Vagenas Dimitrios, Pispas Stergios
Theoretical and Physical Chemistry Institute, National Hellenic Research Foundation, 48 Vassileos Constantinou Avenue, 11635 Athens, Greece.
Polymers (Basel). 2024 May 8;16(10):1321. doi: 10.3390/polym16101321.
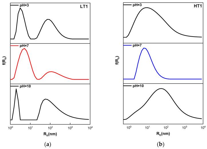
This manuscript serves as the starting point for in-depth research of multicomponent, statistical, methacrylate-based copolymers that potentially mimic the behavior of proteins in aqueous solutions. These synthetic macromolecules are composed of specially chosen comonomers: methacrylic acid (MAA), oligoethylene glycol methyl ether methacrylate (OEGMA), 2-(dimethylamino)ethyl methacrylate (DMAEMA) and benzyl methacrylate (BzMA). Monomer choice was based on factors such as the chemical nature of pendant functional groups, the polyelectrolyte/polyampholyte and amphiphilic character and the overall hydrophobic-hydrophilic balance (HLB) of the obtained quaterpolymers. Their synthesis was achieved via a one-pot reversible addition fragmentation chain transfer (RAFT) polymerization in two distinct compositions and molecular architectures, linear and hyperbranched, respectively, in order to explore the effects of macromolecular topology. The resulting statistical quaterpolymers were characterized via H-NMR and ATR-FTIR spectroscopies. Their behavior in aqueous solutions was studied by dynamic (DLS) and electrophoretic light scattering (ELS) and fluorescence spectroscopy (FS), producing vital information concerning their self-assembly and the structure of the formed aggregates. The physicochemical studies were extended by tuning parameters such as the solution pH and ionic strength. Finally, the quaterpolymer behavior in FBS/PBS solutions was investigated to test their colloid stability and biocompatibility in an in vivo-mimicking, biological fluid environment.
本手稿是对多组分、统计性、基于甲基丙烯酸酯的共聚物进行深入研究的起点,这些共聚物可能模拟蛋白质在水溶液中的行为。这些合成大分子由经过特殊选择的共聚单体组成:甲基丙烯酸(MAA)、聚乙二醇甲基醚甲基丙烯酸酯(OEGMA)、甲基丙烯酸2-(二甲氨基)乙酯(DMAEMA)和甲基丙烯酸苄酯(BzMA)。单体的选择基于诸如侧链官能团的化学性质、聚电解质/聚两性电解质和两亲性特征以及所得四元共聚物的整体疏水-亲水平衡(HLB)等因素。它们的合成是通过一锅法可逆加成-断裂链转移(RAFT)聚合实现的,分别形成两种不同的组成和分子结构,即线性和超支化结构,以探索大分子拓扑结构的影响。通过H-NMR和ATR-FTIR光谱对所得的统计性四元共聚物进行了表征。通过动态光散射(DLS)、电泳光散射(ELS)和荧光光谱(FS)研究了它们在水溶液中的行为,得出了有关其自组装和形成聚集体结构的重要信息。通过调节溶液pH值和离子强度等参数扩展了物理化学研究。最后,研究了四元共聚物在FBS/PBS溶液中的行为,以测试它们在模拟体内生物流体环境中的胶体稳定性和生物相容性。