Bakhsh Noura M, Fatani Omniyh A, Melybari Rawya Zeed, Alabdullah Raghd, Bahakeem Reem F, Alsharif Salman H, Alharbi Jehad K, Fatani Osamah A
Emergency Medicine, King Fahad General Hospital, Makkah, SAU.
Medicine, Umm Al-Qura University, Makkah, SAU.
Cureus. 2024 Apr 25;16(4):e58987. doi: 10.7759/cureus.58987. eCollection 2024 Apr.
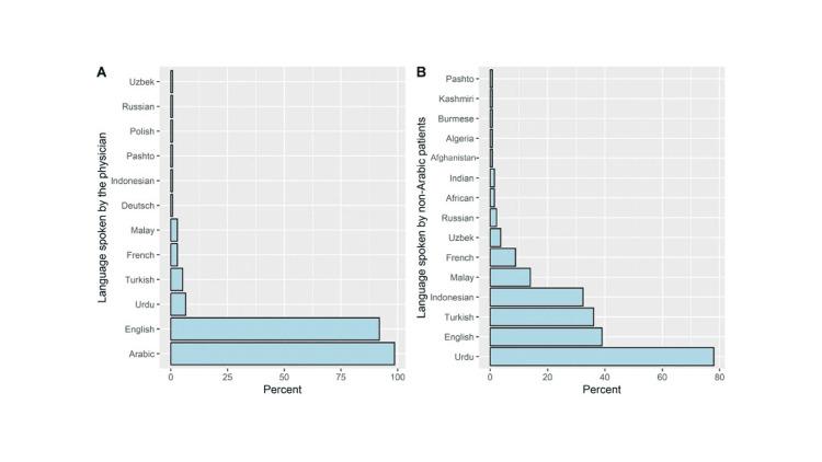
Background Communication is essential in the medical sector, particularly in the emergency departments (ED), to provide appropriate patient care. Lack of patient history and large patient numbers, cultural variations, inadequate health literacy, and language difficulties can impact effective communication. Aim This study aims to examine language and communication barriers experienced by ED physicians in Makkah, Saudi Arabia, as well as to determine the effect of language barriers on patient care and explore possible methods to deal with language and communication barriers. Methods This cross-sectional study was conducted from April 8 to June 6, 2023. A total of 136 responses were collected from ED physicians at the six Ministry of Health Hospitals (MOH) in Makkah through a validated online survey. The data analysis was implemented using RStudio (R version 4.1.1). Result In this study, 136 participants' data were examined. Of note, one-quarter of ED physicians (25%; n=34) under study stated that they always experienced language barriers, whereas 64.7% (n=88) of them sometimes experienced these difficulties. More than half of the ED physicians (54.4%; n=74) stated that their patients had poor outcomes because of poor communication. Among those who responded positively to poor outcomes, ED physicians' suggestions to improve communication with patients included providing labels of the common scientific terminologies in different languages (59.6%; n=81) and providing courses to communicate in foreign languages (48.5%; n=66). Conclusion Exposure to language barriers among ED physicians in Makkah was slightly high. This may impact the patient's outcomes. Therefore, strategies to improve patient-physician communication are needed.
背景
在医疗领域,尤其是在急诊科,沟通对于提供恰当的患者护理至关重要。患者病史缺失、患者数量众多、文化差异、健康素养不足以及语言障碍都会影响有效沟通。
目的
本研究旨在调查沙特阿拉伯麦加急诊科医生所经历的语言和沟通障碍,确定语言障碍对患者护理的影响,并探索应对语言和沟通障碍的可能方法。
方法
这项横断面研究于2023年4月8日至6月6日进行。通过一项经过验证的在线调查,从麦加六家卫生部医院的急诊科医生那里收集了总共136份回复。使用RStudio(R版本4.1.1)进行数据分析。
结果
在本研究中,对136名参与者的数据进行了检查。值得注意的是,参与研究的四分之一急诊科医生(25%;n = 34)表示他们总是遇到语言障碍,而其中64.7%(n = 88)的人有时会遇到这些困难。超过一半的急诊科医生(54.4%;n = 74)表示,由于沟通不畅,他们的患者预后不佳。在对预后不佳做出肯定回答的人中,急诊科医生提出的改善与患者沟通的建议包括提供不同语言的常见科学术语标签(59.6%;n = 81)以及提供外语沟通课程(48.5%;n = 66)。
结论
麦加急诊科医生面临语言障碍的情况略为严重。这可能会影响患者的预后。因此,需要采取策略来改善医患沟通。