壁结构:综述

Natural Fibre and Hybrid Composite Thin-Walled Structures for Automotive Crashworthiness: A Review.

作者信息

Capretti Monica, Del Bianco Giulia, Giammaria Valentina, Boria Simonetta

机构信息

Mathematics Division, School of Science and Technology, University of Camerino, Via Madonna delle Carceri 9, 62032 Camerino, Italy.

出版信息

Materials (Basel). 2024 May 10;17(10):2246. doi: 10.3390/ma17102246.

Abstract

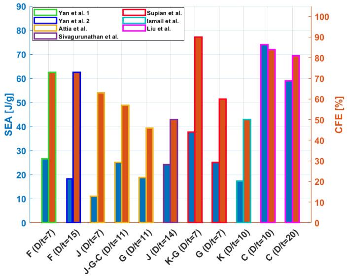
Natural fibres, valued for their low density, cost-effectiveness, high strength-to-weight ratio, and efficient energy absorption, are increasingly emerging as alternatives to synthetic materials in green composites. Although they cannot fully replace synthetic counterparts, like carbon, in structural applications due to their inferior mechanical performance, combining them through hybridization presents a potential solution. This approach promotes a balance between environmental benefits and mechanical efficiency. Recently, the transportation sector has shifted its focus towards delivering lightweight and crashworthy composite structures to improve vehicle performance, address safety concerns, and minimise environmental impact through the use of eco-friendly materials. The crashworthiness of energy absorbers, typically thin-walled structures, is influenced by several factors, including their material and geometric design. This paper presents a comprehensive overview of recent studies focused on the crashworthiness of fibre-reinforced, thin-walled composites under axial crushing. It explores different aspects, such as their materials, cross-sections, stacking sequences, triggering or filling mechanisms, and the effect of loading rate speed. Emphasis is placed on natural-fibre-based materials, including a comparative analysis of synthetic ones and their hybridization. The primary objective is to review the progress of solutions using green composites as energy absorbers in the automotive industry, considering their lightweight design, crashworthiness, and environmental sustainability.

摘要

天然纤维因其低密度、成本效益高、高强度重量比和高效能量吸收等特性,在绿色复合材料中越来越多地成为合成材料的替代品。尽管由于其机械性能较差,在结构应用中它们无法完全替代像碳纤维这样的合成材料,但通过混杂将它们结合起来是一种潜在的解决方案。这种方法促进了环境效益和机械效率之间的平衡。最近,交通运输部门已将重点转向提供轻质且防撞的复合结构,以通过使用环保材料来提高车辆性能、解决安全问题并将环境影响降至最低。能量吸收器的防撞性能,通常是薄壁结构,受多种因素影响,包括其材料和几何设计。本文全面概述了近期关于纤维增强薄壁复合材料在轴向压缩下防撞性能的研究。它探讨了不同方面,如材料、横截面、堆叠顺序、触发或填充机制以及加载速率的影响。重点是基于天然纤维的材料,包括与合成材料的对比分析及其混杂情况。主要目的是回顾在汽车工业中使用绿色复合材料作为能量吸收器的解决方案的进展,同时考虑其轻量化设计、防撞性能和环境可持续性。

https://cdn.ncbi.nlm.nih.gov/pmc/blobs/c2d6/11123071/74a60c15c413/materials-17-02246-g001.jpg

文献AI研究员

20分钟写一篇综述,助力文献阅读效率提升50倍。

立即体验

用中文搜PubMed

大模型驱动的PubMed中文搜索引擎

马上搜索

文档翻译

学术文献翻译模型,支持多种主流文档格式。

立即体验