• 文献检索
  • 文档翻译
  • 深度研究
  • 学术资讯
  • Suppr Zotero 插件Zotero 插件
  • 邀请有礼
  • 套餐&价格
  • 历史记录
应用&插件
Suppr Zotero 插件Zotero 插件浏览器插件Mac 客户端Windows 客户端微信小程序
定价
高级版会员购买积分包购买API积分包
服务
文献检索文档翻译深度研究API 文档MCP 服务
关于我们
关于 Suppr公司介绍联系我们用户协议隐私条款
关注我们

Suppr 超能文献

核心技术专利:CN118964589B侵权必究
粤ICP备2023148730 号-1Suppr @ 2026

文献检索

告别复杂PubMed语法,用中文像聊天一样搜索,搜遍4000万医学文献。AI智能推荐,让科研检索更轻松。

立即免费搜索

文件翻译

保留排版,准确专业,支持PDF/Word/PPT等文件格式,支持 12+语言互译。

免费翻译文档

深度研究

AI帮你快速写综述,25分钟生成高质量综述,智能提取关键信息,辅助科研写作。

立即免费体验

在水分充足的男性静息状态下,饮用脱脂牛奶和植物性大豆饮料后的液体和电解质平衡。

Fluid and electrolyte balance following consumption of skimmed milk and a plant-based soya beverage at rest in euhydrated males.

机构信息

National Centre for Sport and Exercise Medicine, School of Sport, Exercise and Health Sciences, Loughborough University, Loughborough, UK.

NIHR Applied Research Collaboration East Midlands, Diabetes Research Centre, University of Leicester, Leicester, UK.

出版信息

Eur J Appl Physiol. 2024 Oct;124(10):3085-3093. doi: 10.1007/s00421-024-05516-0. Epub 2024 May 29.

DOI:10.1007/s00421-024-05516-0
PMID:38809478
原文链接:https://pmc.ncbi.nlm.nih.gov/articles/PMC11467101/
Abstract

PURPOSE

Cow's milk is one of the most hydrating beverages, but many individuals choose not to consume dairy in their diet due to intolerance, allergy, or dietary preference. Milk is commonly replaced with plant-based beverages, including soya which has the most comparable protein content, but little is known about their hydration potential. This study compared fluid and electrolyte balance responses between a soya beverage and skimmed cow's milk.

METHODS

Ten healthy males [age 27 (6) y; body mass index 24.6 (2.3) kg/m] completed two randomised counterbalanced trials, involving consuming 1000 mL water from approximately isocaloric amounts of skimmed cow's milk (MILK) or a sweetened soya beverage (SOYA), in four aliquots over 30 min in a euhydrated fasted state. Volume, specific gravity, and electrolyte (sodium, potassium, chloride) concentrations were determined in total-void urine samples collected pre-/post-beverage ingestion, and hourly for 180 min thereafter. Hunger, thirst, nausea and stomach fullness were rated proximal to urine samples.

RESULTS

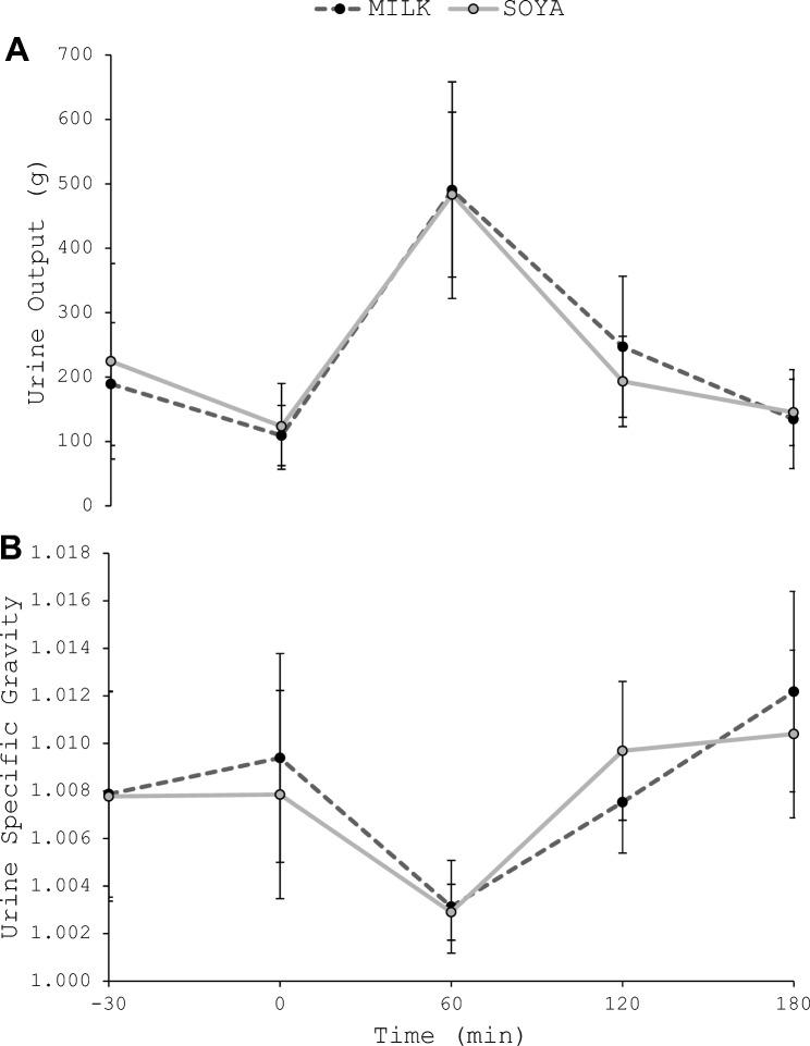
Total urine mass (MILK, 986 ± 254 g; SOYA, 950 ± 248 g; P = 0.435) and urine specific gravity (P = 0.156) did not differ between trials. Potassium balance was greater in SOYA 0-180 min post-beverage (P ≤ 0.013), whilst chloride balance was greater in MILK 0-120 min post-beverage (P ≤ 0.036). Sodium balance (P = 0.258), total electrolyte balance (P = 0.258), and subjective measures (P ≥ 0.139) were not different between trials.

CONCLUSION

Replacing cow's milk with a soya beverage did not negatively impact fluid balance in healthy young males, making it a viable option for those who choose not to consume dairy in their diet.

摘要

目的

牛奶是最能补水的饮料之一,但由于不耐受、过敏或饮食偏好,许多人选择不将其纳入饮食。牛奶通常被植物性饮料替代,包括蛋白质含量最接近牛奶的大豆,但人们对这些饮料的补水潜力知之甚少。本研究比较了大豆饮料和脱脂牛奶对水合作用和电解质平衡的影响。

方法

10 名健康男性[年龄 27(6)岁;体重指数 24.6(2.3)kg/m]完成了两项随机、对照平衡试验,在空腹状态下,以等热量的方式分别饮用 1000 毫升水(来自脱脂牛奶 MILK)或加糖大豆饮料 SOYA),4 次 30 分钟,在总尿液样本中测定体积、比重和电解质(钠、钾、氯)浓度收集在饮用前/后和之后 180 分钟的每个小时。在收集尿液样本时,对饥饿、口渴、恶心和饱腹感进行近端评估。

结果

MILK 和 SOYA 试验的总尿量(MILK,986±254g;SOYA,950±248g;P=0.435)和尿比重(P=0.156)无差异。SOYA 0-180 分钟后钾平衡更高(P≤0.013),而 MILK 0-120 分钟后氯平衡更高(P≤0.036)。钠平衡(P=0.258)、总电解质平衡(P=0.258)和主观指标(P≥0.139)在两个试验中无差异。

结论

用大豆饮料替代牛奶不会对健康年轻男性的液体平衡产生负面影响,因此对于那些选择不将牛奶纳入饮食的人来说,这是一个可行的选择。

https://cdn.ncbi.nlm.nih.gov/pmc/blobs/3765/11467101/f818931fbbd7/421_2024_5516_Fig3_HTML.jpg
https://cdn.ncbi.nlm.nih.gov/pmc/blobs/3765/11467101/b5dd1d14e595/421_2024_5516_Fig1_HTML.jpg
https://cdn.ncbi.nlm.nih.gov/pmc/blobs/3765/11467101/24e2878fb07e/421_2024_5516_Fig2_HTML.jpg
https://cdn.ncbi.nlm.nih.gov/pmc/blobs/3765/11467101/f818931fbbd7/421_2024_5516_Fig3_HTML.jpg
https://cdn.ncbi.nlm.nih.gov/pmc/blobs/3765/11467101/b5dd1d14e595/421_2024_5516_Fig1_HTML.jpg
https://cdn.ncbi.nlm.nih.gov/pmc/blobs/3765/11467101/24e2878fb07e/421_2024_5516_Fig2_HTML.jpg
https://cdn.ncbi.nlm.nih.gov/pmc/blobs/3765/11467101/f818931fbbd7/421_2024_5516_Fig3_HTML.jpg

相似文献

1
Fluid and electrolyte balance following consumption of skimmed milk and a plant-based soya beverage at rest in euhydrated males.在水分充足的男性静息状态下,饮用脱脂牛奶和植物性大豆饮料后的液体和电解质平衡。
Eur J Appl Physiol. 2024 Oct;124(10):3085-3093. doi: 10.1007/s00421-024-05516-0. Epub 2024 May 29.
2
Comparing the rehydration potential of different milk-based drinks to a carbohydrate-electrolyte beverage.比较不同乳基饮品与碳水化合物电解质饮料的补液潜力。
Appl Physiol Nutr Metab. 2014 Dec;39(12):1366-72. doi: 10.1139/apnm-2014-0174. Epub 2014 Aug 14.
3
A randomized trial to assess the potential of different beverages to affect hydration status: development of a beverage hydration index.一项评估不同饮料影响身体水分状态潜力的随机试验:饮料水合指数的制定。
Am J Clin Nutr. 2016 Mar;103(3):717-23. doi: 10.3945/ajcn.115.114769. Epub 2015 Dec 23.
4
Impact of Nuun Electrolyte Tablets on Fluid Balance in Active Men and Women.运动男女体液平衡中润力电解质片的影响。
Nutrients. 2020 Oct 2;12(10):3030. doi: 10.3390/nu12103030.
5
A randomised trial to assess fluid and electrolyte balance responses following ingestion of different beverages in young and older men.一项随机试验评估了不同饮料摄入后年轻男性和老年男性的液体和电解质平衡反应。
Eur J Appl Physiol. 2023 Oct;123(10):2331-2340. doi: 10.1007/s00421-023-05241-0. Epub 2023 Jun 9.
6
Hydration Efficacy of a Milk Permeate-Based Oral Hydration Solution.基于乳清渗透液的口服补液液的补水效果。
Nutrients. 2020 May 21;12(5):1502. doi: 10.3390/nu12051502.
7
Bioavailability of magnesium and calcium from cow's milk and soya-bean beverage in rats.牛奶和大豆饮料中镁和钙在大鼠体内的生物利用度。
Br J Nutr. 1992 Jul;68(1):271-82. doi: 10.1079/bjn19920084.
8
9
A randomized trial to assess beverage hydration index in healthy older adults.一项评估健康老年人饮料水合指数的随机试验。
Am J Clin Nutr. 2019 Jun 1;109(6):1640-1647. doi: 10.1093/ajcn/nqz009.
10
The effects of a sugar-free amino acid-containing electrolyte beverage on 5-kilometer performance, blood electrolytes, and post-exercise cramping versus a conventional carbohydrate-electrolyte sports beverage and water.无糖含氨基酸电解质饮料对 5 公里运动表现、血液电解质和运动后抽筋的影响与传统碳水化合物电解质运动饮料和水的对比。
J Int Soc Sports Nutr. 2024 Dec;21(1):2296888. doi: 10.1080/15502783.2023.2296888. Epub 2023 Dec 22.

本文引用的文献

1
Plant-Based Fermented Beverages: Nutritional Composition, Sensory Properties, and Health Benefits.植物基发酵饮料:营养成分、感官特性及健康益处
Foods. 2024 Mar 10;13(6):844. doi: 10.3390/foods13060844.
2
Plant-Based Dairy Alternatives Contribute to a Healthy and Sustainable Diet.植物基乳制品是健康和可持续饮食的一部分。
Nutrients. 2023 Jul 30;15(15):3393. doi: 10.3390/nu15153393.
3
A randomised trial to assess fluid and electrolyte balance responses following ingestion of different beverages in young and older men.一项随机试验评估了不同饮料摄入后年轻男性和老年男性的液体和电解质平衡反应。
Eur J Appl Physiol. 2023 Oct;123(10):2331-2340. doi: 10.1007/s00421-023-05241-0. Epub 2023 Jun 9.
4
Vegan food geographies and the rise of Big Veganism.纯素食品地理学与大型纯素主义的兴起。
Prog Hum Geogr. 2022 Apr;46(2):605-628. doi: 10.1177/03091325211051021. Epub 2022 Jan 29.
5
Lactose intolerance: myths and facts. An update.乳糖不耐受:神话与事实。更新。
Arch Argent Pediatr. 2022 Feb;120(1):59-66. doi: 10.5546/aap.2022.eng.59. Epub 2021 Dec 17.
6
Water Intake and Markers of Hydration Are Related to Cardiometabolic Risk Biomarkers in Community-Dwelling Older Adults: A Cross-Sectional Analysis.社区居住的老年人中,水分摄入和水合标志物与心血管代谢风险生物标志物相关:一项横断面分析。
J Nutr. 2021 Oct 1;151(10):3205-3213. doi: 10.1093/jn/nxab233.
7
Milk consumption and multiple health outcomes: umbrella review of systematic reviews and meta-analyses in humans.牛奶消费与多种健康结果:对人类系统评价和荟萃分析的综合评价
Nutr Metab (Lond). 2021 Jan 7;18(1):7. doi: 10.1186/s12986-020-00527-y.
8
Hydration Efficacy of a Milk Permeate-Based Oral Hydration Solution.基于乳清渗透液的口服补液液的补水效果。
Nutrients. 2020 May 21;12(5):1502. doi: 10.3390/nu12051502.
9
Does Hypohydration Really Impair Endurance Performance? Methodological Considerations for Interpreting Hydration Research.脱水真的会影响耐力表现吗?解读水合作用研究的方法学考虑。
Sports Med. 2019 Dec;49(Suppl 2):103-114. doi: 10.1007/s40279-019-01188-5.
10
Influence of Peak Menstrual Cycle Hormonal Changes on Restoration of Fluid Balance After Induced Dehydration.月经高峰期激素变化对诱导性脱水后液体平衡恢复的影响。
Int J Sport Nutr Exerc Metab. 2019 Nov 1;29(6):651-657. doi: 10.1123/ijsnem.2019-0105.